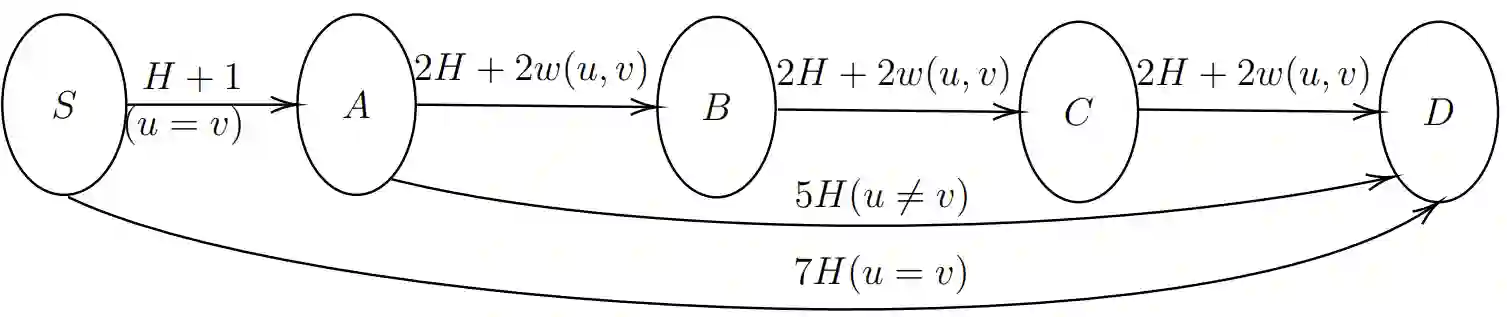
We consider the parity variants of basic problems studied in fine-grained complexity. We show that finding the exact solution is just as hard as finding its parity (i.e. if the solution is even or odd) for a large number of classical problems, including All-Pairs Shortest Paths (APSP), Diameter, Radius, Median, Second Shortest Path, Maximum Consecutive Subsums, Min-Plus Convolution, and $0/1$-Knapsack. A direct reduction from a problem to its parity version is often difficult to design. Instead, we revisit the existing hardness reductions and tailor them in a problem-specific way to the parity version. Nearly all reductions from APSP in the literature proceed via the (subcubic-equivalent but simpler) Negative Weight Triangle (NWT) problem. Our new modified reductions also start from NWT or a non-standard parity variant of it. We are not able to establish a subcubic-equivalence with the more natural parity counting variant of NWT, where we ask if the number of negative triangles is even or odd. Perhaps surprisingly, we justify this by designing a reduction from the seemingly-harder Zero Weight Triangle problem, showing that parity is (conditionally) strictly harder than decision for NWT.


翻译:我们考虑了在细微复杂度中研究的基本问题的等同变体。我们表明,找到精确的解决方案与寻找大量古老问题的等同(即,如果解决办法是偶或奇数)一样困难,包括全帕最短路径(APSP)、Diameter、半径、半径、中环、第二最短路径、最大封闭性分数、最小普卢斯革命和0.1美元-Knapack。直接从一个问题到其对等版本往往很难设计。相反,我们重新审视现有的硬性降幅,并以针对具体问题的方式将其调整为对等版本。文献中几乎所有的APSP的减幅都通过“超直径等但更简单”的负轻三角(APSP)问题来进行。我们经过修改的新的降幅也从西北地区开始,或者从一个非标准对等变体开始。我们无法建立比NWT更自然的等化变体的次等化变体,我们问一下负式的三角体数目是否甚至或奇异于“西北地区”的降幅,也许我们用“最硬的“最硬的三角”决定来证明这个“最硬的“最硬的“我们更难的平级”的“我们”的“最硬的三角”是更难的“最硬的“WTWTWT”。

0
下载
关闭预览

相关内容

图节点嵌入(Node Embeddings)概述,9页pdf
专知会员服务
40+阅读 · 2020年8月22日
强化学习最新教程,17页pdf
专知会员服务
182+阅读 · 2019年10月11日
Hierarchically Structured Meta-learning
CreateAMind
27+阅读 · 2019年5月22日
Transferring Knowledge across Learning Processes
CreateAMind
29+阅读 · 2019年5月18日
逆强化学习-学习人先验的动机
CreateAMind
16+阅读 · 2019年1月18日
Unsupervised Learning via Meta-Learning
CreateAMind
44+阅读 · 2019年1月3日
meta learning 17年:MAML SNAIL
CreateAMind
11+阅读 · 2019年1月2日
A Technical Overview of AI & ML in 2018 & Trends for 2019
待字闺中
18+阅读 · 2018年12月24日
计算机视觉的不同任务
专知
5+阅读 · 2018年8月27日
Capsule Networks解析
机器学习研究会
11+阅读 · 2017年11月12日
【推荐】决策树/随机森林深入解析
机器学习研究会
5+阅读 · 2017年9月21日
【学习】Hierarchical Softmax
机器学习研究会
4+阅读 · 2017年8月6日
Arxiv
0+阅读 · 2021年10月1日
Arxiv
0+阅读 · 2021年9月30日
Arxiv
3+阅读 · 2018年2月24日
VIP会员
最新内容
澳大利亚发布《国防战略(2026年)》
专知会员服务
0+阅读 · 35分钟前
【CMU博士论文】迈向基于基础先验的 4D 感知研究
专知会员服务
0+阅读 · 31分钟前
全球高超音速武器最新发展趋势
专知会员服务
0+阅读 · 今天13:17
人工智能在战场行动中的演进及伊朗案例
专知会员服务
7+阅读 · 4月18日
美AI公司Anthropic推出网络安全模型“Mythos”
专知会员服务
4+阅读 · 4月18日
【博士论文】面向城市环境的可解释计算机视觉
相关资讯
Hierarchically Structured Meta-learning
CreateAMind
27+阅读 · 2019年5月22日
Transferring Knowledge across Learning Processes
CreateAMind
29+阅读 · 2019年5月18日
逆强化学习-学习人先验的动机
CreateAMind
16+阅读 · 2019年1月18日
Unsupervised Learning via Meta-Learning
CreateAMind
44+阅读 · 2019年1月3日
meta learning 17年:MAML SNAIL
CreateAMind
11+阅读 · 2019年1月2日
A Technical Overview of AI & ML in 2018 & Trends for 2019
待字闺中
18+阅读 · 2018年12月24日
计算机视觉的不同任务
专知
5+阅读 · 2018年8月27日
Capsule Networks解析
机器学习研究会
11+阅读 · 2017年11月12日
【推荐】决策树/随机森林深入解析
机器学习研究会
5+阅读 · 2017年9月21日
【学习】Hierarchical Softmax
机器学习研究会
4+阅读 · 2017年8月6日
Top
微信扫码咨询专知VIP会员