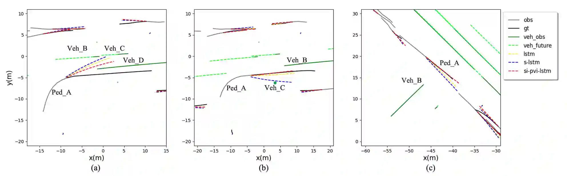
In this paper, we study the interaction between pedestrians and vehicles and propose a novel neural network structure called the Pedestrian-Vehicle Interaction (PVI) extractor for learning the pedestrian-vehicle interaction. We implement the proposed PVI extractor on both sequential approaches (long short-term memory (LSTM) models) and non-sequential approaches (convolutional models). We use the Waymo Open Dataset that contains real-world urban traffic scenes with both pedestrian and vehicle annotations. For the LSTM-based models, our proposed model is compared with Social-LSTM and Social-GAN, and using our proposed PVI extractor reduces the average displacement error (ADE) and the final displacement error (FDE) by 7.46% and 5.24%, respectively. For the convolutional-based models, our proposed model is compared with Social-STGCNN and Social-IWSTCNN, and using our proposed PVI extractor reduces the ADE and FDE by 2.10% and 1.27%, respectively. The results show that the pedestrian-vehicle interaction influences pedestrian behavior, and the models using the proposed PVI extractor can capture the interaction between pedestrians and vehicles, and thereby outperform the compared methods.


翻译:在本文中,我们研究了行人和车辆之间的互动,并提出了名为Pedestrian-Veclicultive(PVI)提取器的新型神经网络结构,以学习行人和车辆的互动。我们在相继方法(长短期内存模型)和非顺序方法(进化模型)上实施拟议的PVI提取器。我们使用Waymo Open数据集,该数据集包含真实的世界城市交通场以及行人和车辆的批注。对于基于LSTM的模型,我们提议的模型与社会-LSTM和社会-GAN比较,使用我们提议的PVI提取器将平均迁移错误(ADE)和最后迁移错误(FDE)分别减少7.46 %和5.24%。对于以革命为基础的模型,我们提议的模型与社会-STGCNNN和社交-IWESTCNNN进行了比较,并使用我们提议的PVI提取器将ADE和FDE分别减少2.10%和1.27%。结果显示,行人与行人行为的影响,以及使用拟议的机动车和车辆格式的模型。

0
下载
关闭预览

相关内容

IFIP TC13 Conference on Human-Computer Interaction是人机交互领域的研究者和实践者展示其工作的重要平台。多年来,这些会议吸引了来自几个国家和文化的研究人员。官网链接:http://interact2019.org/
【NUS-Xavier教授】生成模型VAE与GAN,69页ppt
专知会员服务
75+阅读 · 2022年4月6日
【UAI2021教程】贝叶斯最优学习,65页ppt
专知会员服务
65+阅读 · 2021年8月7日
[综述]深度学习下的场景文本检测与识别
专知会员服务
78+阅读 · 2019年10月10日
机器学习入门的经验与建议
专知会员服务
94+阅读 · 2019年10月10日
VCIP 2022 Call for Special Session Proposals
CCF多媒体专委会
1+阅读 · 2022年4月1日
ACM MM 2022 Call for Papers
CCF多媒体专委会
5+阅读 · 2022年3月29日
IEEE TII Call For Papers
CCF多媒体专委会
3+阅读 · 2022年3月24日
ACM TOMM Call for Papers
CCF多媒体专委会
2+阅读 · 2022年3月23日
AIART 2022 Call for Papers
CCF多媒体专委会
1+阅读 · 2022年2月13日
【ICIG2021】Check out the hot new trailer of ICIG2021 Symposium6
中国图象图形学学会CSIG
2+阅读 · 2021年11月12日
【ICIG2021】Check out the hot new trailer of ICIG2021 Symposium4
中国图象图形学学会CSIG
0+阅读 · 2021年11月10日
Unsupervised Learning via Meta-Learning
CreateAMind
44+阅读 · 2019年1月3日
A Technical Overview of AI & ML in 2018 & Trends for 2019
待字闺中
18+阅读 · 2018年12月24日
国家自然科学基金
0+阅读 · 2012年12月31日
国家自然科学基金
2+阅读 · 2012年12月31日
国家自然科学基金
0+阅读 · 2012年12月31日
国家自然科学基金
1+阅读 · 2012年12月31日
国家自然科学基金
0+阅读 · 2012年12月31日
国家自然科学基金
5+阅读 · 2011年12月31日
国家自然科学基金
0+阅读 · 2011年12月31日
国家自然科学基金
2+阅读 · 2011年12月31日
国家自然科学基金
0+阅读 · 2009年12月31日
国家自然科学基金
0+阅读 · 2008年12月31日
Learning Vehicle Trajectory Uncertainty
Arxiv
0+阅读 · 2022年6月9日
Arxiv
0+阅读 · 2022年6月8日
Arxiv
18+阅读 · 2019年3月28日
VIP会员
最新内容
人工智能赋能无人机:俄乌战争(万字长文)
专知会员服务
5+阅读 · 今天6:56
国外海军作战管理系统与作战训练系统
专知会员服务
2+阅读 · 今天4:16
美军条令《海军陆战队规划流程(2026版)》
专知会员服务
10+阅读 · 今天3:36
《压缩式分布式交互仿真标准》120页
专知会员服务
4+阅读 · 今天3:21
《电子战数据交换模型研究报告》
专知会员服务
6+阅读 · 今天3:13
《基于Transformer的异常舰船导航识别与跟踪》80页
《低数据领域军事目标检测模型研究》
专知会员服务
6+阅读 · 今天2:37
【CMU博士论文】物理世界的视觉感知与深度理解
专知会员服务
10+阅读 · 4月22日
相关资讯
VCIP 2022 Call for Special Session Proposals
CCF多媒体专委会
1+阅读 · 2022年4月1日
ACM MM 2022 Call for Papers
CCF多媒体专委会
5+阅读 · 2022年3月29日
IEEE TII Call For Papers
CCF多媒体专委会
3+阅读 · 2022年3月24日
ACM TOMM Call for Papers
CCF多媒体专委会
2+阅读 · 2022年3月23日
AIART 2022 Call for Papers
CCF多媒体专委会
1+阅读 · 2022年2月13日
【ICIG2021】Check out the hot new trailer of ICIG2021 Symposium6
中国图象图形学学会CSIG
2+阅读 · 2021年11月12日
【ICIG2021】Check out the hot new trailer of ICIG2021 Symposium4
中国图象图形学学会CSIG
0+阅读 · 2021年11月10日
Unsupervised Learning via Meta-Learning
CreateAMind
44+阅读 · 2019年1月3日
A Technical Overview of AI & ML in 2018 & Trends for 2019
待字闺中
18+阅读 · 2018年12月24日
相关基金
国家自然科学基金
0+阅读 · 2012年12月31日
国家自然科学基金
2+阅读 · 2012年12月31日
国家自然科学基金
0+阅读 · 2012年12月31日
国家自然科学基金
1+阅读 · 2012年12月31日
国家自然科学基金
0+阅读 · 2012年12月31日
国家自然科学基金
5+阅读 · 2011年12月31日
国家自然科学基金
0+阅读 · 2011年12月31日
国家自然科学基金
2+阅读 · 2011年12月31日
国家自然科学基金
0+阅读 · 2009年12月31日
国家自然科学基金
0+阅读 · 2008年12月31日
Top
微信扫码咨询专知VIP会员