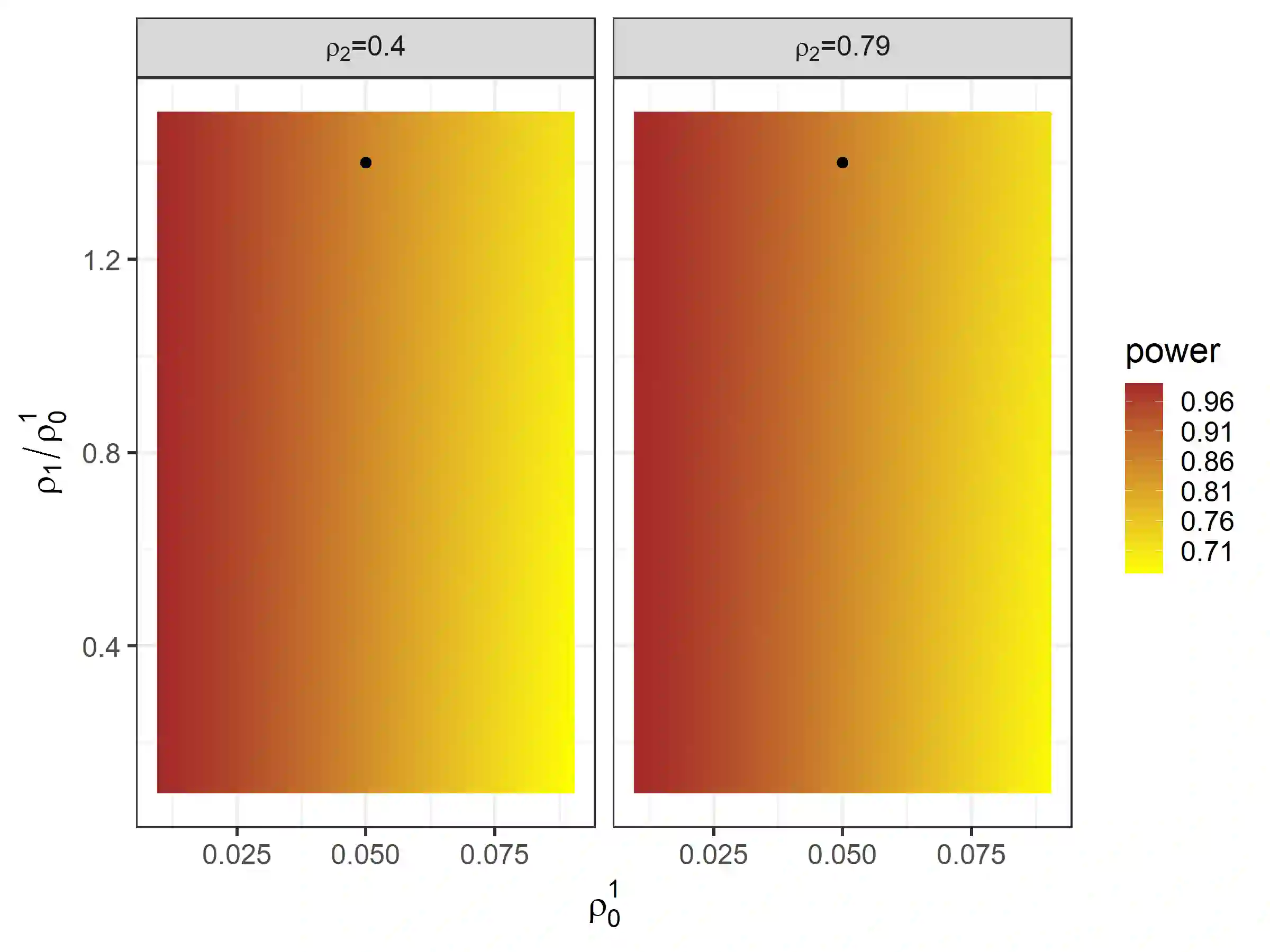
Pragmatic trials evaluating health care interventions often adopt cluster randomization due to scientific or logistical considerations. Previous reviews have shown that co-primary endpoints are common in pragmatic trials but infrequently recognized in sample size or power calculations. While methods for power analysis based on $K$ ($K\geq 2$) binary co-primary endpoints are available for CRTs, to our knowledge, methods for continuous co-primary endpoints are not yet available. Assuming a multivariate linear mixed model that accounts for multiple types of intraclass correlation coefficients (endpoint-specific ICCs, intra-subject ICCs and inter-subject between-endpoint ICCs) among the observations in each cluster, we derive the closed-form joint distribution of $K$ treatment effect estimators to facilitate sample size and power determination with different types of null hypotheses under equal cluster sizes. We characterize the relationship between the power of each test and different types of correlation parameters. We further relax the equal cluster size assumption and approximate the joint distribution of the $K$ treatment effect estimators through the mean and coefficient of variation of cluster sizes. Our simulation studies with a finite number of clusters indicate that the predicted power by our method agrees well with the empirical power, when the parameters in the multivariate linear mixed model are estimated via the expectation-maximization algorithm. An application to a real CRT is presented to illustrate the proposed method.


