奇异值分解:协同过滤的前奏,你是SVD(上)

2020 年 4 月 27 日 AINLP


一 :内容预告


最近在看机器阅读理解的模型,学到了双向注意流网络(BiDAF),模型的细节太复杂了,让我产生了厌学情绪。

所以这周没写新东西,还是发一篇旧文,关于奇异值分解(Singular Value Decomposition,SVD)。

奇异值分解是一种非常重要的降维方法,主成分分析法(PCA)、潜在语义分析(LSA)和协同过滤(CF)都用到了奇异值分解。

这篇文章以数学推导为主,一步步搞清楚奇异值分解是什么。当然相信我,这些推导比较简单。

本文关注以下问题:

1:奇异值分解的数学公式;

2:奇异值分解的流程总结和案例;

3:用奇异值分解进行降维;

4:特征分解、奇异值分解和主成分分析法的关系;

5:奇异值分解在词向量降维中的应用。



二:奇异值分解的数学公式


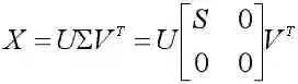
一个n×m的矩阵X,其奇异值分解定义为:

其中U称为左奇异矩阵,是一个n×n的正交矩阵,即满足UTU=E,UT=U-1

而V称为右奇异矩阵,是一个m×m的正交矩阵。

Σ为n×m的对角矩阵,对角线上的非零元素是奇异值(Singular Value)。

01

求奇异值

首先看 Σ或者说奇异值是什么。
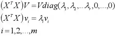
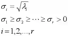
如果矩阵X的秩rank(A)=r,那么实对称矩阵X T X与X的秩相等,X T X有r个非零的特征值和m-r个零特征值: λ 1 ≥λ 2 ≥ λ 3 ...≥λ r r+1 =...=λ m =0。
奇异值σ为:
矩阵Σ可以表示为(diag表示对角矩阵):

02

求右奇异矩阵V

然后看右奇异矩阵V是什么。

将V写成列向量的形式(v1, v2, ...vr,... vm),那么V的列向量是实对称矩阵XTX的单位特征向量,也就是有:

03

求左奇异矩阵U

(一)第一种做法

第一种做法更多是为了与右奇异矩阵V的求法相对应,实际计算时会采用另外的方法。
如果实对称矩阵XTX与X的秩相等,有r个非零特征值,那么另一个实对称矩阵XXT与XTX的秩相等,同样有r个非零特征值,且这两个矩阵的非零特征值相等。
将U也写成列向量的形式(u1, u2, ...ur,.. un),那么U的列向量是实对称矩阵XXT的单位特征向量,也就是有:
看到这里,虽然不知道这是怎么推导过来的,但是感受到了一种强烈的数学之美,有没有!
(二)第二种做法
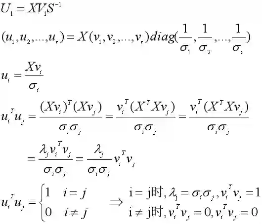
在第二种做法中,我们会充分利用实对称矩阵XTX与右奇异矩阵V,来求得左奇异矩阵U,而不用另外去求XXT的单位特征向量。
我们首先把XTX的特征值分为两组:
特征值大于零的一组(r个),特征值等于零的一组(m-r个)。
相应的把右奇异矩阵的列向量分为两组:
前r个非零特征值对应的单位特征向量为V1=(v1, v2, ...vr),而零特征值对应的单位特征向量为V2=(vr+1,.. vm)。
再把左奇异矩阵U的列向量也分为两组,尽管我们还不知道具体的元素值,但是我们知道它有n个列向量:前r个列向量U1=(u1, u2, ...ur),后n-r个列向量U2=(ur+1, ur+2, ...un)。
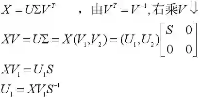
那么我们可以用X、V1和奇异值构成的对角阵方阵S来求出U1
由第一种做法我们已知U1是XXT非零特征值的单位特征向量,那么U2就是零特征值的单位特征向量了。
我们不用去求U2,只要构造n-r个列向量,每一个列向量满足:
与其他n-1个列向量正交,且是单位向量 ——这通常是比较容易构造的。
于是我们就得到了左奇异矩阵U=(U1, U2)。
我们还可以证明,由XV1S-1所得到的U1的确满足: 列向量相互正交且为单位向量。
这个证明很有用,并不复杂。


三:计算流程和案例


根据第一 部分的内容,尽管我们不知道怎么推导,但已经知道如何进行奇异值分解了。

01

奇异值分解的计算流程

如果有一个n×m的矩阵X,秩为r,那么对X进行奇异值分解的一种做法是:

