本报告介绍了美国陆军研究实验室内容理解处的研究人员在 2023 财年为采用增强型战术推理(ETI)框架所做的工作。ETI 的开发旨在支持多智能体环境(数据源智能体、推理模型智能体和决策者智能体)中人工推理研究的实验和演示。在本报告中,ETI 被用于在跨现实环境中演示基于不确定性的决策推荐功能。从模拟场景的数据开始,再加上额外的外部环境,ETI 智能体对态势感知信息中的不确定性进行推理,为决策者提供建议选择。最后,ETI 的产品被转化为跨现实可视化,以探索新的人机交互模式。

增强战术推理(ETI)框架的设计和创建是为了支持人工推理研究的实验和演示。ETI 目前的结构包括三个主要智能体:数据源智能体、推理模型智能体和决策者智能体。数据源智能体分为几大类:信息(图像、音频、文本)、设备、网络和可视化。数据源智能体可以捕获数据并将数据传输给其他智能体。其他信息系统也可以向这些智能体提供数据。推理模型智能体执行不同方面和不同层次的推理。推理智能体的输出将有助于生成建议的决策。决策者智能体负责做出最终决策。这些 ETI 智能体可以是模块化的,允许串行或并行处理,以及独立或相互依存。在这项工作中,ETI 发挥着决策辅助工具的作用。主要的推理模型是信息不确定性(UoI)模块。该 UoI 模块可在决策建议中考虑任何信息的不确定性。ETI 的另一项功能是实现与人类的互动,包括未来的可视化和协作环境。我们在跨现实(XR)环境--运筹、研究与分析加速用户推理(AURORA)中进行了演示。与 AURORA 等系统集成后,可以探索智能系统与人类交互的新模式。在本报告中,将详细介绍我们的演示开发过程,包括将模拟环境中的数据映射到可视化环境中,将决策点和 ETI 建议纳入行动方案中,以及用 "假设 "情况来增强场景,以探索基于推理的框架的影响。

这项研究的目标是开发、整合和演示基于推理的决策框架。ETI 框架的决策建议被用于师演习训练和审查系统(DXTRS)中的模拟场景,并在 XR 环境 AURORA 中实现可视化。下文将介绍 DXTRS、场景和 AURORA 可视化的背景情况。

  • DXTRS场景

在该场景中,蓝军(BLUFOR)的目标是向东推进,穿过阿塞拜疆名为阿格达姆区的地区,同时与部署在河东的对方部队(OPFOR)交战并将其消灭。(见图 1)

随着任务的展开,BLUFOR 将遇到一条阻碍他们前进的河流,他们需要在那里进行湿空隙穿越。(见图 2)

  • AURORA跨现实共同作战图 (XRCOP)

为了探索可视化和与 ETI 的交互,DXTRS 场景和相关的 ETI 推理信息在 XR 环境中显示。该环境由美国陆军作战能力发展司令部(DEVCOM)陆军研究实验室(ARL)开发,名为 AURORA。AURORA 为安全、联网、多设备跨现实信息调解和交互提供了一个通用作战框架。为了便于可视化,将场景数据集合映射为 AURORA 可以处理的目标光标(CoT)信息。本报告第 3 部分将详细解释映射过程。图 3 和图 4 显示了AURORA环境中的场景截图。

  • ETI 决策建议

如前所述,ETI 的设计是利用各种推理模型作为模块,允许不同的推理配置。本次工作的推理模型是用户体验模块。UoI 的概念包括产生或捕捉一个值,并用描述符对不确定值进行分类。这为决策者提供了不确定性的上下文信息,并支持对由此产生的建议进行推理。描述符基于格申论文中提出的不完全信息的性质。目前,该分类法包括不一致、损坏、不连贯、不完整、不精确、复杂和可疑。它们共同描述了特定信息源不确定性的原因和类型。

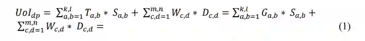
当前版本的UoI表达式是一个加权和,如式1所示。

公式 1. UoI 计算,其中 dp 为决策点,D 为变量,表示可能是任务关键因素的决策组成部分,W 为与这些组成部分的重要性相关的权重,T 为分类权重类别(相当于 G),S 为数据来源类别。UoI 值表示数据源和因素对所分类的不确定性的贡献。

以下是分类法中七个术语的描述:

  • 不一致: 由于来源不同或不一致而导致的不确定性。
  • 错误: 因数据源含有错误而导致的不确定性。
  • 可疑: 由于信息来源缺乏信息或信息来源可疑而导致的不确定性。
  • 不连贯: 由于信息来源缺乏连贯性或组织性而造成的不确定性。
  • 不完整: 由于信息来源未完成或不完整而造成的不确定性。
  • 不准确: 由于信息来源不准确或不详细而造成的不确定性。
  • 复杂: 由于信息来源错综复杂或令人困惑而造成的不确定性。
成为VIP会员查看完整内容
107

相关内容

人工智能在军事中可用于多项任务,例如目标识别、大数据处理、作战系统、网络安全、后勤运输、战争医疗、威胁和安全监测以及战斗模拟和训练。
《有人-无人协同作战的 "感知与规避 "要求》36页技术报告
《嵌入式深度学习和高级计算》美空军2023最新报告
专知会员服务
58+阅读 · 2023年7月27日
【2022新书】深度学习归一化技术,117页pdf
专知
29+阅读 · 2022年11月25日
国家自然科学基金
52+阅读 · 2015年12月31日
国家自然科学基金
9+阅读 · 2015年12月31日
国家自然科学基金
47+阅读 · 2015年12月31日
国家自然科学基金
3+阅读 · 2014年12月31日
国家自然科学基金
63+阅读 · 2014年12月31日
国家自然科学基金
1+阅读 · 2014年12月31日
国家自然科学基金
2+阅读 · 2014年12月31日
国家自然科学基金
0+阅读 · 2014年12月31日
Arxiv
176+阅读 · 2023年4月20日
A Survey of Large Language Models
Arxiv
501+阅读 · 2023年3月31日
Arxiv
83+阅读 · 2023年3月26日
Arxiv
182+阅读 · 2023年3月24日
Arxiv
27+阅读 · 2023年3月17日
VIP会员
最新内容
《美陆军条例:陆军指挥政策(2026版)》
专知会员服务
3+阅读 · 今天8:10
《军用自主人工智能系统的治理与安全》
专知会员服务
3+阅读 · 今天8:02
《系统簇式多域作战规划范畴论框架》
专知会员服务
7+阅读 · 4月20日
高效视频扩散模型:进展与挑战
专知会员服务
3+阅读 · 4月20日
乌克兰前线的五项创新
专知会员服务
7+阅读 · 4月20日
 军事通信系统与设备的技术演进综述
专知会员服务
6+阅读 · 4月20日
《北约标准:医疗评估手册》174页
专知会员服务
5+阅读 · 4月20日
相关VIP内容
《有人-无人协同作战的 "感知与规避 "要求》36页技术报告
《嵌入式深度学习和高级计算》美空军2023最新报告
专知会员服务
58+阅读 · 2023年7月27日
相关基金
国家自然科学基金
52+阅读 · 2015年12月31日
国家自然科学基金
9+阅读 · 2015年12月31日
国家自然科学基金
47+阅读 · 2015年12月31日
国家自然科学基金
3+阅读 · 2014年12月31日
国家自然科学基金
63+阅读 · 2014年12月31日
国家自然科学基金
1+阅读 · 2014年12月31日
国家自然科学基金
2+阅读 · 2014年12月31日
国家自然科学基金
0+阅读 · 2014年12月31日
微信扫码咨询专知VIP会员