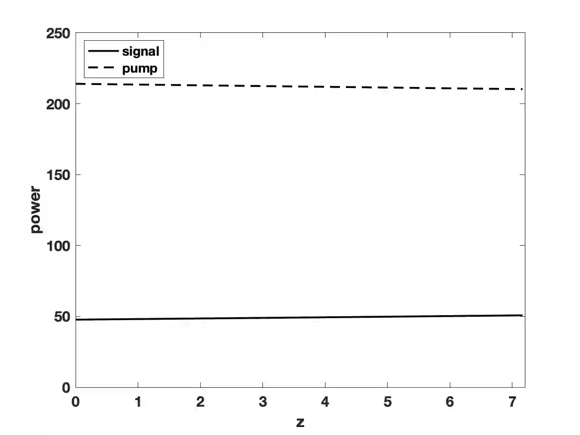
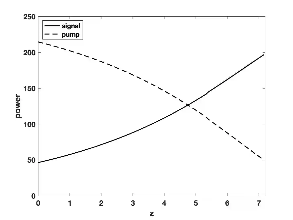
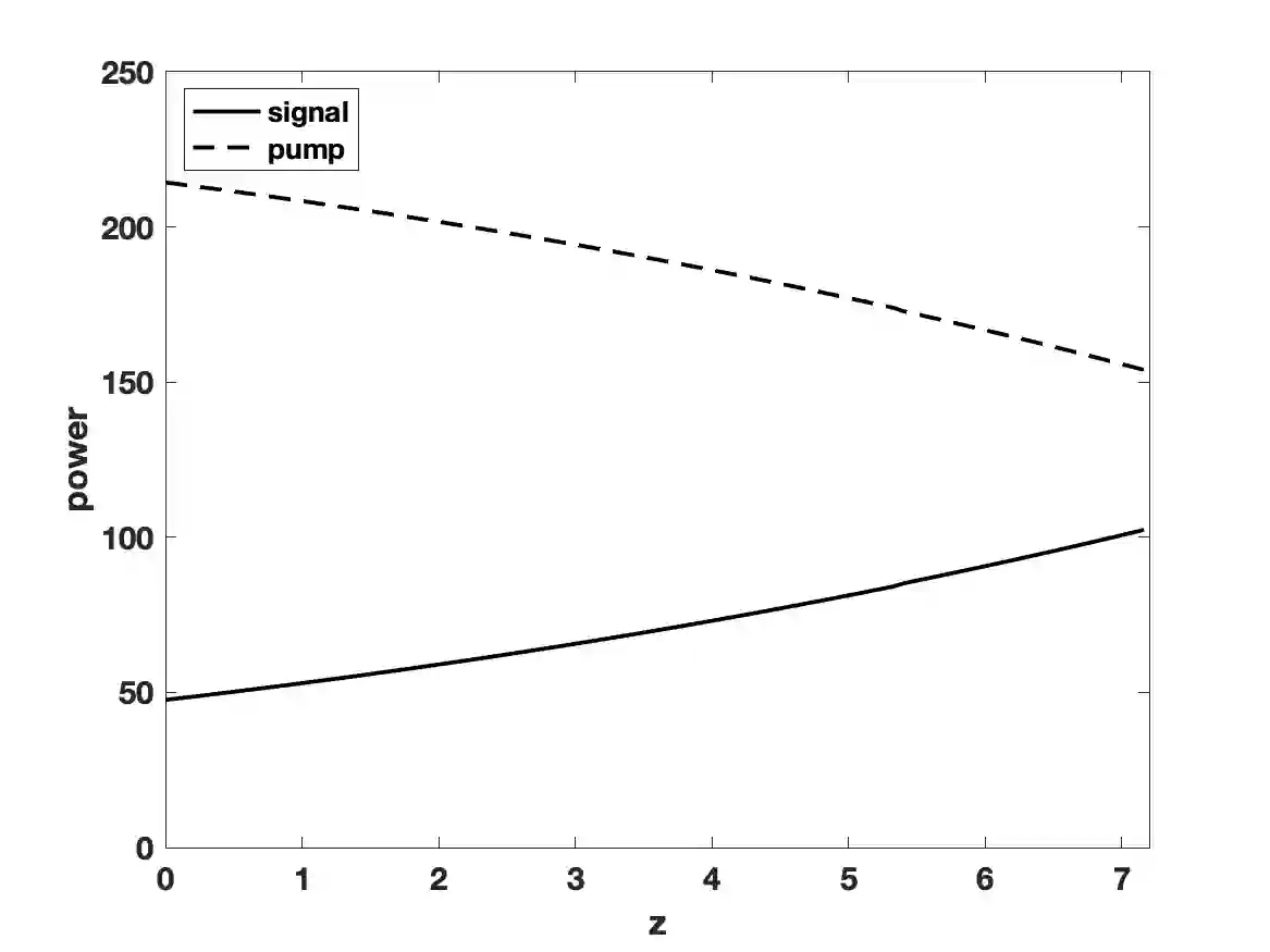
Multi-mode fiber lasers in high-power operation can suffer from undesired thermal coupling effects such as the transverse mode instability (TMI). Indeed, the TMI is a major obstacle in power-scaling of continuous wave, weakly-guided, large mode area, active gain, silica fiber amplifiers. A better understanding of these nonlinear coupling effects is beneficial in the design of new fibers. To that end, we are extending the capabilities of our three-dimensional discontinuous Petrov-Galerkin (DPG) finite element simulation of a nonlinear full vectorial Maxwell model. The model now incorporates both amplification via an active dopant and thermal effects via coupling with the heat equation. To make the computation feasible, the model is scaled in length, using artificial material parameters with the goal of preserving certain quantities of interest. Our numerical studies show the applicability of the scaled model in the simulation of an ytterbium-doped, step-index fiber amplifier that experiences laser amplification and heating.


