超越现有指标57.3%,邢波教授、胡志挺教授团队提出统一NLG评价框架

2022 年 1 月 28 日 机器之心
机器之心专栏
作者:邓茗楷

长期以来,评价机器生成的文本比较困难。近日,CMU邢波(Eric Xing)教授和UCSD胡志挺(Zhiting Hu)教授的团队提出用一种运算符,统一各类生成任务的评价方式,为未来各种新任务、新要求提供了更加统一的指导。实验表明,基于统一框架设计的评价指标,在多个任务上超过了现有指标与人工评分的相似度,现在通过PyPI和GitHub可以直接调用。


自然语言生成(NLG)包括机器翻译、摘要生成、机器对话等自然语言处理 (NLP)任务。这些任务虽然都要求生成通顺的文本,但是最终的表达目标往往有很大的区别。比如说, 翻译任务 需要完整、精确地表达原文的含义; 摘要生成 需要简洁、准确地体现原文最重要的信息; 对话系统 则需要与用户进行生动、有用的对答。

过去几年间,研究人员在这些任务的建模方面,取得了很大的进步。然而,评价语言生成的结果,却依旧比较困难。人工评价最准确,但是非常昂贵耗时。自动评价则反过来,规模化比较容易,但在如何评价方面比较模糊。

传统上的评价方法是比较模型生成的文本与人写的参考文本,但近年的研究表明,随着模型的进步,这样的方法已经越来越难以区分文本的好坏。事实上,在AAAI 2021会议上的DSTC9对话系统比赛中, 人工评分已经不再考虑参考文本 ,而是依靠评分员综合对话历史、知识情景和模型回答,作出评判。

同时,实际应用中的部署,也要求对生成模型作出多维度的评价,而这些是传统的单一指标做不到的。比如,2021年百度主办的「千言:面向事实一致性的生成评测比赛」中,除了传统的信息选择指标外,还考察了事实性指标,并为之设计了独立的评价流程。之前提到的DSTC9比赛的各个分赛也分别考察了3-8个不同的维度指标。

为了解决如上所述的新需求,相关工作提出了各种各样的评价方法和新指标,但是这些方法往往是针对具体的任务和目标而设计。 对于日新月异的各类任务,要评价什么?如何评价?目前还缺乏系统的指导

在这个方向上, CMU(卡耐基梅隆大学)、Petuum Inc.、MBZUAI(穆罕默德·本·扎耶德人工智能大学)和UCSD(加州大学圣迭戈分校)的研究团队提出了一个自然语言生成评价的理论框架,为未来各种新任务和新要求,设计评估流程时,都提供了更加统一的指导

首先,研究人员根据信息从输入到输出的变化方式,把语言生成任务分为三大类,每类任务对输出提出不同的评价需求。通过给新任务归类,就可以对「评价什么」有所启发。

其次,他们用一种称为「信息对齐」的运算符统一了所有任务类别的评价方式,从信息对齐的角度出发设计评价指标,可以解决大量的「如何评价」问题。

论文中基于信息对齐,统一设计了一系列评价指标,在评价多种任务(摘要生成、风格转换和知识对话)中与人类评分的相似度最高超过现有指标57.30%。

论文中设计的评价指标已经上传到Python库,用pip install就可以直接安装。研究人员在GitHub上也公开了代码,并提供了数种训练好的信息对齐模型,欢迎各位同学在研究中调用。


  • 论文链接:https://arxiv.org/pdf/2109.06379.pdf

  • 代码和API链接:https://github.com/tanyuqian/ctc-gen-eval

  • Python 安装:pip install ctc_score


评价什么:语言生成任务的分类

根据任务输入(X)和输出(Y)文本中,信息量的关系, 研究者认为可以把语言生成任务分为三大类:压缩、转换和创建,分别对应输入大于、等于和小于输出 。每一类任务的目标都有区别,也对输出文本提出了各自的要求。 我们可以通过对新任务对分类 ,对「评价什么」有所启发。

压缩类任务(Compression)


  • 目标:把输入信息中重要的部分,呈现在输出中

  • 举例:摘要生成(Summarization)、图像描述(Image Captioning)、结构文本生成(Data-to-Text)和问题生成(Question Generation)

  • 评价重点:1)输出信息要完全来自输入;2)输出信息应该是输入中的重要信息


转换类任务(Transduction)


  • 目标:把输入信息中的某一方面转换,其他保持不变

  • 举例:机器翻译(Translation)、文本复述(Paraphrasing)、文本风格迁移(Style Transfer)和文本简化(Language Simplification)

  • 评价重点:输出要尽量完整地保留输入的信息


创建类任务(Creation)


  • 目标:基于输入和外部信息,输出新的信息

  • 举例:机器对话(Dialog)、建议生成(Advice Generation)、故事生成(Story Generation)和诗歌生成(Poetry Generation)

  • 评价重点:1)输出要充分回应输入;2)输出要正确地使用外部信息


这里可以看到,评估的重点取决于任务中输入输出的信息量变化,因此,如果能够测量输入输出信息重合度,就可以评估所有类别的生成任务。

如何评价:信息对齐

为了测量如上所述的重合度, 研究者引入了「信息对齐」这个运算符,这样就统一了所有生成任务的评价方式

信息对齐是说,对于文字A和任何数据B,可以对于A的每个词都算出一个置信度,这个词的信息有没有在B中反映出来。具体的数学形式为如下所示的向量:


