马赛克战是一种作战理论,由更多数量和种类的灵活、流动和可扩展的武器装备、传感器和平台组成的部队,比按照系统的方法发展的部队更有效和更有弹性。马赛克部队的每个成员就像马赛克中的瓦片一样与众不同。他们可以根据对当地情况的了解来决定和行动。与正面对抗敌人的类似武器和平台相比,这可能具有压倒性的优势。马赛克战提高了决策速度,并使指挥官采取更多的同步行动,这给对方部队的决策带来了额外的复杂性。本文研究了马赛克战概念的有利技术,创建了测试该概念的试验环境,进行了初步实验,并介绍了实验结果。

1 引言

马赛克战是一种基于以下理论的战争概念:与数量和种类较少的大型效应相比,数量和种类较多的小型效应的积累可以产生更大的影响(Clark等人,2020;Magnuson 2018;Sapathy 2019a)。该理论还暗示,效应器的规模较小,但在机动性和决策方面都更灵活。它们按照分布式的指挥和控制方案协作行动。换句话说,每个效应器都是一个自主系统,即多个智能体协作以实现其共同目标。

马赛克概念与系统模型有根本的不同,在系统模型中,每个部分都是为一个特定的功能而独特设计的。马赛克概念将传感器和武器进行了分配和分解。马赛克部队的各个部分是微不足道的,可有可无的,但当他们在一起时,他们是无价的。它从主导性转变为致命性,用分布式的协作实体改变了今天的集中式单体系统(Sapathy 2019a)。

马赛克战争标题可能有误导性,因为这个概念并不以马赛克那样的完美镶嵌为目标,相反,有很多重叠的地方。该理论的本质是基于用多种多样、数量较多的小型、敏捷、流畅和可扩展的效应器多次打击同一目标,这也使得敌人很难找出行动方案来对付混乱的混合对手。

马赛克战争有时在军事界被称为授权概念,因为它高度涉及分布式决策过程。初看,该理论与战争的主要原则之一,即统一指挥相冲突。然而,事实并非如此,因为政治、战略和作战目标仍由指挥系统中的适当级别制定,甚至决定性的条件和努力方向也由相关指挥部设计。它通过利用分布式编队来实现更快的决策,因此,它降低了对方指挥官的决策,并提高了自己部队的适应性和生存能力(Clark等人,2020)。

这个概念的一个关键优势是它能够在战斗参与组合中增加高效的意外元素,例如在空中、地面和海上合作的自主或无人平台。随着技术的发展,自主和无人平台的整合可以增加马赛克战争所承诺的不对称优势,同时也减少军事人员的风险。因此,先进技术是马赛克战争概念中的一个关键词。电子和信息系统技术提供了补充马赛克战争能力的解决方案,并发展其可组合的和自主元素的力量(Clark等人,2020)。

此外,马赛克战争概念以动态系统的力量为目标,因为它旨在为自己的部队创造适应性,并将复杂性放在敌人的方向上。它通过一个由低成本的传感器、多领域的指挥和控制节点以及协作的有人和无人系统组成的网络发挥作用。除此之外,它还使用了诸如微电子机械系统、人工智能和数据分析、蜂群智能、蜂群预测和信息融合等技术组件。这样的技术极大地增强了马赛克战争的概念,并赋予其力量。

在第2节中,简要地介绍了这些赋能技术。马赛克战争可以利用现有的技术和概念,如无线传感器网络和网络中心战。其他新兴和未来的技术,如蜂群智能,可能为新的机会铺平道路,以进一步放大这一概念的力量。对这些技术的依赖是一个重要的事实,在设计实验环境和用该概念进行测试时需要分析。在第3节中,我们解释了对镶嵌式战争进行建模和模拟的挑战和方法。我们假设马赛克战争是一个战略概念。它将导致并依靠许多操作和功能概念,因此需要一个多分辨率和全域模拟框架。在本节中提出了一种基于仿真实验的方法和工具,可以解决未来马赛克战争的功能概念的挑战。我们在第4节中对概念的各个方面进行了实验,并介绍了初步结果。最后,在第5节中总结了本文。