翻译:在高功率操作中,多模式纤维激光可能会受到不理想的热联动效应的影响,如横向模式不稳定(TMI)等。事实上,TMI是连续波、低导、大模式区域、主动增益、硅纤维放大器的动力缩放的主要障碍。更好地了解这些非线性非线性联动效应有助于设计新纤维。为此,我们正在扩大我们三维不连续的Petrov-Galerkin(DPG)非线性全载式最大水体模型的有限元素模拟能力。该模型现在通过一个主动的圆顶效应和热效应与热方组合结合而进行放大。为了使计算可行,该模型使用人为材料参数进行长度缩放,目的是保存一定数量的利息。我们的数字研究显示该缩放模型在模拟一个受激光振动和加热的ytter-doium-depter-indefir放大器时的适用性。

0
下载
关闭预览

相关内容

TMI:IEEE Transactions on Medical Imaging。 Explanation:医学影像学的IEEE交易。 Publisher:IEEE。 SIT: http://dblp.uni-trier.de/db/journals/tmi/
深度强化学习策略梯度教程,53页ppt
专知会员服务
184+阅读 · 2020年2月1日
Stabilizing Transformers for Reinforcement Learning
专知会员服务
60+阅读 · 2019年10月17日
《DeepGCNs: Making GCNs Go as Deep as CNNs》
专知会员服务
32+阅读 · 2019年10月17日
强化学习最新教程,17页pdf
专知会员服务
182+阅读 · 2019年10月11日
【哈佛大学商学院课程Fall 2019】机器学习可解释性
专知会员服务
105+阅读 · 2019年10月9日
Hierarchically Structured Meta-learning
CreateAMind
27+阅读 · 2019年5月22日
Transferring Knowledge across Learning Processes
CreateAMind
29+阅读 · 2019年5月18日
Unsupervised Learning via Meta-Learning
CreateAMind
44+阅读 · 2019年1月3日
meta learning 17年:MAML SNAIL
CreateAMind
11+阅读 · 2019年1月2日
计算机类 | ISCC 2019等国际会议信息9条
Call4Papers
5+阅读 · 2018年12月25日
A Technical Overview of AI & ML in 2018 & Trends for 2019
待字闺中
18+阅读 · 2018年12月24日
spinningup.openai 强化学习资源完整
CreateAMind
6+阅读 · 2018年12月17日
Auto-Encoding GAN
CreateAMind
7+阅读 · 2017年8月4日
强化学习 cartpole_a3c
CreateAMind
9+阅读 · 2017年7月21日
Continual Unsupervised Representation Learning
Arxiv
7+阅读 · 2019年10月31日
Single-frame Regularization for Temporally Stable CNNs
Arxiv
9+阅读 · 2018年3月28日
Arxiv
4+阅读 · 2018年1月15日
VIP会员
最新内容
《系统簇式多域作战规划范畴论框架》
专知会员服务
2+阅读 · 今天14:54
高效视频扩散模型:进展与挑战
专知会员服务
0+阅读 · 今天13:34
乌克兰前线的五项创新
专知会员服务
6+阅读 · 今天6:14
 军事通信系统与设备的技术演进综述
专知会员服务
4+阅读 · 今天5:59
《北约标准:医疗评估手册》174页
专知会员服务
4+阅读 · 今天5:51
《提升生成模型的安全性与保障》博士论文
专知会员服务
4+阅读 · 今天5:47
美国当前高超音速导弹发展概述
专知会员服务
4+阅读 · 4月19日
无人机蜂群建模与仿真方法
专知会员服务
13+阅读 · 4月19日
相关资讯
Hierarchically Structured Meta-learning
CreateAMind
27+阅读 · 2019年5月22日
Transferring Knowledge across Learning Processes
CreateAMind
29+阅读 · 2019年5月18日
Unsupervised Learning via Meta-Learning
CreateAMind
44+阅读 · 2019年1月3日
meta learning 17年:MAML SNAIL
CreateAMind
11+阅读 · 2019年1月2日
计算机类 | ISCC 2019等国际会议信息9条
Call4Papers
5+阅读 · 2018年12月25日
A Technical Overview of AI & ML in 2018 & Trends for 2019
待字闺中
18+阅读 · 2018年12月24日
spinningup.openai 强化学习资源完整
CreateAMind
6+阅读 · 2018年12月17日
Auto-Encoding GAN
CreateAMind
7+阅读 · 2017年8月4日
强化学习 cartpole_a3c
CreateAMind
9+阅读 · 2017年7月21日
Top
微信扫码咨询专知VIP会员