在实际中,这个数据B不一定要是文字,也可以是任何模态的数据,只要有一个模型(Alignment Model)能算出这个对齐的置信度。A、B、模型和对齐向量的关系如下图所示:


下面,研究者展示了如何统一地用信息对齐这个算符,来定义各种语言生成任务的评价指标。

用信息对齐统一设计评价指标

压缩类任务

对于压缩类任务,研究者以摘要生成作为一个例子:


转换类任务

对于转换类任务,研究者以文本风格迁移为例:


创建类任务

对于创建类任务,研究者以知识对话为例:


现在已经用信息对齐运算符定义了这么多评估指标,下一步来看这个运算符是怎样实现的。

信息对齐的三种实现方法

研究者把信息对齐当作一个预测问题建模,提出了三种基于预训练模型(Pretrained Language Models)的实现方法,普遍采用自监督学习 。模型准确度可以通过与人工标注比较来评价。

词向量召回(Embedding Matching)


判别模型(Discriminative Model)


回归模型(Aggregated Regression)


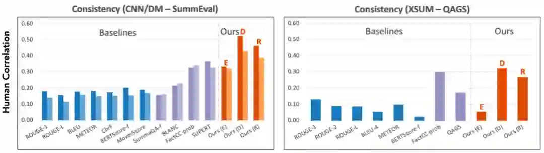
实验结果

实验结果表明,研究者的统一设计的评价指标,与人工评分的相似度,超过之前的针对任务特别设计的指标,最高超过现有指标57.30%。另外,研究者发现,对齐模型预测准确度越好,他们的指标就越接近人的评价。

超过现有指标最多57.30%





对齐模型准确度与人工评分相似度有直接关系

研究者的对齐模型普遍使用自监督学习,但使用人工标注训练可以有效提升准确度和以此实现的评价指标。与人工评分的相似度如下图所示:


这说明了:只要能够改善对齐预测模型,就能改善一大批评价指标。我们可以把对齐预测作为一个单独的任务,这个任务的进步直接提升评价语言生成的准确度。

这项工作开启了可组合(Composable)的文本评价流程。像软件工程一样,研究者表示可以把这个系统分为若干模块,这些模块可以独立地改进、规模化、和诊断,未来期待有更多的探索。

封面来源:https://soa.cmu.edu/



© THE END 

转载请联系本公众号获得授权

投稿或寻求报道:[email protected]

登录查看更多
1

相关内容

AAAI 2022 | 基于预训练-微调框架的图像差异描述任务
专知会员服务
18+阅读 · 2022年2月26日
面向任务型的对话系统研究进展
专知会员服务
59+阅读 · 2021年11月17日
知识增强的文本生成研究进展
专知会员服务
100+阅读 · 2021年3月6日
【WWW2021】用优化框架解释和统一图神经网络
专知会员服务
45+阅读 · 2021年2月1日
【ACL2020-Allen AI】预训练语言模型中的无监督域聚类
专知会员服务
24+阅读 · 2020年4月7日
【课程】概率图模型,卡内基梅隆大学邢波
专知会员服务
70+阅读 · 2019年11月4日
【学界】 李飞飞学生最新论文:利用场景图生成图像
GAN生成式对抗网络
15+阅读 · 2018年4月9日
国家自然科学基金
6+阅读 · 2014年12月31日
国家自然科学基金
0+阅读 · 2013年12月31日
国家自然科学基金
0+阅读 · 2013年12月31日
国家自然科学基金
3+阅读 · 2012年12月31日
国家自然科学基金
0+阅读 · 2012年12月31日
国家自然科学基金
0+阅读 · 2012年12月31日
国家自然科学基金
0+阅读 · 2012年12月31日
国家自然科学基金
0+阅读 · 2011年12月31日
国家自然科学基金
0+阅读 · 2008年12月31日
国家自然科学基金
3+阅读 · 2008年12月31日
Arxiv
0+阅读 · 2022年4月19日
VIP会员
最新内容
BES:让语言模型通过双向进化搜索自我改进
专知会员服务
0+阅读 · 52分钟前
以色列-美国-伊朗战争中的无人机:关键要点
专知会员服务
3+阅读 · 今天14:04
《Palantir任务保障性软件安全标准(MA-S2)》
专知会员服务
6+阅读 · 今天13:49
基于声学的无人机检测技术综述
专知会员服务
5+阅读 · 今天13:37
《当代混合战争分析框架:俄乌战争经验教训》
专知会员服务
5+阅读 · 今天13:11
战略前沿人工智能的再思考(中文)
专知会员服务
7+阅读 · 5月29日
《量化地基防空系统间接效应的博弈论方法》
专知会员服务
5+阅读 · 5月29日
相关基金
国家自然科学基金
6+阅读 · 2014年12月31日
国家自然科学基金
0+阅读 · 2013年12月31日
国家自然科学基金
0+阅读 · 2013年12月31日
国家自然科学基金
3+阅读 · 2012年12月31日
国家自然科学基金
0+阅读 · 2012年12月31日
国家自然科学基金
0+阅读 · 2012年12月31日
国家自然科学基金
0+阅读 · 2012年12月31日
国家自然科学基金
0+阅读 · 2011年12月31日
国家自然科学基金
0+阅读 · 2008年12月31日
国家自然科学基金
3+阅读 · 2008年12月31日
Top
微信扫码咨询专知VIP会员