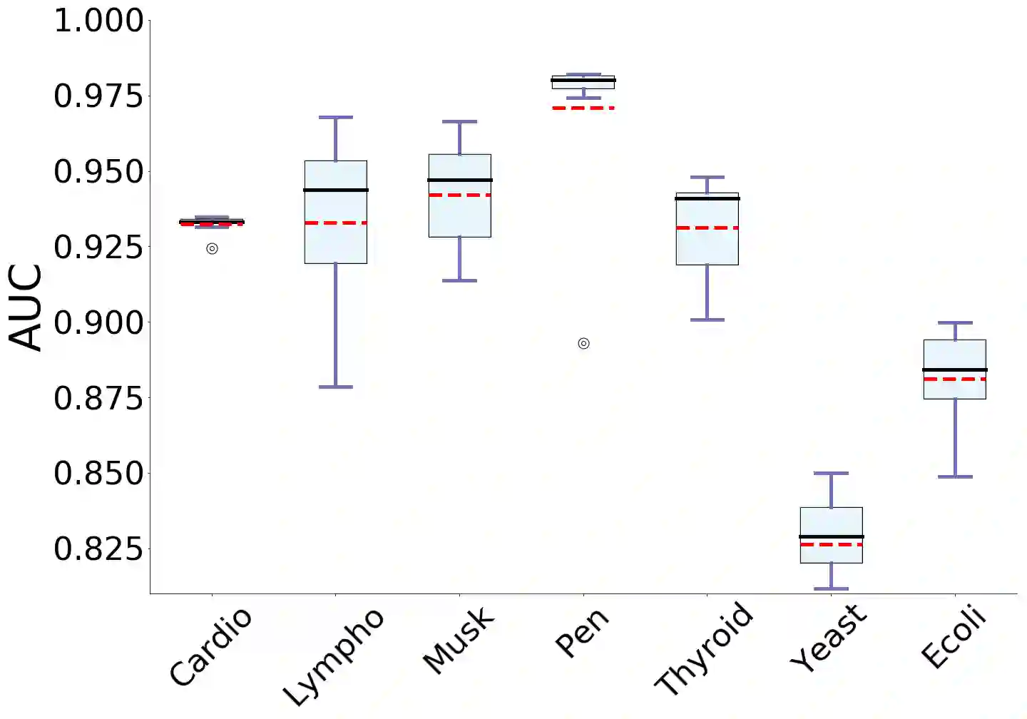
Empirical observations often consist of anomalies (or outliers) that contaminate the data. Accurate identification of anomalous samples is crucial for the success of downstream data analysis tasks. To automatically identify anomalies, we propose a new type of autoencoder (AE) which we term Probabilistic Robust autoencoder (PRAE). PRAE is designed to simultaneously remove outliers and identify a low-dimensional representation for the inlier samples. We first describe Robust AE (RAE) as a model that aims to split the data to inlier samples from which a low dimensional representation is learned via an AE, and anomalous (outlier) samples that are excluded as they do not fit the low dimensional representation. Robust AE minimizes the reconstruction of the AE while attempting to incorporate as many observations as possible. This could be realized by subtracting from the reconstruction term an $\ell_0$ norm counting the number of selected observations. Since the $\ell_0$ norm is not differentiable, we propose two probabilistic relaxations for the RAE approach and demonstrate that they can effectively identify anomalies. We prove that the solution to PRAE is equivalent to the solution of RAE and demonstrate using extensive simulations that PRAE is at par with state-of-the-art methods for anomaly detection.


翻译:经验观测通常包括污染数据的异常(或外部),准确识别异常样本对于下游数据分析任务的成功至关重要。为了自动识别异常,我们建议了一种新型自动编码器(AE),我们称之为“概率机器人自动编码器(PRAE) ” 。PRAE旨在同时去除外部源,并找出隐性样本的低维代表值。我们首先将Robust AE(RAE)描述为一种模型,目的是将数据分解为通过 AE 学习低维度代表的离子样本,而异常(外部)样本则被排除,因为它们不适合低维度代表值。Robust AE尽可能减少对自动编码器的重建,同时尽量纳入尽可能多的观察。这可以通过从重建期中减去计算选定观测次数的$\ell_0美元标准来实现。由于$\ell_0美元标准是不可更改的,我们建议两种相对等值的样本(AE)样本(AREE)排除,因为它们不符合低维度代表值。Robuste ADE 的解算法是用来有效证明对RAE 的解算法。

1
下载
关闭预览

相关内容

专知会员服务
34+阅读 · 2021年9月16日
专知会员服务
23+阅读 · 2021年4月10日
因果图,Causal Graphs,52页ppt
专知会员服务
253+阅读 · 2020年4月19日
[综述]深度学习下的场景文本检测与识别
专知会员服务
78+阅读 · 2019年10月10日
已删除
将门创投
3+阅读 · 2019年11月25日
逆强化学习-学习人先验的动机
CreateAMind
16+阅读 · 2019年1月18日
无监督元学习表示学习
CreateAMind
27+阅读 · 2019年1月4日
Unsupervised Learning via Meta-Learning
CreateAMind
44+阅读 · 2019年1月3日
vae 相关论文 表示学习 1
CreateAMind
12+阅读 · 2018年9月6日
Hierarchical Disentangled Representations
CreateAMind
4+阅读 · 2018年4月15日
Capsule Networks解析
机器学习研究会
11+阅读 · 2017年11月12日
【推荐】GAN架构入门综述(资源汇总)
机器学习研究会
10+阅读 · 2017年9月3日
Auto-Encoding GAN
CreateAMind
7+阅读 · 2017年8月4日
Arxiv
0+阅读 · 2021年11月24日
Learning Memory-guided Normality for Anomaly Detection
q-Space Novelty Detection with Variational Autoencoders
Arxiv
7+阅读 · 2018年3月19日
VIP会员
最新内容
乌克兰前线的五项创新
专知会员服务
1+阅读 · 今天6:14
 军事通信系统与设备的技术演进综述
专知会员服务
1+阅读 · 今天5:59
《北约标准:医疗评估手册》174页
专知会员服务
1+阅读 · 今天5:51
《提升生成模型的安全性与保障》博士论文
专知会员服务
0+阅读 · 今天5:47
美国当前高超音速导弹发展概述
专知会员服务
4+阅读 · 4月19日
无人机蜂群建模与仿真方法
专知会员服务
9+阅读 · 4月19日
澳大利亚发布《国防战略(2026年)》
专知会员服务
4+阅读 · 4月19日
全球高超音速武器最新发展趋势
专知会员服务
3+阅读 · 4月19日
相关资讯
已删除
将门创投
3+阅读 · 2019年11月25日
逆强化学习-学习人先验的动机
CreateAMind
16+阅读 · 2019年1月18日
无监督元学习表示学习
CreateAMind
27+阅读 · 2019年1月4日
Unsupervised Learning via Meta-Learning
CreateAMind
44+阅读 · 2019年1月3日
vae 相关论文 表示学习 1
CreateAMind
12+阅读 · 2018年9月6日
Hierarchical Disentangled Representations
CreateAMind
4+阅读 · 2018年4月15日
Capsule Networks解析
机器学习研究会
11+阅读 · 2017年11月12日
【推荐】GAN架构入门综述(资源汇总)
机器学习研究会
10+阅读 · 2017年9月3日
Auto-Encoding GAN
CreateAMind
7+阅读 · 2017年8月4日
相关论文
Top
微信扫码咨询专知VIP会员