(1)求出实对称矩阵XTX的m个特征值λi(其中非零的有r个)和m个单位特征向量vi

(2)把m个特征值λi从大到小排序,求出奇异值σi=√λi(i=1,...,r),并得到S=diag(σ12,...,σr);

(3)相应地把m个特征向量vi进行排列,就可以得到右奇异矩阵V=(v1, v2, ...vr,.. vm),同时得到非零特征值的特征向量矩阵V1=(v1, v2, ...vr);

(4)由XV1S-1求出n×r的矩阵U1,写成U1=(u1, u2, ...ur);

(5)构造n-r个列向量ui,每个都满足与其他n-1个列向量正交且是单位向量的条件,写成U2=(ur+1, ur+2, ...un),于是得到左奇异矩阵U=(U1, U2)=(u1, u2, ... ur, ..., un);

(6)得到X的奇异值分解:

接下来我们就举一个简单的例子,按这个流程走一遍。

02

奇异值分解的案例

问题:

对以下的矩阵X进行奇异值分解。

求解:



四:奇异值分解降维


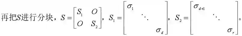
用奇异值分解进行降维,需要用到线性代数里的分块矩阵理论。

01

简化奇异值分解

可以看到,矩阵Σ由奇异值和很多0元素构成,强迫症的我看到这些0元素比较难受,尤其是对角线上的!

幸我们可以用矩阵分块的方法,把Σ中为0的对角元素抛弃。

同样,X是n×m的矩阵,右奇异矩阵V中的前r个列向量为V1=(v1, v2, ...vr),左奇异矩阵U中的前r个列向量为U1=(u1, u2, ...ur),S=diag(σ12,...,σr)是奇异值构成的对角矩阵。

则可以将奇异值分解化简为X=U1SV1T


02

奇异值分解降维

我们是用分块矩阵对奇异值分解进行化简的,现在让我们分块到底!

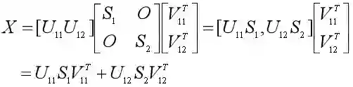
我们知道U1中有r个列向量,我们再将其分块,比如我们想把维度降到d维(d<r),那么把U1分为两个子矩阵U1=[U11, U12],有U11=[u1,u2,...,ud],U12=[ud+1,ud+2,...,ur]。

同样把V1进行分块,得到V1=[V11, V12],V11=[v1,v2,...,vd],V12=[vd+1,vd+2,...,vr]。

于是我们可以把X=U1SV1T也分块成:

因此如果我们想把维度降到d维,那么就让X≈U11S1V11T

这样我们就舍弃了r-d维的信息U12S2V12T,那不免让人担心,信息是否会损失太多。

所以如何计算损失的信息量呢?

03

信息量度量

主成分分析法的文章提到了,可以用数据集的方差来衡量数据所包含的信息量的大小,方差越大,包含的信息越多。

而方差又和特征值密切相关,在某些特殊情况下方差就等于特征值。

于是我们隐约感觉到,可以用奇异值或者特征值来度量矩阵的信息量。

是的,矩阵X的信息量就定义为所有奇异值的平方和,也就是XTX的特征值之和:F=λ12+…+λr

那么降维后的矩阵U11S1V11T的信息量为:

F112+…+λd

而损失的信息为矩阵U12S2V12T的信息量:

F2d+1d+2+…+λr

于是损失的信息量占总信息量的比例为:

这样我们就可以清晰地看到,降至d维后,信息量是否损失太大,是否让我们无法承受。

不过好在S中的奇异值是降序排列的,而且数值一般下降得特别快,前面少数几个奇异值的平方和占总信息量的比例一般就已经很大了。

好,到这里我们就明白了,怎么度量降维后的矩阵所包含的信息量。

然后,作为好奇宝宝的你也许会问,为什么矩阵X的信息量就是所有奇异值的平方和呢?

好的,邓紫棋已经听到你的呼唤了,返场唱最后一首歌。

这里是用矩阵X的F范数的平方来度量信息量。

什么是矩阵的F范数呢?

矩阵的F范数定义为矩阵中每个元素平方之和的平方根,那么F范数的平方就是每个元素的平方和。

因为矩阵X每个元素的平方和(F范数的平方)是方阵XTX的对角线元素之和(迹),而方阵XTX的对角线元素之和(迹)就是其特征值之和,也就是奇异值的平方和。

所以矩阵X的信息量就是所有奇异值的平方和。

下一篇介绍奇异值分解和主成分分析法的关系,以及奇异值分解在词向量降维中的应用。


参考资料:

1、《A Tutorial on Principal Component Analysis. Derivation, Discussion and Singular Value Decomposition》

2、《A Singularly Valuable Decomposition: The SVD of a Matrix 》

END

推荐阅读

AINLP年度阅读收藏清单

百度PaddleHub&nbsp;NLP模型全面升级,推理性能提升50%以上

斯坦福大学NLP组Python深度学习自然语言处理工具Stanza试用

数学之美中盛赞的 Michael Collins 教授,他的NLP课程要不要收藏?

