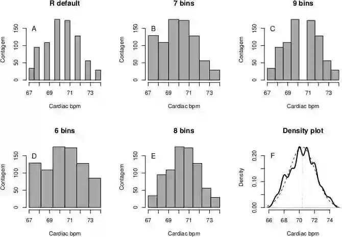
Background and Objective: Histograms and Pearson's coefficient of variation are among the most popular summary statistics. Researchers use them to judge the shape of quantitative data distribution by visual inspection of histograms. The coefficient of variation is taken as an estimator of relative variability of these data. We explore properties of histograms and coefficient of variation by examples in R, thus offering better alternatives: density plots and Eisenhauer's relative dispersion coefficient. Methods: Hypothetical examples developed in R are applied to create histograms and density and to compute coefficient of variation and relative dispersion coefficient. Results: These hypothetical examples clearly show that these two traditional approaches are flawed. Histograms are incapable of reflecting the distribution of probabilities and the coefficient of variation has issues with negative and positive values in the same dataset, it is sensible to outliers, and it is severely affected by mean value of a distribution. Potential replacements are explained and applied for contrast. Conclusions: With the use of modern computers and R language it is easy to replace histograms by density plots, which are able to approximate the theoretical probability distribution. In addition, Eisenhauer's relative dispersion coefficient is suggested as a suitable estimator of relative variability, including corrections for lower and upper bounds.


翻译:背景和目标:直方图和皮尔逊的变异系数是最受欢迎的简要统计之一。研究人员用这些参数来判断定量数据分布的形态,通过直观检查直方图。变异系数被作为这些数据相对变异性的估计值。我们用R中的例子来探讨直方图和变异系数的特性,从而提供更好的替代物:密度图和艾森豪尔相对分散系数。方法:R中开发的假冒例子被用于创建直方图和密度,并用于计算变异系数和相对分散系数。结果:这些假设例子清楚地表明这两种传统方法存在缺陷。直方图无法反映概率和变异系数的分布情况,而在同一数据集中,直方图和变异系数的数值与负正值有问题,对外方值是明智的,并且受到平均分布值的严重影响。潜在替换被解释并用于对比。结论:由于使用现代计算机和R语言很容易用密度图取代其变异系数和相对分散系数。结果:这些假设例子清楚地表明这两种传统方法都存在缺陷。直观方法无法反映概率分布的概率和变异性,包括相对的相对变异性系数的大小。

0
下载
关闭预览

相关内容

Python分布式计算,171页pdf,Distributed Computing with Python
专知会员服务
108+阅读 · 2020年5月3日
Stabilizing Transformers for Reinforcement Learning
专知会员服务
60+阅读 · 2019年10月17日
机器学习入门的经验与建议
专知会员服务
94+阅读 · 2019年10月10日
【哈佛大学商学院课程Fall 2019】机器学习可解释性
专知会员服务
105+阅读 · 2019年10月9日
已删除
将门创投
6+阅读 · 2019年9月3日
A Technical Overview of AI & ML in 2018 & Trends for 2019
待字闺中
18+阅读 · 2018年12月24日
Disentangled的假设的探讨
CreateAMind
9+阅读 · 2018年12月10日
disentangled-representation-papers
CreateAMind
26+阅读 · 2018年9月12日
视觉机械臂 visual-pushing-grasping
CreateAMind
3+阅读 · 2018年5月25日
Hierarchical Disentangled Representations
CreateAMind
4+阅读 · 2018年4月15日
计算机视觉近一年进展综述
机器学习研究会
9+阅读 · 2017年11月25日
【论文】变分推断(Variational inference)的总结
机器学习研究会
39+阅读 · 2017年11月16日
【推荐】GAN架构入门综述(资源汇总)
机器学习研究会
10+阅读 · 2017年9月3日
Auto-Encoding GAN
CreateAMind
7+阅读 · 2017年8月4日
A causal view on compositional data
Arxiv
0+阅读 · 2022年1月14日
Arxiv
38+阅读 · 2021年8月31日
VIP会员
最新内容
人工智能赋能无人机:俄乌战争(万字长文)
专知会员服务
6+阅读 · 4月23日
国外海军作战管理系统与作战训练系统
专知会员服务
3+阅读 · 4月23日
美军条令《海军陆战队规划流程(2026版)》
专知会员服务
10+阅读 · 4月23日
《压缩式分布式交互仿真标准》120页
专知会员服务
4+阅读 · 4月23日
《电子战数据交换模型研究报告》
专知会员服务
6+阅读 · 4月23日
《低数据领域军事目标检测模型研究》
专知会员服务
6+阅读 · 4月23日
【CMU博士论文】物理世界的视觉感知与深度理解
专知会员服务
10+阅读 · 4月22日
相关资讯
已删除
将门创投
6+阅读 · 2019年9月3日
A Technical Overview of AI & ML in 2018 & Trends for 2019
待字闺中
18+阅读 · 2018年12月24日
Disentangled的假设的探讨
CreateAMind
9+阅读 · 2018年12月10日
disentangled-representation-papers
CreateAMind
26+阅读 · 2018年9月12日
视觉机械臂 visual-pushing-grasping
CreateAMind
3+阅读 · 2018年5月25日
Hierarchical Disentangled Representations
CreateAMind
4+阅读 · 2018年4月15日
计算机视觉近一年进展综述
机器学习研究会
9+阅读 · 2017年11月25日
【论文】变分推断(Variational inference)的总结
机器学习研究会
39+阅读 · 2017年11月16日
【推荐】GAN架构入门综述(资源汇总)
机器学习研究会
10+阅读 · 2017年9月3日
Auto-Encoding GAN
CreateAMind
7+阅读 · 2017年8月4日
Top
微信扫码咨询专知VIP会员