联合火力自动化(JFA)项目旨在将联合火力指挥与控制(C2)数字化,以支持联合目标定位周期。联合目标定位周期中的一个重要步骤是为目标分配武器,以最大限度地提高总体效果。在科学文献中,这一问题被称为武器目标分配(WTA)问题。虽然有一些算法可以解决这个问题,但它们并没有考虑移动武器。近年来,随着无人驾驶航空系统(UAS)的发展,移动武器的使用变得更加便利,从一个目标移动到另一个目标的时间不再可以忽略不计。本科学报告介绍了一种算法,该算法在为武器分配目标时考虑到了武器的移动。对新问题进行了正式定义,并开发了一种启发式方法。还开发了一个数据生成器,用于生成与现实生活类似的实例。结果表明,所开发的算法可以在可接受的时间内解决生成的实例。

本科学报告介绍了一种为目标分配武器的算法的开发情况。所解决的问题适用于陆地目标定位周期。它符合联合火力现代化(JFM)资本项目,该项目旨在开发传感器到射击的概念和原型。简而言之,所提出的算法利用从传感器获得的信息,以集中的方式有效地将目标分配给武器。报告的主要成果之一是介绍了为在分配质量和执行计算所需时间之间找到适当平衡而进行的战略探索。这些成果将指导今后在这一主题上的发展。尽管主要是探索性的,但本报告强调了在设计这些算法时必须做出的一些权衡。在使用决策支持工具时,这些取舍会产生重大影响,用户应予以理解。

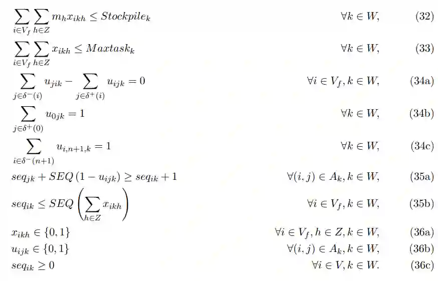
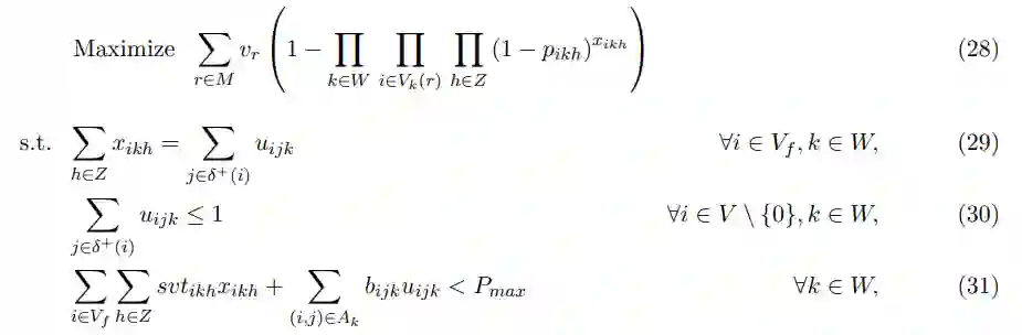
报告概述如下:第2节回顾了科学文献中的类似问题。第 3 节对问题进行了正式描述。第 4 节介绍了一些解决策略和数据生成器。第 5 节介绍并评论了所获得的结果。第 6 节为结束语。在整个报告中,使用了标准符号。读者可参阅表 9 了解所用符号的说明。

成为VIP会员查看完整内容
94

相关内容

军事防务数据板块介绍:系统化采集、存储、管理、分析与军事国防安全相关信息的专用数据板块,其核心在于整合全球新兴国防技术(军事人工智能、无人系统等)、热点案例(俄乌战争、美以伊战争)等方面的最新时讯、研究报告/论文、条令法规、案例分析,为战略研判、情报分析、决策支持等提供知识支撑。
《分布式海战中的无人系统》133页报告
专知会员服务
241+阅读 · 2023年9月20日
《跨域协同:在制海权争夺战中使用火炮》35页报告
专知会员服务
92+阅读 · 2023年7月10日
国家自然科学基金
0+阅读 · 2015年12月31日
国家自然科学基金
7+阅读 · 2015年12月31日
国家自然科学基金
2+阅读 · 2015年12月31日
国家自然科学基金
0+阅读 · 2015年12月31日
国家自然科学基金
3+阅读 · 2015年12月31日
国家自然科学基金
51+阅读 · 2014年12月31日
国家自然科学基金
3+阅读 · 2014年12月31日
国家自然科学基金
13+阅读 · 2014年12月31日
国家自然科学基金
3+阅读 · 2014年12月31日
国家自然科学基金
55+阅读 · 2011年12月31日
A Survey of Large Language Models
Arxiv
501+阅读 · 2023年3月31日
Arxiv
69+阅读 · 2022年9月7日
Arxiv
10+阅读 · 2020年11月26日
Augmentation for small object detection
Arxiv
13+阅读 · 2019年2月19日
VIP会员
最新内容
战略前沿人工智能的再思考(中文)
专知会员服务
5+阅读 · 5月29日
《量化地基防空系统间接效应的博弈论方法》
专知会员服务
5+阅读 · 5月29日
“史诗怒火行动”中美军损失的作战飞机
专知会员服务
5+阅读 · 5月29日
ICML 2026 | 理解上下文持续学习中的泛化与遗忘
专知会员服务
5+阅读 · 5月28日
Agent Harness综述:大模型智能体执行器工程全景
专知会员服务
15+阅读 · 5月28日
《基于理论的威慑效能评估》
专知会员服务
8+阅读 · 5月28日
相关资讯
相关基金
国家自然科学基金
0+阅读 · 2015年12月31日
国家自然科学基金
7+阅读 · 2015年12月31日
国家自然科学基金
2+阅读 · 2015年12月31日
国家自然科学基金
0+阅读 · 2015年12月31日
国家自然科学基金
3+阅读 · 2015年12月31日
国家自然科学基金
51+阅读 · 2014年12月31日
国家自然科学基金
3+阅读 · 2014年12月31日
国家自然科学基金
13+阅读 · 2014年12月31日
国家自然科学基金
3+阅读 · 2014年12月31日
国家自然科学基金
55+阅读 · 2011年12月31日
微信扫码咨询专知VIP会员