2 马赛克战的技术组成部分

马赛克战概念的技术组成部分包括但不限于表1中的清单。在本节中,我们将简要介绍它们中的每一个,因为马赛克战是一个战略概念,还需要一些作战和功能概念(ACT 2021)。这些功能概念将基于表1中列出的技术和更多技术的组合。因此,需要一个多分辨率的全域测试环境来实施马赛克战概念实验。

表1: 关键技术元素

技术 描述
无线传感器网络和物联网 功耗敏感的自组网和协作技术
蜂群智能与预测 受到蚂蚁、鸟和鱼等社会生物启发的智能算法
大数据分析与信息融合 数据量大、种类多、流动速度快、准确性难以验证,商业价值大
网络中心战 传感器,C2和作战系统的连接和网络
微机电和纳米机电系统 分别具有微米级和纳米级组件的机电系统
人工智能与增强智能 计算机智能行为模拟,人类智能与人工智能的融合
技术扩散化 世界各地的普通人都能负担得起和获得监管较少的技术

2.1 无线传感器网络和物联网

可靠和适应性强的通信和数据传感器对于成功实施马赛克战至关重要。无线传感器和执行器网络(WSAN)和物联网(IoT)技术可以被用于马赛克战。WSAN是功率感知的特设网络技术,已经被广泛研究了近三十年(Akyildiz等人,2002;Cayirci等人,2006;Cayirci和Rong,2009)。WSAN是分布式系统,通过传感器和执行器节点的协作,对环境条件进行适应和反应。WSAN中的执行器根据从传感器节点获得的传感数据,控制附着在它们身上的设备。这些执行器可以部署在传感器领域内,它们可以集中或分散布置。传感数据可以通过自动架构或半自动架构从传感器节点传递到执行器。在自动化结构中,传感数据直接被传送到执行器。在半自动化结构中,传感数据首先被送到收集器,收集器处理所收集的数据并将融合后的数据转发给相关的执行器。

物联网(IoT)(Atzori等人,2010)整合了一些技术和通信解决方案,包括识别和跟踪技术、有线和无线传感器和执行器网络、增强型通信协议和分布式智能。物联网的基本理念是各种事物或物体的普遍存在,它们能够通过独特的寻址方案相互作用并与邻居合作以达到共同目标。物联网与WSAN一样也是一个成熟的研究领域,在设计和实现马赛克战的功能概念时可以利用。

2.2 蜂群智能与预测

蜂群系统来自于一些社会生物行为的启发,如蚂蚁、白蚁、鸟类和鱼类(Parpinelli和Lopes 2011)。自组织和分散控制是蜂群系统的显著特征,它描述了一种突现行为。突现行为是通过系统组件之间的局部相互作用而出现的,它不可能由系统的任何组件单独行动来实现。最初,蜂群智能算法遵循两个主流方法:蚁群优化(ACO)和粒子群优化(PSO)。

ACO算法是基于蚂蚁的觅食行为。蚂蚁的目标是找到食物源和它们的巢穴之间的最短路径。为此,蚂蚁通过一种叫做信息素的化学物质在局部相互交流。它们在通往食物的路径上铺设信息素。其他的蚂蚁用进一步的信息素来加强这条路,也就是正反馈,它们沿着信息素最高的路线走。随着遵循相同路线的蚂蚁越来越少,信息素就会逐渐消失。这种间接通信系统被称为共识主动性/间接通信(stigmergy)。从共识主动性/间接通信、正反馈和信息素蒸发的组合中,蚂蚁群发生了一种突现行为,促进它们找到食物源和蚁群之间最短的路径。

PSO算法是由鱼群和鸟群的运动激发的。群体中的每个个体都有自己的生活经验,并且能够评估其经验的质量。作为社会个体,他们也有关于他们的邻居表现如何的知识。这两类信息分别对应于认知部分(个人学习)和社会部分(文化传播)。因此,个体的决定要考虑到认知和社会成分,从而导致种群出现觅食或逃离捕食者的行为。

在过去的十年里,除了ACO和PSO之外,新的蜂群智能范式也被引入,这些范式的灵感来自于其他社会生物的觅食行为。蜂群智能也被应用于各种目的的预测中。马赛克战和蜂群智能概念有许多共同点,马赛克战在很大程度上可以从蜂群智能和预测技术中受益。

