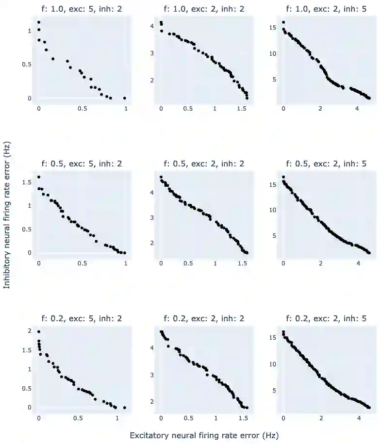
Spiking neural networks (SNNs) communicate through the all-or-none spiking activity of neurons. However, fitting the large number of SNN model parameters to observed neural activity patterns, for example, in biological experiments, remains a challenge. Previous work using genetic algorithm (GA) optimisation on a specific efficient SNN model, using the Izhikevich neuronal model, was limited to a single parameter and objective. This work applied a version of GA, called non-dominated sorting GA (NSGA-III), to demonstrate the feasibility of performing multi-objective optimisation on the same SNN, focusing on searching network connectivity parameters to achieve target firing rates of excitatory and inhibitory neuronal types, including across different network connectivity sparsity. We showed that NSGA-III could readily optimise for various firing rates. Notably, when the excitatory neural firing rates were higher than or equal to that of inhibitory neurons, the errors were small. Moreover, when connectivity sparsity was considered as a parameter to be optimised, the optimal solutions required sparse network connectivity. We also found that for excitatory neural firing rates lower than that of inhibitory neurons, the errors were generally larger. Overall, we have successfully demonstrated the feasibility of implementing multi-objective GA optimisation on network parameters of recurrent and sparse SNN.


翻译:通过神经神经元的全天或全天神经网络(SNNs)进行交流。然而,将大量SNN模型参数与观察到的神经活动模式(例如生物实验中的神经活动模式)相匹配仍然是一个挑战。以前使用Izhikevich神经模型对特定高效 SNN 模型进行基因算法(GA)优化的工作仅限于一个单一参数和目标。这项工作应用了一个名为“非主分类GA(NSGA-III)”的GA版本,以展示在同一SNN上执行多目标优化参数的可行性,重点是搜索网络连接参数,以达到刺激性和抑制性神经活动类型的目标发射率,包括不同网络连接度之间的目标发射率。我们显示,NSGA-III对特定高效的 SNNNNN模式的优化,仅限于一个单一参数和目标。值得注意的是,当Excicical 神经神经系统的发射率高于或等于抑制性神经元时,误差是很小的。此外,当连接性连接度被认为是一个优化的参数时,最理想的网络连通性解决方案需要隐藏的连通性网络连接。我们还发现,在较慢的Sental-stal-stal-stal-toimal-toimation rotial

0
下载
关闭预览

相关内容

Networking:IFIP International Conferences on Networking。 Explanation:国际网络会议。 Publisher:IFIP。 SIT: http://dblp.uni-trier.de/db/conf/networking/index.html
专知会员服务
26+阅读 · 2021年4月2日
【NeurIPS2020-MIT】子图神经网络,Subgraph Neural Networks
专知会员服务
46+阅读 · 2020年9月28日
Python分布式计算,171页pdf,Distributed Computing with Python
专知会员服务
108+阅读 · 2020年5月3日
深度强化学习策略梯度教程,53页ppt
专知会员服务
184+阅读 · 2020年2月1日
Hierarchically Structured Meta-learning
CreateAMind
27+阅读 · 2019年5月22日
Transferring Knowledge across Learning Processes
CreateAMind
29+阅读 · 2019年5月18日
无人机视觉挑战赛 | ICCV 2019 Workshop—VisDrone2019
PaperWeekly
7+阅读 · 2019年5月5日
Call for Participation: Shared Tasks in NLPCC 2019
中国计算机学会
5+阅读 · 2019年3月22日
meta learning 17年:MAML SNAIL
CreateAMind
11+阅读 · 2019年1月2日
计算机类 | LICS 2019等国际会议信息7条
Call4Papers
3+阅读 · 2018年12月17日
【推荐】树莓派/OpenCV/dlib人脸定位/瞌睡检测
机器学习研究会
9+阅读 · 2017年10月24日
【学习】Hierarchical Softmax
机器学习研究会
4+阅读 · 2017年8月6日
强化学习族谱
CreateAMind
26+阅读 · 2017年8月2日
强化学习 cartpole_a3c
CreateAMind
9+阅读 · 2017年7月21日
Arxiv
6+阅读 · 2020年10月8日
Optimization for deep learning: theory and algorithms
Arxiv
106+阅读 · 2019年12月19日
VIP会员
最新内容
人工智能赋能无人机:俄乌战争(万字长文)
专知会员服务
6+阅读 · 4月23日
国外海军作战管理系统与作战训练系统
专知会员服务
3+阅读 · 4月23日
美军条令《海军陆战队规划流程(2026版)》
专知会员服务
10+阅读 · 4月23日
《压缩式分布式交互仿真标准》120页
专知会员服务
4+阅读 · 4月23日
《电子战数据交换模型研究报告》
专知会员服务
6+阅读 · 4月23日
《低数据领域军事目标检测模型研究》
专知会员服务
6+阅读 · 4月23日
【CMU博士论文】物理世界的视觉感知与深度理解
专知会员服务
10+阅读 · 4月22日
相关资讯
Hierarchically Structured Meta-learning
CreateAMind
27+阅读 · 2019年5月22日
Transferring Knowledge across Learning Processes
CreateAMind
29+阅读 · 2019年5月18日
无人机视觉挑战赛 | ICCV 2019 Workshop—VisDrone2019
PaperWeekly
7+阅读 · 2019年5月5日
Call for Participation: Shared Tasks in NLPCC 2019
中国计算机学会
5+阅读 · 2019年3月22日
meta learning 17年:MAML SNAIL
CreateAMind
11+阅读 · 2019年1月2日
计算机类 | LICS 2019等国际会议信息7条
Call4Papers
3+阅读 · 2018年12月17日
【推荐】树莓派/OpenCV/dlib人脸定位/瞌睡检测
机器学习研究会
9+阅读 · 2017年10月24日
【学习】Hierarchical Softmax
机器学习研究会
4+阅读 · 2017年8月6日
强化学习族谱
CreateAMind
26+阅读 · 2017年8月2日
强化学习 cartpole_a3c
CreateAMind
9+阅读 · 2017年7月21日
Top
微信扫码咨询专知VIP会员