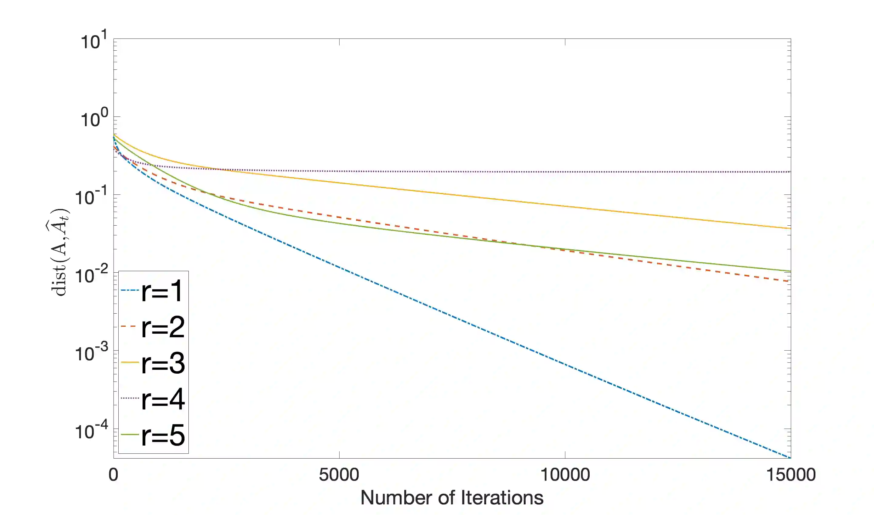
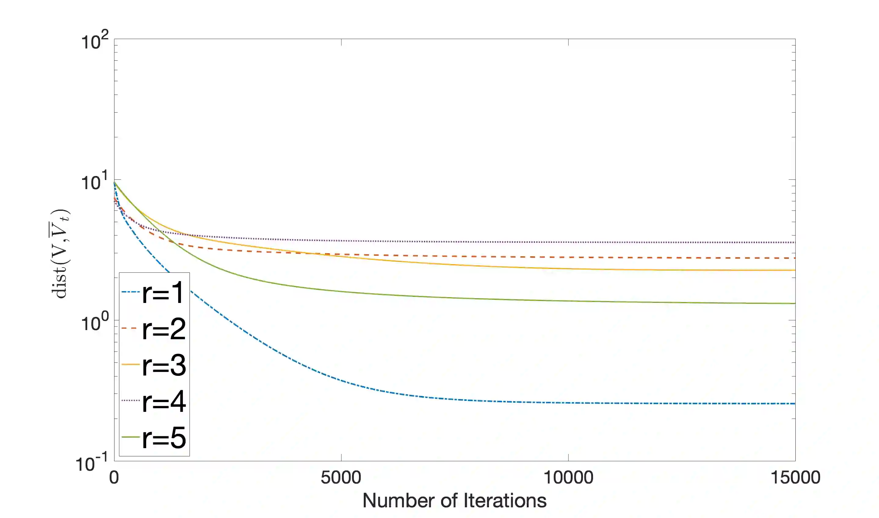
Generalized correlation analysis (GCA) is concerned with uncovering linear relationships across multiple datasets. It generalizes canonical correlation analysis that is designed for two datasets. We study sparse GCA when there are potentially multiple generalized correlation tuples in data and the loading matrix has a small number of nonzero rows. It includes sparse CCA and sparse PCA of correlation matrices as special cases. We first formulate sparse GCA as generalized eigenvalue problems at both population and sample levels via a careful choice of normalization constraints. Based on a Lagrangian form of the sample optimization problem, we propose a thresholded gradient descent algorithm for estimating GCA loading vectors and matrices in high dimensions. We derive tight estimation error bounds for estimators generated by the algorithm with proper initialization. We also demonstrate the prowess of the algorithm on a number of synthetic datasets.


翻译:通用相关分析(GCA)涉及在多个数据集中发现线性关系,它概括了为两个数据集设计的典型相关分析。当数据中可能存在多重通用相关图象时,我们研究稀有的GCA,而装载矩阵则有少量非零行,包括作为特例的互连矩阵的稀少的CCA和稀少的五氯苯甲醚。我们首先通过谨慎地选择正常化制约,将稀少的GCA作为人口和样本层面的普遍缺量问题。根据样本优化问题的拉格朗格形式,我们提出了用于估计高维度的GCA载量矢量和矩阵的临界梯度下沉算法。我们从适当初始化的算法中得出严格的估计误差界限。我们还在一些合成数据集中展示了算法的优点。

0
下载
关闭预览

相关内容

专知会员服务
78+阅读 · 2021年3月16日
专知会员服务
52+阅读 · 2020年12月14日
专知会员服务
162+阅读 · 2020年1月16日
2019年机器学习框架回顾
专知会员服务
36+阅读 · 2019年10月11日
鲁棒机器学习相关文献集
专知
8+阅读 · 2019年8月18日
Unsupervised Learning via Meta-Learning
CreateAMind
44+阅读 · 2019年1月3日
Disentangled的假设的探讨
CreateAMind
9+阅读 · 2018年12月10日
【SIGIR2018】五篇对抗训练文章
专知
12+阅读 · 2018年7月9日
语音顶级会议Interspeech2018接受论文列表!
专知
6+阅读 · 2018年6月10日
Hierarchical Disentangled Representations
CreateAMind
4+阅读 · 2018年4月15日
【论文】变分推断(Variational inference)的总结
机器学习研究会
39+阅读 · 2017年11月16日
【学习】(Python)SVM数据分类
机器学习研究会
6+阅读 · 2017年10月15日
Auto-Encoding GAN
CreateAMind
7+阅读 · 2017年8月4日
Arxiv
3+阅读 · 2014年10月9日
VIP会员
最新内容
2025年大语言模型进展报告
专知会员服务
1+阅读 · 今天13:30
多智能体协作机制
专知会员服务
1+阅读 · 今天13:26
非对称优势:美海军开发低成本反无人机技术
专知会员服务
4+阅读 · 今天4:39
《美战争部小企业创新研究(SBIR)计划》
专知会员服务
6+阅读 · 今天2:48
《军事模拟:将军事条令与目标融入AI智能体》
专知会员服务
9+阅读 · 今天2:43
【NTU博士论文】3D人体动作生成
专知会员服务
7+阅读 · 4月24日
以色列军事技术对美国军力发展的持续性赋能
专知会员服务
8+阅读 · 4月24日
《深度强化学习在兵棋推演中的应用》40页报告
专知会员服务
14+阅读 · 4月24日
《多域作战面临复杂现实》
专知会员服务
10+阅读 · 4月24日
《印度的多域作战:条令与能力发展》报告
专知会员服务
5+阅读 · 4月24日
相关资讯
鲁棒机器学习相关文献集
专知
8+阅读 · 2019年8月18日
Unsupervised Learning via Meta-Learning
CreateAMind
44+阅读 · 2019年1月3日
Disentangled的假设的探讨
CreateAMind
9+阅读 · 2018年12月10日
【SIGIR2018】五篇对抗训练文章
专知
12+阅读 · 2018年7月9日
语音顶级会议Interspeech2018接受论文列表!
专知
6+阅读 · 2018年6月10日
Hierarchical Disentangled Representations
CreateAMind
4+阅读 · 2018年4月15日
【论文】变分推断(Variational inference)的总结
机器学习研究会
39+阅读 · 2017年11月16日
【学习】(Python)SVM数据分类
机器学习研究会
6+阅读 · 2017年10月15日
Auto-Encoding GAN
CreateAMind
7+阅读 · 2017年8月4日
Top
微信扫码咨询专知VIP会员