2.3 大数据分析与信息融合

从大数据中推断信息并将信息融合为知识变得越来越有挑战性,因为数据量越来越大,种类越来越多(Chen and Zhan 2014)。此外,数据在不断流动,将数据处理成数据-信息-知识-智慧(DIKW)层次中较高层次的时间是有限的(Snidaroa 2015)。数据和信息的准确性和可靠性,以及因此对它们的信任(Cayirci和Oliveria 2018)也成为一个越来越大的问题。各个领域都出现了对新的可扩展信息融合和知识库管理方案的需求,例如,开源、测量和签名以及信号智能融合。学术界和工业界的广泛研究已经引入了分布式大数据分析和信息融合解决方案(Cayirci和Rong 2018)。这些解决方案是马赛克战概念的有利技术之一。

2.4 网络中心战

有人可能会说,马赛克战概念的早期版本是网络中心战,尽管它们之间有很大的区别。网络中心战概念使战争从以平台为中心转变为以网络为中心的思维。这一概念的目的不是改变现有的作战系统,而是在交战中创造一个更有效的指挥和控制(C2)。

网络中心战是在信息时代的技术发展中产生的。它的重点是通过传感器、C2和作战系统的连接和联网所产生的战斗力。这一概念的实质是基于创造高度共享态势感知的能力。它旨在整合在不同作战领域(海、陆、空、太空)实现联合作战。网络中心战的另一个重要特征是,通过通信传达的信息不仅限于文本,它还包括实时视频和图像等数据,这是一种实时数据(FTD 2005;Gangadharaiah和Hallur 2014)。

显然,按照网络中心战概念创建的技术和系统是马赛克战概念的关键助推器。

2.5 微机电系统和纳米机电系统

微机电系统(MEMS)是由带有运动部件的微观设备组成的系统。它们在纳米尺度上合并为纳米机电系统(NEMS)和纳米技术。MEMS是由尺寸在1到100微米之间的部件组成的,MEMS的尺寸一般在20微米到1毫米之间,不过排列成阵列的部件可以超过1000平方毫米。

一个典型的MEMS通常由一个中央处理单元和几个与周围环境互动的部件组成,如微传感器和执行器。MEMS容易受到环境电磁学和流体动力学的影响。因此,与大型机械装置相比,静电荷、磁矩、表面张力和粘度等现象是更重要的设计考虑因素。MEMS技术有别于分子纳米技术或分子电子技术,因为后两者也必须考虑表面化学。NEMS组件是纳米级的。

MEMS和NEMS是上个世纪机电系统小型化努力的结果。它不仅实现了马赛克战等概念,而且对其设计也产生了影响。

2.6 人工智能与增强智能

人工智能(AI)是计算机科学的一个领域,成立于20世纪50年代末。它试图理解、模拟和设计智能系统,或者换句话说,旨在模拟计算机中的智能行为。最简单的说法,人工智能是人造的思维和学习。人工智能可以为战场上面临的许多挑战提供解决方案。它有助于在众多行动中选择一个行动方案。通过人工智能的自然语言处理和脑波识别,多渠道的人机互动成为可能。语音识别也是人工智能的一个重要应用,它可以理解各种口音、背景噪音、事件、地点等。基于人工智能的视频分析能理解计算机上的视觉输入。机器人是人工智能的另一个重要应用,机器人能够执行人类赋予的任务。人工智能的应用领域是无限的。

人工智能研究人员一直在追求两种主要的替代方法:符号学和心理学。早期的方法被称为经典或符号人工智能。在这些最早的方法中,人们预测,人或机器参与的每一个过程都可以通过符号来传达,这些符号可以根据一系列预定的规则进行调整(Murshida等人,2019)。符号法是一种以数学为导向的方式,抽象地描述导致智能行为的过程。另一方面,生理学方法倾向于对大脑功能进行建模,以便对智能进行反向工程。

增强智能(AuI)整合了人类智能(HI)和人工智能(AI),以利用它们的优势,减轻它们的弱点。人类智能和人工智能的结合被认为可以提高人类和机器的能力,与单独的人类智能和人工智能方法相比,取得更好的性能(Yau等人,2021)。

