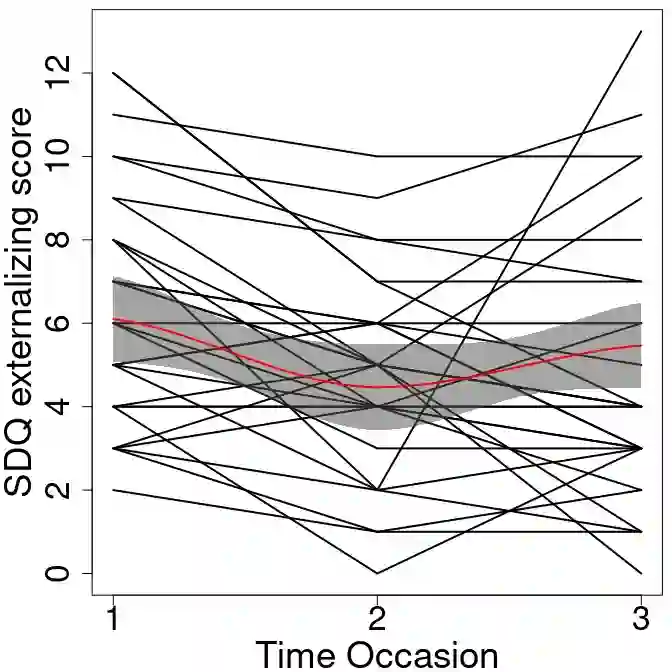
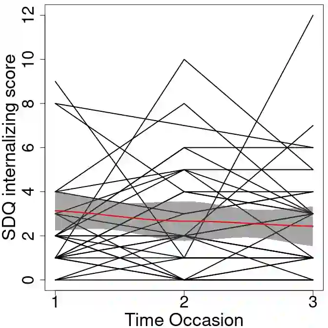
The identification of factors associated with mental and behavioral disorders in early childhood is critical both for psychopathology research and the support of primary health care practices. Motivated by the Millennium Cohort Study, in this paper we study the effect of a comprehensive set of covariates on children's emotional and behavioural trajectories in England. To this end, we develop a Quantile Mixed Hidden Markov Model for joint estimation of multiple quantiles in a linear regression setting for multivariate longitudinal data. The novelty of the proposed approach is based on the Multivariate Asymmetric Laplace distribution which allows to jointly estimate the quantiles of the univariate conditional distributions of a multivariate response, accounting for possible correlation between the outcomes. Sources of unobserved heterogeneity and serial dependency due to repeated measures are modeled through the introduction of individual-specific, time-constant random coefficients and time-varying parameters evolving over time with a Markovian structure, respectively. The inferential approach is carried out through the construction of a suitable Expectation-Maximization algorithm without parametric assumptions on the random effects distribution.


翻译:确定与幼儿期精神和行为紊乱有关的因素对精神病学研究和支持初级保健做法至关重要。在千年科霍特研究的推动下,我们在本文件中研究了一套综合共变因素对英格兰儿童情感和行为轨迹的影响。为此,我们开发了一个量性混合隐藏马克夫模型,用于在多变量纵向数据的线性回归设置中联合估计多个量。拟议方法的新颖性基于多变量对称拉普尔分布法,该分布法能够共同估计多变量反应的单项有条件分布,并计算结果之间的可能关联。由于反复措施而未观察到的异性和序列依赖性来源,通过采用与马尔科维亚结构一起随着时间变化的个别、时间-时间-随机系数和时间变化参数来建模。推论方法是通过设计一个适当的预测-马克西姆分解法来进行,而没有参数的随机分布假设。

0
下载
关闭预览

相关内容

隐马尔可夫模型(Hidden Markov Model,HMM)是统计模型,它用来描述一个含有隐含未知参数的马尔可夫过程。其难点是从可观察的参数中确定该过程的隐含参数。然后利用这些参数来作进一步的分析,例如模式识别。 其是在被建模的系统被认为是一个马尔可夫过程与未观测到的(隐藏的)的状态的统计马尔可夫模型。
【干货书】机器学习速查手册,135页pdf
专知会员服务
127+阅读 · 2020年11月20日
专知会员服务
162+阅读 · 2020年1月16日
【哈佛大学商学院课程Fall 2019】机器学习可解释性
专知会员服务
105+阅读 · 2019年10月9日
计算机 | 中低难度国际会议信息8条
Call4Papers
9+阅读 · 2019年6月19日
19篇ICML2019论文摘录选读!
专知
28+阅读 · 2019年4月28日
逆强化学习-学习人先验的动机
CreateAMind
16+阅读 · 2019年1月18日
A Technical Overview of AI & ML in 2018 & Trends for 2019
待字闺中
18+阅读 · 2018年12月24日
disentangled-representation-papers
CreateAMind
26+阅读 · 2018年9月12日
Hierarchical Disentangled Representations
CreateAMind
4+阅读 · 2018年4月15日
【论文】变分推断(Variational inference)的总结
机器学习研究会
39+阅读 · 2017年11月16日
已删除
将门创投
3+阅读 · 2017年10月12日
【推荐】RNN/LSTM时序预测
机器学习研究会
25+阅读 · 2017年9月8日
Arxiv
0+阅读 · 2021年11月4日
Arxiv
0+阅读 · 2021年11月4日
Arxiv
0+阅读 · 2021年11月3日
Arxiv
0+阅读 · 2021年11月2日
Bivariate Beta LSTM
Arxiv
6+阅读 · 2019年10月7日
VIP会员
最新内容
美国当前高超音速导弹发展概述
专知会员服务
0+阅读 · 7分钟前
《高超音速武器:一项再度兴起的技术》120页slides
无人机蜂群建模与仿真方法
专知会员服务
1+阅读 · 今天14:08
澳大利亚发布《国防战略(2026年)》
专知会员服务
0+阅读 · 今天13:42
【CMU博士论文】迈向基于基础先验的 4D 感知研究
专知会员服务
0+阅读 · 今天13:46
全球高超音速武器最新发展趋势
专知会员服务
1+阅读 · 今天13:17
相关VIP内容
【干货书】机器学习速查手册,135页pdf
专知会员服务
127+阅读 · 2020年11月20日
专知会员服务
162+阅读 · 2020年1月16日
【哈佛大学商学院课程Fall 2019】机器学习可解释性
专知会员服务
105+阅读 · 2019年10月9日
相关资讯
计算机 | 中低难度国际会议信息8条
Call4Papers
9+阅读 · 2019年6月19日
19篇ICML2019论文摘录选读!
专知
28+阅读 · 2019年4月28日
逆强化学习-学习人先验的动机
CreateAMind
16+阅读 · 2019年1月18日
A Technical Overview of AI & ML in 2018 & Trends for 2019
待字闺中
18+阅读 · 2018年12月24日
disentangled-representation-papers
CreateAMind
26+阅读 · 2018年9月12日
Hierarchical Disentangled Representations
CreateAMind
4+阅读 · 2018年4月15日
【论文】变分推断(Variational inference)的总结
机器学习研究会
39+阅读 · 2017年11月16日
已删除
将门创投
3+阅读 · 2017年10月12日
【推荐】RNN/LSTM时序预测
机器学习研究会
25+阅读 · 2017年9月8日
Top
微信扫码咨询专知VIP会员