翻译:由于科学或后勤方面的考虑,评估保健干预措施的简单试验往往采用集束随机化。以前的审查表明,在务实试验中,共同初级终点是常见的,但在抽样规模或电量计算中并不经常承认。虽然CRT可以使用基于K$(K\geq 2美元)的二元共同初级终点分析方法,但据我们所知,目前还没有关于连续共同初级终点的方法。假设一种多变量线性线性混合模型,在每组观察中考虑到多种类型的类内相关系数(特定点的电算中心、本体内电算中心和端点间电算中心之间),但我们得出了美元治疗效应的封闭式联合分布,估计值是K$(K$)的治疗效应,以便利在相同组内规模下不同种类的空虚假设确定。我们用每种类型的无理假设值确定每组的能量规模和不同类型相关参数之间的关系。我们进一步放松了对等值的集群规模假设,并估计美元待遇效应通过组合体大小的平均值和系数进行联合分配。我们通过组合体积规模的预测的模型中的一种模拟研究与估计法方法一致地表明了我们预测的数值。

0
下载
关闭预览

相关内容

【经典书】信息论原理,774页pdf
专知会员服务
265+阅读 · 2021年3月22日
【干货书】机器学习速查手册,135页pdf
专知会员服务
127+阅读 · 2020年11月20日
Python分布式计算,171页pdf,Distributed Computing with Python
专知会员服务
108+阅读 · 2020年5月3日
Keras François Chollet 《Deep Learning with Python 》, 386页pdf
专知会员服务
164+阅读 · 2019年10月12日
Hierarchically Structured Meta-learning
CreateAMind
27+阅读 · 2019年5月22日
Transferring Knowledge across Learning Processes
CreateAMind
29+阅读 · 2019年5月18日
逆强化学习-学习人先验的动机
CreateAMind
16+阅读 · 2019年1月18日
Ray RLlib: Scalable 降龙十八掌
CreateAMind
9+阅读 · 2018年12月28日
A Technical Overview of AI & ML in 2018 & Trends for 2019
待字闺中
18+阅读 · 2018年12月24日
Hierarchical Disentangled Representations
CreateAMind
4+阅读 · 2018年4月15日
R文本分类之RTextTools
R语言中文社区
4+阅读 · 2018年1月17日
【论文】变分推断(Variational inference)的总结
机器学习研究会
39+阅读 · 2017年11月16日
Auto-Encoding GAN
CreateAMind
7+阅读 · 2017年8月4日
Geometric Model Checking of Continuous Space
Arxiv
1+阅读 · 2022年2月4日
Arxiv
0+阅读 · 2022年2月3日
VIP会员
最新内容
《第四代军事特种作战部队选拔与评估》
专知会员服务
0+阅读 · 今天6:23
不对称优势上升:自主系统如何强化海上拒止
专知会员服务
0+阅读 · 今天5:51
《人工智能赋能电磁战》(报告)
专知会员服务
2+阅读 · 4月17日
【CMU博士论文】迈向可扩展的开放世界三维感知
相关资讯
Hierarchically Structured Meta-learning
CreateAMind
27+阅读 · 2019年5月22日
Transferring Knowledge across Learning Processes
CreateAMind
29+阅读 · 2019年5月18日
逆强化学习-学习人先验的动机
CreateAMind
16+阅读 · 2019年1月18日
Ray RLlib: Scalable 降龙十八掌
CreateAMind
9+阅读 · 2018年12月28日
A Technical Overview of AI & ML in 2018 & Trends for 2019
待字闺中
18+阅读 · 2018年12月24日
Hierarchical Disentangled Representations
CreateAMind
4+阅读 · 2018年4月15日
R文本分类之RTextTools
R语言中文社区
4+阅读 · 2018年1月17日
【论文】变分推断(Variational inference)的总结
机器学习研究会
39+阅读 · 2017年11月16日
Auto-Encoding GAN
CreateAMind
7+阅读 · 2017年8月4日
Top
微信扫码咨询专知VIP会员