人工智能和AuI在马赛克战争的定义中具有关键地位,它们在虚拟战场的复制是模拟马赛克战概念的主要挑战之一。

2.7 技术扩散化

技术扩散化有两层含义:创新和发展的便利,以及获取和使用的便利。技术不再像过去那样被少数领先国家所管制和拥有,而是由全世界各种规模的人和公司普遍开发。普通人使用起来变得更加容易和自然。对具有特殊技能的技术人员的需求几乎完全减少了。消费者有更多的机会使用和购买技术先进的产品,并有意义地参与这些产品的开发,与几年前相比,这些产品的价格更加低廉。这一事实对马赛克战概念的必要性和设计都有很大影响。

3 基于马赛克战概念的仿真实验

3.1 马赛克战概念的实验挑战

马赛克战概念意味着许多不同的部件在分布式决策过程中迅速移动。这可以带来明显的战略军事优势,然而,这些棋子必须与所有其他棋子一致行动,使所有的行动有助于实现作战和最终的战略目标。这需要出色的通信、先进的分布式决策、协调和协作算法。局部的沟通、决策和协作算法的缺陷会导致错过机会或灾难性的结果。需要开发功能概念,如用于马赛克平台的蜂群智能算法,其性能对马赛克战概念的成功非常重要。尽管它们对总体概念至关重要,但我们必须将马赛克战概念的测试从这个次要的概念层中分离出来,这是设置实验环境的第一个挑战。

大量不同的碎片也表明仿真实体的数量很高,这给准备和验证数据库以及在仿真过程中控制大量实体带来了困难。此外,在一个非常动态和流动的“剧场”里模拟如此多的实体,需要高性能的计算。

这个概念的目标对我们来说是明确的,因此相对来说更容易确定依赖参数。不过,我们还是把这个实验设定为发现实验,因为这是我们第一次对马赛克战概念进行实验。因此,我们的重点是决定性能指标,了解影响指标的因素,并发现指标和因素之间的关系。

3.2 JWTC实验环境

实验环境中的主要工具是混合多域作战和战术仿真器(hymots®)。hymots®,其软件架构如图1所示,它为仿真马赛克战概念引入了主要优势。第一组优势不仅适用于测试马赛克战争概念,而且适用于任何战争概念:

  • 它有一个实验模式,可以生成置信区间,而不是单一的随机结果。这大大减轻了分析员的工作负担。
  • 即使在4000公里×4000公里的区域内模拟40000个智能体,它也能达到300:1的模拟速度,因此在很短的时间内就能获得结果。
  • 它支持所有领域(空中、陆地、海洋、太空和网络空间)、灾害和混合环境。

图1:仿真环境软件体系结构。

第二组优势在马赛克战概念实验时特别有帮助:

  • 它是一个基于智能体的仿真系统。每个智能体代表一个仿真实体(例如,一个军事单位,一个民事实体或团体)。每个智能体都有一个单独的微程序,它们自主地达到目标并遵守给它们的命令。他们通过一个共同的虚拟剧场与其他智能体互动。这几乎是在仿真环境中对马赛克战概念的完美复制。

  • 智能体可以完全由用户命令控制,也可以将他们的一个子集的控制权交给人工智能(计算机生成的部队--CGF)。CGF组件可用于复制分散的动态决策过程,这是马赛克战概念中的一个关键组成部分。

  • 通过建模和仿真服务(MSaaS)的桥梁,该环境可以连接到其他模拟服务,以测试与马赛克战争有关的各种细节方面,这些细节可能会在以后出现。

自主协作实体的分布式控制算法对马赛克战概念的性能有影响。在我们的研究中,我们将总体概念与为实体的自主行为开发的详细功能概念隔离开来。因此,在这个阶段,我们不需要架CGF部分。同样,我们的仿真环境对于运行初步发现实验是满足的,因此还不需要使用MSaaS桥接器。

3.3 实验设计

实验的主要命题是,马赛克战概念比系统的方法表现得更好。我们需要更早地说明这个命题,以便设计我们的初步发现实验集:

