论文浅尝 | 知识图谱的单样本关系学习

2018 年 11 月 15 日 开放知识图谱

链接:http://cn.arxiv.org/pdf/1808.09040


动机

如今的知识图谱规模很大但是完成度不高,long-tail关系在知识图谱中很常见,之前致力于完善知识图谱的方法对每个关系都需要大量的训练样本(三元组),而新加入的关系其样本数量通常不是很多。为解决这个问题,本文提出了one-shot场景下的关系学习模型,该模型通过学习实体的embedding和相应的局部图结构来获得一个匹配度量函数,最终推导出新的三元组。


亮点

本文提出的模型有以下亮点:

1)只依赖于实体的embedding和局部图结构(之前的方法依赖于关系的良好表示);

2)一旦训练完成便可以预测任何关系(之前的方法需要微调来适应新的关系)


概念

本文主要针对(h,r,?)类型的推测,即从候选集合中选出最合适的t来构造新的三元组(h,r,t),主要符号含义如下:

 

       G{(h,r,t)}:即原始KG,三元组集合

       :对应于G中的一个关系(任务),每个 T_r 中所有三元组的r相同

       :任务集合

       :只含有一个三元组(h_0,r,t_0)

       C_(h_i,r) 为候选t集合

       G':G的子集,作为背景知识


模型

本文的模型由两部分组成:

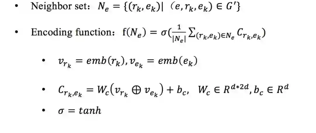
(1)   Neighbor Encoder

该模块利用局部图结构对(h,t)实体对进行编码,首先对任意h/t构建其one-hop Neighbor set N_e,再利用Encoding function f(N_e)编码,最后将 h t 的编码连接起来便得到(h,t)实体对的表示,f(N_e )形式如下:

  

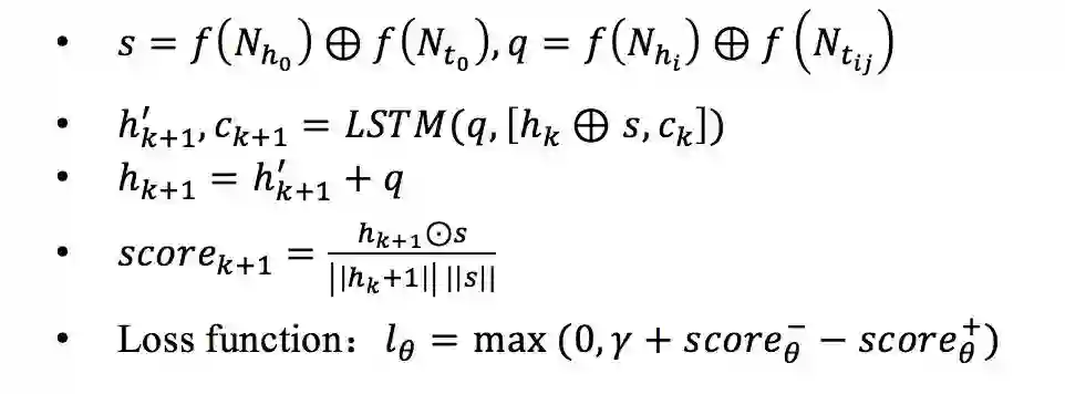
(2)   Matching processor

对于候选集 C_(h_i,r) 中的每一个 t_(i,j),利用LSTM计算 (h_i,t_(i,j)) 和 (h_0,t_0) 的相似度,相似度最高的 t_(i,j) 即为 (h_i,r) 对应的t,迭代过程如下:

 

实验                                                                         

数据集

本文的两个数据集NELL-OneWiki-One是作者分别基于NELLWikidata构建(选取其中三元组数量在50~500之间的关系)。

实验结果

作者将本文提出的模型(GMatching)与之前基于embedding的模型在NELL-OneWiki-One两个数据集上进行了比较,结果显示该模型各项指标均优于之前的模型。


总结                                                  

本文提出的模型利用实体的局部图结构以及学习度量来匹配实体对,一经训练可以直接适用于预测任何关系,并在one-shot场景下表现出优越性能。

 

论文笔记整理:杨帆,浙江大学硕士,研究方向为知识图谱、自然语言处理。

 