自动作诗机&藏头诗生成器:五言、七言、绝句、律诗全了

From Word Embeddings To Document Distances 阅读笔记

模型压缩实践系列之——bert-of-theseus,一个非常亲民的bert压缩方法

这门斯坦福大学自然语言处理经典入门课,我放到B站了

可解释性论文阅读笔记1-Tree Regularization

征稿启示 | 稿费+GPU算力+星球嘉宾一个都不少

关于AINLP

AINLP 是一个有趣有AI的自然语言处理社区,专注于 AI、NLP、机器学习、深度学习、推荐算法等相关技术的分享,主题包括文本摘要、智能问答、聊天机器人、机器翻译、自动生成、知识图谱、预训练模型、推荐系统、计算广告、招聘信息、求职经验分享等,欢迎关注!加技术交流群请添加AINLPer(id:ainlper),备注工作/研究方向+加群目的。


登录查看更多
0

相关内容

奇异值是矩阵里的概念,一般通过奇异值分解定理求得。设A为m*n阶矩阵,q=min(m,n),A*A的q个非负特征值的算术平方根叫作A的奇异值。奇异值分解是线性代数和矩阵论中一种重要的矩阵分解法,适用于信号处理和统计学等领域。
【经典书】概率统计导论第五版,730页pdf
专知会员服务
250+阅读 · 2020年7月28日
机器学习速查手册,135页pdf
专知会员服务
345+阅读 · 2020年3月15日
《深度学习》圣经花书的数学推导、原理与Python代码实现
【经典书】精通机器学习特征工程,中文版,178页pdf
专知会员服务
360+阅读 · 2020年2月15日
【新书】Python编程基础,669页pdf
专知会员服务
197+阅读 · 2019年10月10日
特征方程的物理意义
算法与数学之美
7+阅读 · 2019年5月13日
百面机器学习!算法工程师面试宝典!| 码书
程序人生
6+阅读 · 2019年3月2日
推荐系统中的矩阵分解技术
AINLP
9+阅读 · 2018年12月24日
博客 | MIT—线性代数(下)
AI研习社
6+阅读 · 2018年12月20日
博客 | MIT—线性代数(上)
AI研习社
10+阅读 · 2018年12月18日
机器学习(29)之奇异值分解SVD原理与应用详解
机器学习算法与Python学习
6+阅读 · 2017年11月30日
基于机器学习方法的POI品类推荐算法
全球人工智能
3+阅读 · 2017年11月22日
图解高等数学|线性代数
遇见数学
39+阅读 · 2017年10月18日
PCA的基本数学原理
算法与数学之美
11+阅读 · 2017年8月8日
Arxiv
6+阅读 · 2017年12月2日
VIP会员
最新内容
美陆军设想无人系统司令部
专知会员服务
0+阅读 · 今天13:45
【博士论文】已对齐人工智能系统的持久脆弱性
专知会员服务
0+阅读 · 今天13:52
扭曲还是编造?视频大语言模型幻觉研究综述
专知会员服务
0+阅读 · 今天13:41
《采用系统思维应对混合战争》125页
专知会员服务
2+阅读 · 今天12:47
战争机器学习:数据生态系统构建(155页)
专知会员服务
6+阅读 · 今天8:10
内省扩散语言模型
专知会员服务
5+阅读 · 4月14日
国外反无人机系统与技术动态
专知会员服务
3+阅读 · 4月14日
相关资讯
特征方程的物理意义
算法与数学之美
7+阅读 · 2019年5月13日
百面机器学习!算法工程师面试宝典!| 码书
程序人生
6+阅读 · 2019年3月2日
推荐系统中的矩阵分解技术
AINLP
9+阅读 · 2018年12月24日
博客 | MIT—线性代数(下)
AI研习社
6+阅读 · 2018年12月20日
博客 | MIT—线性代数(上)
AI研习社
10+阅读 · 2018年12月18日
机器学习(29)之奇异值分解SVD原理与应用详解
机器学习算法与Python学习
6+阅读 · 2017年11月30日
基于机器学习方法的POI品类推荐算法
全球人工智能
3+阅读 · 2017年11月22日
图解高等数学|线性代数
遇见数学
39+阅读 · 2017年10月18日
PCA的基本数学原理
算法与数学之美
11+阅读 · 2017年8月8日
Top
微信扫码咨询专知VIP会员