定义1 马赛克战是一种基于高数量和种类的小型、敏捷、流动和可扩展能力的战争概念。

定义2 系统簇是一个模型,其中每个部分都是为特定的功能而独特设计的,这样他们就可以补充总体系统以达到其目标。

命题1 与数量少、种类多的大型效应相比,数量多、种类少的小型效应的积累可以产生更大的影响。

命题2 与由较少数量和种类的大型资产组成的战争能力相比,由较多数量和种类的小型资产组成的战争能力的存活率更高。

实验目标是研究独立参数(即影响所选绩效指标的相关因素)及其与因果参数(即绩效指标)的关系,以便根据这两个命题提出假设。从命题中检索因果参数是非常简单的。对于命题1,从属参数是能力的有效性,而对于命题2,则是能力的可存活性。人们随时可以把成本和战争发展时间作为重要的衡量标准,然而,我们将排除它们,以便把我们的命题从无限多的其他因素中分离出来。我们的因果参数(即措施)见表2:

表2: 相关参数列表

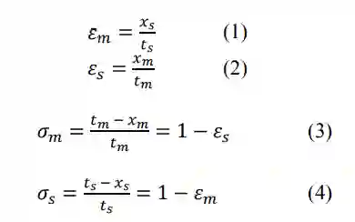
f方的有效性εf,以战斗开始前被摧毁的对方o的实体数量xo与对方实体总数to之间的比率来衡量。因此,马赛克方m和系统方s的有效性和存活率由公式1-4给出。

我们的初步实验是为了发现问题,因此我们必须将设计简化并隔离为几个我们可以轻松控制的因子参数。我们的目标是在建立更复杂的实验之前,进一步深入了解这个概念的动态。对于我们的第一组发现实验,表3中的独立参数被选中:

表3: 独立参数列表

独立参数的取值范围是这样选择的:它们足够简单且明显不同,以便开始建立对措施和因素之间关系的直觉。还请注意,我们只测试马赛克力量与系统力量。马赛克对马赛克的测试将在后面的实验中进行。

为了避免运行10,000个实验,我们设计了实验配置,只对独立参数进行部分因子化。对于每个实验配置,我们都给出了从属参数的结果,并在下一节进行分析。

4 实验结果

我们实验的初步结果在图2-5中描述。请注意,决策、指挥和控制(C2)的过程不包括在这第一组实验中。直观地讲,决策的敏捷性是马赛克概念的一个强有力的特征,尽管如此,在我们实验的这个阶段得出结论还为时过早,在这个阶段,动力学是主要的焦点。

我们首先对密度比进行了实验,密度比是指在作战区的单位体积内,马赛克(M)和系统(S)实体之间的密度比。在图2中,精度比被固定为1,这意味着在一个模拟期内,一个M实体击中一个S实体的概率与一个S实体击中一个M实体的概率相同。弹性比为0.2,这意味着S实体与M实体相比,可以承受5倍的撞击。如图2所示,当密度比大于2时,马赛克概念的有效性和生存能力都比系统的概念高。当密度比超过6时,M实体能够消灭所有的S实体,因此,M实体的有效性几乎变成1,而S实体的生存能力下降到零。由于许多S实体在击中多个M实体之前就被消灭了,所以在密度比为4之后,M实体的存活率明显增加。

图2: 当精度比ψ=1和弹性比α=0.2时,密度比ρ的敏感性。

在图3中,说明了精度比实验的结果。当密度比为4,弹性比为0.2时,精度比的变化对结果的影响有限。我们观察到其他密度和弹性比率也是如此。随着精度比的增加,M实体如预期的那样表现得更好,然而,这种变化不是很明显。

图3: 当密度比ρ=4和弹性比α=0.2时,精度比ψ的敏感性。

在图4中,当密度比为4,精度比为0.2时,测试了有效性和存活率对弹性比的敏感性。很明显,弹性比率对有效性有很大影响。弹性比率越低,即M实体需要击中更多才能消除一个S实体,与S实体消除一个M实体的击中次数相比,M实体的有效性就越低。弹性比率对生存能力的影响是非常有限的。这是因为当密度比为4,精度比为0.2时,所有的S实体都被消除了,与弹性比无关。在我们的下一组实验中,我们将引入更多的复杂因素,如天气、地形和士气因素,我们计划进一步研究这个结果和它的意义。

