作者:CreateMoMo
编译:ronghuaiyang
今天是第二部分,给大家推导一下CRF的损失函数如何计算,思路很清楚。
在前一节中,我们知道CRF层可以从训练数据集中学习一些约束,以确保最终预测的实体标签序列是有效的。
约束条件可以是:
阅读本文之后,你将了解为什么CRF层可以学习这些约束。
在CRF层的损失函数中,我们有两种类型的分数。这两个分数是CRF层的关键概念。
第一个是emission分数。这些emission分数来自BiLSTM层。例如,如图2.1所示,标记为B-Person的w0的分数为1.5。
为了方便起见,我们将给每个标签一个索引号,如下表所示。
我们用
来表示emission分数。i是word的索引,
是label的索引。如图2.1所示,=1,即w1作为B-Organization的得分为0.1。
我们使用 来表示transition分数。例如,表示标签的transition, 得分为0.9。因此,我们有一个transition得分矩阵,它存储了所有标签之间的所有得分。
为了使transition评分矩阵更健壮,我们将添加另外两个标签,START和END。START是指一个句子的开头,而不是第一个单词。END表示句子的结尾。
下面是一个transition得分矩阵的例子,包括额外添加的START和END标签。
如上表所示,我们可以发现transition矩阵已经学习了一些有用的约束。
你可能想问一个关于矩阵的问题。在哪里或如何得到transition矩阵?
实际上,该矩阵是BiLSTM-CRF模型的一个参数。在训练模型之前,可以随机初始化矩阵中的所有transition分数。所有的随机分数将在你的训练过程中自动更新。换句话说,CRF层可以自己学习这些约束。我们不需要手动构建矩阵。随着训练迭代次数的增加,分数会逐渐趋于合理。
CRF损失函数由真实路径得分和所有可能路径的总得分组成。在所有可能的路径中,真实路径的得分应该是最高的。
例如,如果我们的数据集中有如下表所示的这些标签:
我们还是有一个5个单词的句子。可能的路径是:
假设每条可能的路径都有一个分数 ,并且总共有N条可能的路径,所有路径的总分数是。(在第2.4节中,我们将解释如何计算 ,你也可以把它当作这条路径的分数。)
如果我们说第10条路径是真正的路径,换句话说,第10条路径是我们的训练数据集提供的黄金标准标签。在所有可能的路径中,得分 应该是百分比最大的。
在训练过程中,我们的BiLSTM-CRF模型的参数值将会一次又一次的更新,以保持增加真实路径的分数百分比。
现在的问题是:1)如何定义一个路径的分数?2)如何计算所有可能路径的总分?3)当我们计算总分时,我们需要列出所有可能的路径吗?(这个问题的答案是否定的。)
在下面的小节中,我们将看到如何解决这些问题。
在2.3节中,我们假设每条可能的路径都有一个得分 ,并且有N条可能的路径,所有路径的总得分为。
显然,在所有可能的路径中,一定有一条是真实路径。对于这个例子来说,第1.2节中句子的实际路径是**“START B-Person I-Person O B-Organization O END”**。其他的是不正确的,如“START B-Person B-Organization O I-Person I-Person B-Person”。 是第i条路径的得分。
在训练过程中,CRF损失函数只需要两个分数:真实路径的分数和所有可能路径的总分数。所有可能路径的分数中,真实路径分数所占的比例会逐渐增加。
计算实际路径分数 非常简单。
这里我们主要关注的是 的计算。
选取真实路径,“START B-Person I-Person O B-Organization O END”,我们以前用过,例如:
我们有一个5个单词的句子,w1,w2,w3,w4, w4,w5
我们增加了两个额外的单词来表示一个句子的开始和结束,w0,w6
由两部分组成:
Emission得分:
Transition得分:
综上所述,现在我们可以计算出 以及路径得分 。
下一步是如何计算所有可能路径的总分?
如何逐步计算一个toy例子一个句子的所有可能的路径的总分。
在上一节中,我们学习了如何计算一个路径(即 )的标签路径得分。到目前为止,我们还有一个需要解决的问题,就是如何得到所有路径的总分()。
衡量总分最简单的方法是:列举所有可能的路径并将它们的分数相加。是的,你可以用这种方法计算总分。然而,这是非常低效的。训练的时间将是难以忍受的。
在探索以下内容之前,我建议你先准备一张白纸和一支笔,并按照示例中列出的步骤进行操作。我相信这将有助于你更好地理解算法的细节。此外,你应该知道如何用你喜欢的编程语言实现它。
步骤1: 回想一下CRF损失函数
在section 2.3中,我们将CRF损失函数定义为:
现在我们把loss函数变成log loss函数:
因为当我们训练一个模型时,通常我们的目标是最小化我们的损失函数,我们加上一个负号:
在上一节中,我们已经知道如何计算实际路径得分,现在我们需要找到一个有效的解决方案来计算 。
步骤2: 回忆一下Emission和Transition得分
为了简化,我们假设我们从这个句子中训练我们的模型,它的长度只有3:
此外,在我们的数据集中,我们有两个标签:
我们还有Bi-LSTM层输出的Emission分数:
表示
被标记为
的得分。
此外,Transition分数来自CRF层:

是从标签i到标签j的transition得分。
步骤3: 开始战斗(准备好纸笔)
记住:我们的目标是:
这个过程就是分数的累加。其思想与动态规划相似(如果你不知道什么是动态编程,也可以继续阅读本文)。我将逐步解释这个例子。但我强烈建议你学习动态规划算法。简而言之,计算w0的所有可能路径的总分。然后,我们用总分来计算w0→w1。最后,我们使用最新的总分来计算w0→w1→w2。我们需要的是最后的总分。
在接下来的步骤中,你将看到两个变量:obs和previous。previous存储前面步骤的最终结果。obs表示当前单词的信息。
:
如果我们的句子只有一个单词 ,我们就没有前面步骤的结果,因此previous是None。另外,我们只能观察到第一个词 。 和 是上述的Emission分数。
你可能会想, 的所有可能路径的总分是多少?答案很简单:
你可能想知道,为什么我们需要把previous和obs扩展成矩阵。因为矩阵可以提高计算的效率。在下面的过程中,你将很快看到这一点。
然后:
为下一个迭代修改previous的值:
实际上,第二次迭代已经完成。如果有人想知道如何计算所有可能路径的总分(label1→label1, label1→label2, label2→label1, label2→label2),从w0到w1,可以做如下计算。
我们使用新的previous中的元素:
你发现了吗?这正是我们的目标:
在这个等式中,我们可以看到:
:
如果你读到这里了,你已经快要读完了,实际上,在这个迭代里,我们做的事情是和上个迭代一样的。
然后:
为下一个迭代计算 previous的值:
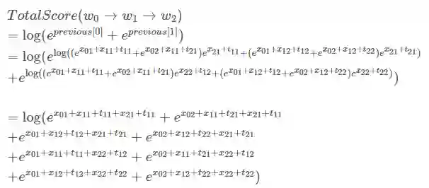
就像下一个迭代描述的一样,我们使用新的previous中的元素来计算total score:
恭喜!
我们达到了目标, ,我们的toy句子有三个单词,label set有两个label,所以一共应该有8种可能的label path。
在你享用一杯咖啡或一块甜蛋糕休息之前,请允许我说几句话。虽然你发现这个过程相当复杂,但是实现这个算法要容易得多。使用计算机的优点之一是可以完成一些重复性的工作。现在你可以自己实现CRF损失函数,并开始训练自己的模型。
英文原文:https://createmomo.github.io/2017/09/23/CRF_Layer_on_the_Top_of_BiLSTM_2