OpenKG.CN


中文开放知识图谱(简称OpenKG.CN)旨在促进中文知识图谱数据的开放与互联,促进知识图谱和语义技术的普及和广泛应用。

点击阅读原文,进入 OpenKG 博客。

登录查看更多
0

相关内容

三元组是指形如((x,y),z)的集合(这就是说,三元组是这样的偶,其第一个射影亦是一个偶),常简记为(x,y,z)。三元组是计算机专业的一门公共基础课程——数据结构里的概念。主要是用来存储稀疏矩阵的一种压缩方式,也叫三元组表。假设以顺序存储结构来表示三元组表(triple table),则得到稀疏矩阵的一种压缩存储方式,即三元组顺序表,简称三元组表。
【CVPR2020】用多样性最大化克服单样本NAS中的多模型遗忘
【斯坦福大学-论文】实体上下文关系路径的知识图谱补全
【AAAI2020知识图谱论文概述】Knowledge Graphs @ AAAI 2020
专知会员服务
134+阅读 · 2020年2月13日
17篇知识图谱Knowledge Graphs论文 @AAAI2020
专知会员服务
173+阅读 · 2020年2月13日
新加坡南洋理工最新37页《零样本学习综述》论文
专知会员服务
114+阅读 · 2019年10月20日
知识图谱本体结构构建论文合集
专知会员服务
110+阅读 · 2019年10月9日
论文浅尝 | 利用问题生成提升知识图谱问答
开放知识图谱
20+阅读 · 2019年11月5日
论文浅尝 | 基于知识图谱中图卷积神经网络的推荐系统
开放知识图谱
67+阅读 · 2019年8月27日
论文浅尝 | 从知识图谱流中学习时序规则
开放知识图谱
7+阅读 · 2019年6月28日
论文浅尝 | 一种用于多关系问答的可解释推理网络
开放知识图谱
18+阅读 · 2019年5月21日
论文浅尝 | 面向知识图谱补全的共享嵌入神经网络模型
开放知识图谱
31+阅读 · 2019年4月7日
论文浅尝 | 基于局内去噪和迁移学习的关系抽取
开放知识图谱
16+阅读 · 2018年12月2日
论文浅尝 | 用可微的逻辑规则学习完成知识库推理
开放知识图谱
14+阅读 · 2018年7月5日
论文浅尝 | 用图网络做小样本学习
开放知识图谱
66+阅读 · 2018年6月30日
论文浅尝 | 基于多原型mention向量的文本-实体联合学习
Arxiv
15+阅读 · 2019年11月26日
Arxiv
20+阅读 · 2019年9月7日
VIP会员
最新内容
人工智能在战场行动中的演进及伊朗案例
专知会员服务
2+阅读 · 今天13:08
美AI公司Anthropic推出网络安全模型“Mythos”
专知会员服务
2+阅读 · 今天12:58
【博士论文】面向城市环境的可解释计算机视觉
专知会员服务
0+阅读 · 今天12:57
大语言模型的自改进机制:技术综述与未来展望
专知会员服务
0+阅读 · 今天12:50
《第四代军事特种作战部队选拔与评估》
专知会员服务
1+阅读 · 今天6:23
相关VIP内容
相关资讯
论文浅尝 | 利用问题生成提升知识图谱问答
开放知识图谱
20+阅读 · 2019年11月5日
论文浅尝 | 基于知识图谱中图卷积神经网络的推荐系统
开放知识图谱
67+阅读 · 2019年8月27日
论文浅尝 | 从知识图谱流中学习时序规则
开放知识图谱
7+阅读 · 2019年6月28日
论文浅尝 | 一种用于多关系问答的可解释推理网络
开放知识图谱
18+阅读 · 2019年5月21日
论文浅尝 | 面向知识图谱补全的共享嵌入神经网络模型
开放知识图谱
31+阅读 · 2019年4月7日
论文浅尝 | 基于局内去噪和迁移学习的关系抽取
开放知识图谱
16+阅读 · 2018年12月2日
论文浅尝 | 用可微的逻辑规则学习完成知识库推理
开放知识图谱
14+阅读 · 2018年7月5日
论文浅尝 | 用图网络做小样本学习
开放知识图谱
66+阅读 · 2018年6月30日
论文浅尝 | 基于多原型mention向量的文本-实体联合学习
Top
微信扫码咨询专知VIP会员