图4: 当密度比ρ=4和精度比ψ=0.2时,弹性比α的敏感性。

前面的实验只运行一次,并对其结果进行分析。图5显示了连续模拟的结果,这些模拟是从上一次模拟结束的状态开始运行的。换句话说,当密度比为4,精度比为1.33,弹性比为0.2时,我们考察了作战时间对有效性和生存能力的影响。每个模拟步骤的长度(即天或小时)并不重要,因为精度值代表了单位时间内的命中概率。在下面一组验证实验中,所有这些参数将变得更加具体。图5暗示,战斗时间越长,马赛克概念的表现越好。

图5:当密度比ρ=4精度比ψ=1.33和弹性比α=0.2时,战斗持续时间的敏感性。

5 结论

设置了一个实验环境,并进行了初步的发现实验,以进一步深入了解马赛克战概念及其与系统方法相比的优势。命题1和2是重点,因此有效性和生存能力被选为衡量标准。实验环境被简化并与许多因素隔离,如决策过程、C2、士气、各种地形类型和天气条件。相反,这些措施的敏感性是针对命题所暗示的主要因素参数进行调查的,即密度、精度、复原力和持续时间。我们的主要结论如下:

  • 马赛克战概念是有希望的,因此我们将进一步测试它,目的是验证概念。
  • 密度和弹性比率是影响性能的主要因素,特别是有效性。
  • 马赛克战概念引入了主要的优势,特别是在持续时间较长的战斗中。然而,对战斗持续时间的敏感性取决于密度比,并可能受到其他因素的影响,如双方的生产能力和资源,这需要进一步调查。

我们还建立了一个基于建设性模拟系统和强大的实验管理工具的动态实验框架,并根据这第一组发现实验的结果设计了我们的验证性实验。

成为VIP会员查看完整内容
278

相关内容

人工智能在军事中可用于多项任务,例如目标识别、大数据处理、作战系统、网络安全、后勤运输、战争医疗、威胁和安全监测以及战斗模拟和训练。
万字译文 |《决策中心战的兴起》决策中心战、马赛克战
专知会员服务
269+阅读 · 2023年3月21日
美国国防部《联合全域指挥与控制(JADC2)战略概要》
专知会员服务
324+阅读 · 2022年6月13日
美国国防部《指挥、控制和通信 (C3)现代化战略 》
专知会员服务
229+阅读 · 2022年5月9日
无人机蜂群作战概念研究
无人机
61+阅读 · 2018年7月9日
国家自然科学基金
4+阅读 · 2015年12月31日
国家自然科学基金
0+阅读 · 2014年12月31日
国家自然科学基金
0+阅读 · 2012年12月31日
国家自然科学基金
43+阅读 · 2012年12月31日
国家自然科学基金
1+阅读 · 2011年12月31日
国家自然科学基金
27+阅读 · 2011年12月31日
国家自然科学基金
1+阅读 · 2011年12月31日
国家自然科学基金
5+阅读 · 2011年12月31日
Arxiv
0+阅读 · 2023年5月11日
Arxiv
14+阅读 · 2022年5月6日
已删除
Arxiv
33+阅读 · 2020年3月23日
VIP会员
最新内容
美国当前高超音速导弹发展概述
专知会员服务
4+阅读 · 4月19日
无人机蜂群建模与仿真方法
专知会员服务
4+阅读 · 4月19日
澳大利亚发布《国防战略(2026年)》
专知会员服务
2+阅读 · 4月19日
全球高超音速武器最新发展趋势
专知会员服务
2+阅读 · 4月19日
相关基金
国家自然科学基金
4+阅读 · 2015年12月31日
国家自然科学基金
0+阅读 · 2014年12月31日
国家自然科学基金
0+阅读 · 2012年12月31日
国家自然科学基金
43+阅读 · 2012年12月31日
国家自然科学基金
1+阅读 · 2011年12月31日
国家自然科学基金
27+阅读 · 2011年12月31日
国家自然科学基金
1+阅读 · 2011年12月31日
国家自然科学基金
5+阅读 · 2011年12月31日
微信扫码咨询专知VIP会员