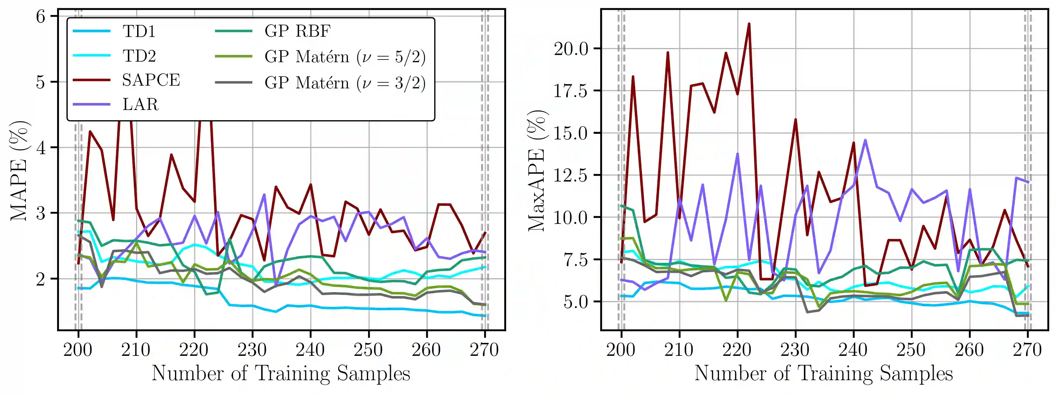
We propose a data-efficient workflow to optimize the efficiency of a radial turbine design under a strict budget of high-fidelity computational fluid dynamics simulations. Assuming anisotropic parameter impact, we use a maximum-projection initial experimental design to ensure space-filling and strong projection properties on low-dimensional subspaces. Bayesian optimization is performed using Gaussian process surrogates with an upper confidence bound acquisition function. In parallel, polynomial chaos expansions provide variance-based global sensitivity analysis metrics, which allow to identify a reduced subspace with the most influential parameters, wherein the optimization is continued. Turbine efficiency is increased from 85.77% initially to 91.77% at the end of the workflow, with a total budget of 330 simulations.


翻译:本文提出一种数据高效的工作流程,用于在高保真计算流体动力学模拟的严格预算下优化径向涡轮设计的效率。在假设参数影响各向异性的前提下,我们采用基于最大投影的初始实验设计,以确保设计在低维子空间上具有空间填充性和强投影特性。贝叶斯优化通过采用上置信界采集函数的高斯过程代理模型实现。同时,多项式混沌展开提供基于方差的全局敏感性分析指标,从而识别出包含最具影响力参数的降维子空间,并在该子空间内继续执行优化。经过总计330次模拟,涡轮效率从初始的85.77%提升至工作流程结束时的91.77%。

0
下载
关闭预览

相关内容

设计是对现有状的一种重新认识和打破重组的过程,设计让一切变得更美。
【CMU博士论文】基于深度学习的高效贝叶斯实验设计
专知会员服务
17+阅读 · 2025年8月19日
【牛津大学】贝叶斯优化用于自动化机器学习,321页pdf
专知会员服务
31+阅读 · 2024年5月17日
【2023新书】贝叶斯优化实战,426页pdf
专知会员服务
90+阅读 · 2023年12月20日
以BERT为例,如何优化机器学习模型性能?
专知
10+阅读 · 2019年10月3日
一文读懂机器学习中的贝叶斯统计学
数据分析
26+阅读 · 2019年5月8日
【深度】让DL可解释?这一份66页贝叶斯深度学习教程告诉你
GAN生成式对抗网络
15+阅读 · 2018年8月11日
贝叶斯机器学习前沿进展
机器学习研究会
21+阅读 · 2018年1月21日
贝叶斯网络入门
论智
15+阅读 · 2017年11月19日
国家自然科学基金
16+阅读 · 2017年12月31日
国家自然科学基金
0+阅读 · 2015年12月31日
国家自然科学基金
3+阅读 · 2015年12月31日
国家自然科学基金
0+阅读 · 2015年12月31日
国家自然科学基金
3+阅读 · 2015年12月31日
国家自然科学基金
2+阅读 · 2015年12月31日
国家自然科学基金
18+阅读 · 2012年12月31日
VIP会员
最新内容
战略前沿人工智能的再思考(中文)
专知会员服务
4+阅读 · 5月29日
《量化地基防空系统间接效应的博弈论方法》
专知会员服务
4+阅读 · 5月29日
“史诗怒火行动”中美军损失的作战飞机
专知会员服务
4+阅读 · 5月29日
ICML 2026 | 理解上下文持续学习中的泛化与遗忘
专知会员服务
5+阅读 · 5月28日
Agent Harness综述:大模型智能体执行器工程全景
专知会员服务
14+阅读 · 5月28日
《基于理论的威慑效能评估》
专知会员服务
8+阅读 · 5月28日
相关基金
国家自然科学基金
16+阅读 · 2017年12月31日
国家自然科学基金
0+阅读 · 2015年12月31日
国家自然科学基金
3+阅读 · 2015年12月31日
国家自然科学基金
0+阅读 · 2015年12月31日
国家自然科学基金
3+阅读 · 2015年12月31日
国家自然科学基金
2+阅读 · 2015年12月31日
国家自然科学基金
18+阅读 · 2012年12月31日
Top
微信扫码咨询专知VIP会员