手把手教你训练 RNN

2018 年 5 月 29 日 AI研习社

本文为雷锋字幕组编译的技术博客,原标题 Step-by-step walkthrough of RNN Training - Part I,作者为 Eniola Alese。

翻译 | 赵朋飞  程思婕    整理 |  凡江

  RNN 前向传播逐步演练

单个 RNN Cell 中的前向传播算法

在之前的文章中,我们介绍了 RNN 的基本结构并将其按时间序列展开成 Cells 循环链,称为 RNN cells。下面,我们将揭示单个 RNN Cell 的内部结构和前向传播计算过程。

将其过程分解成多个步骤:

第一步:cell 接受两个输入:x⟨t⟩ 和 a⟨t-1⟩。


第二步:接下来,计算矩阵乘积 ⨂,W_xh 乘 x⟨t⟩,W_ah 乘 a⟨t-1⟩。然后,通过将以上两项乘积相加,并加上偏置 b_h,计算得出 h⟨t⟩。

第三步:紧接着上面的步骤,将 h(t) 传给激活函数(比如 tanh 或 relu)计算 a(t)。本例中激活函数使用 tanh 函数。

第四步: cell 输出 a⟨t⟩ 并将其传给下一 cell 做进一步计算。

第五步:然后,计算 o⟨t⟩; 这是所有输出可能取值的非标准化对数概率。方法是计算矩阵乘积⨂,W_ao 乘 a⟨t⟩,并与 b_o 相加。

第六步:最后,通过将 o⟨t⟩ 传输给激活函数(例如 sigmoid 或 softmax),得到了一个实际输出的标准化概率向量 ŷ⟨t⟩。输出的激活函数的选择通常取决于期望的输出类型(sigmoid 用于二元输出,softmax 用于多类别输出)。

前向传播算法

前向传播算法在整个 RNN 网络中运行以上步骤,而不仅仅在单个 RNN cell 中运行。从隐藏层状态 a⟨0⟩的初始化开始,在所有时间序列 t = 1 to T 中共享权值和偏置向量 W_xh,W_ah, W_ao, b_h, b_o,在每个时间序列中重复上面的每一步。

例如,如果我们拥有一个 8 个序列的输入 x⟨1⟩,x⟨2⟩,......x⟨8⟩,这个网络的前向传播计算过程是步骤 1-6 在循环中重复 8 次。

  RNN 的反向传播是为了计算出关于损失函数的梯度值

单个 RNN 单元的反向传播

RNN 中反向传播的目的是计算出最终的损失值 L 分别对权值矩阵(W_xh,W_ah,W_ao)和偏置向量(b_h,b_o)的偏导数值。

推导出所需的导数值非常简单,我们只需要利用链式法则(https://en.wikipedia.org/wiki/Chain_rule)就能计算出它们。

第一步:为了计算代价,需要先定义损失函数。一般根据具体手中的任务来选择该损失函数。在这个例子里,对于多分类输出问题,我们采用交叉熵损失函数 L⟨t⟩,其具体计算过程如下:

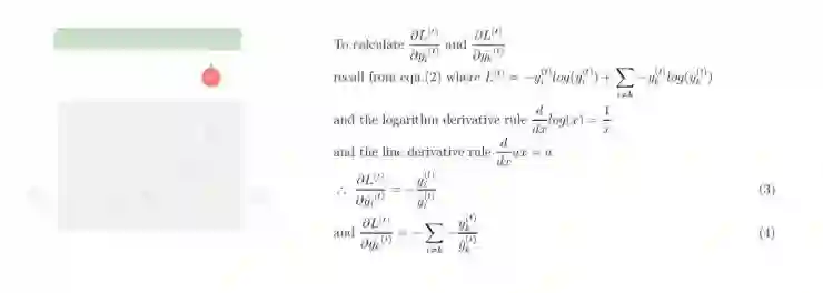
第二步:接下来我们开始往后计算损失函数 L⟨t⟩ 对预测输出值的激活值 ŷ⟨t⟩ 的偏导数值。因为在前向传播过程中 softmax 函数以多分类的输出值作为输入,因此下面的偏导数值的计算分为两种情况:分类 i 时和分类 k 时:

第三步:接着利用分类 i 时和分类 k 时的偏导数值,可以计算出损失函数 L⟨t⟩ 对预测输出值 o⟨t⟩ 的偏导数值:

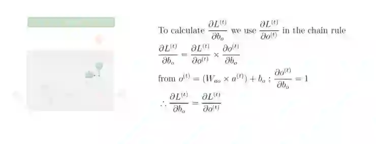
第四步:利用偏导数值及链式法则,计算出损失函数 L⟨t⟩ 对输出过程中的偏置向量 b_o 的偏导数值:


第五步:利用偏导数值及链式法则,计算出损失函数 L⟨t⟩ 对隐层至输出层中的权值矩阵 W_ao 的偏导数值:

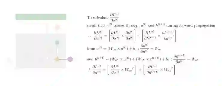
第六步: 利用偏导数值及链式法则,计算出损失函数 L⟨t⟩ 对隐状态的激活值 a⟨t⟩ 的偏导数值:

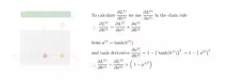
第七步: 利用偏导数值及链式法则,计算出损失函数 L⟨t⟩ 对隐状态 h⟨t⟩ 的偏导数值:

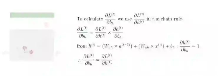
第八步: 利用偏导数值及链式法则,计算出损失函数 L⟨t⟩ 对隐状态的偏置向量 b_h 的偏导数值:

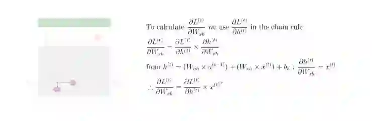
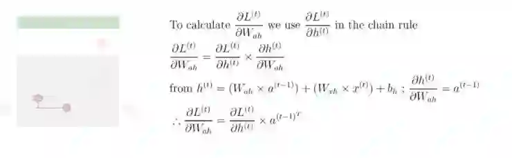
第九步:利用偏导数值及链式法则,计算出损失函数 L⟨t⟩ 对输入层至隐层中的偏置矩阵 W_xh 的偏导数值:

第十步:利用偏导数值及链式法则,计算出损失函数 L⟨t⟩ 对输入层至隐层中的偏置矩阵 W_ah 的偏导数值:

随时间反向传播(BPTT)

就像前文中提到的前向传播过程一样,将循环网络展开,BPTT 将沿此一直运行着上述步骤。

主要的区别在于我们必须将每个时间步 t 的偏导数值累加起来,从而更新权值和偏置,这是因为这些参数在前向传播的过程中是被各个时间步所共享的。

  总结

在本文的第一部分和第二部分中,我们了解了循环神经网络训练过程中所涉及到的前向传播和反向传播。接下来,我们将着眼于 RNN 中所存在的梯度消失问题,并讨论 LSTM 和 GRU 网络的进展。

博客原址:

Part I

https://medium.com/learn-love-ai/step-by-step-walkthrough-of-rnn-training-part-i-7aee5672dea3

Part II

https://medium.com/learn-love-ai/step-by-step-walkthrough-of-rnn-training-part-ii-7141084d274b

添加雷锋字幕组微信号(leiphonefansub)为好友

备注「我要加入」,To be an  AI  Volunteer ! 雷锋网(公众号:雷锋网)雷锋网(公众号:雷锋网)

从Python入门-如何成为AI工程师

BAT资深算法工程师独家研发课程

最贴近生活与工作的好玩实操项目

班级管理助学搭配专业的助教答疑

学以致用拿offer,学完即推荐就业


新人福利


关注 AI 研习社(okweiwu),回复  1  领取

【超过 1000G 神经网络 / AI / 大数据资料】


Pytorch 中如何处理 RNN 输入变长序列 padding

登录查看更多
2

相关内容

前向传播(是指按照从输入层到输出层的顺序计算和存储神经网络的中间变量(包括输出),逐步研究具有一个隐藏层的神经网络的机制。
【CVPR 2020-商汤】8比特数值也能训练卷积神经网络模型
专知会员服务
26+阅读 · 2020年5月7日
一份循环神经网络RNNs简明教程,37页ppt
专知会员服务
173+阅读 · 2020年5月6日
Sklearn 与 TensorFlow 机器学习实用指南,385页pdf
专知会员服务
131+阅读 · 2020年3月15日
专知会员服务
45+阅读 · 2020年3月6日
Transformer文本分类代码
专知会员服务
118+阅读 · 2020年2月3日
【MIT深度学习课程】深度序列建模,Deep Sequence Modeling
专知会员服务
78+阅读 · 2020年2月3日
干货 | 循环神经网络(RNN)和LSTM初学者指南
THU数据派
15+阅读 · 2019年1月25日
误差反向传播——RNN
统计学习与视觉计算组
18+阅读 · 2018年9月6日
CNN 反向传播算法推导
统计学习与视觉计算组
30+阅读 · 2017年12月29日
神经网络bp算法推导
统计学习与视觉计算组
11+阅读 · 2017年11月17日
10分钟搞懂Tensorflow 逻辑回归实现手写识别
全球人工智能
5+阅读 · 2017年10月19日
手把手教TensorFlow(附代码)
深度学习世界
15+阅读 · 2017年10月17日
RNN | RNN实践指南(3)
KingsGarden
7+阅读 · 2017年6月5日
RNN | RNN实践指南(1)
KingsGarden
21+阅读 · 2017年4月4日
Do RNN and LSTM have Long Memory?
Arxiv
19+阅读 · 2020年6月10日
Arxiv
8+阅读 · 2018年11月21日
Symbolic Priors for RNN-based Semantic Parsing
Arxiv
3+阅读 · 2018年9月20日
Arxiv
3+阅读 · 2018年5月11日
Arxiv
4+阅读 · 2017年7月25日
VIP会员
最新内容
人工智能在战场行动中的演进及伊朗案例
专知会员服务
2+阅读 · 今天13:08
美AI公司Anthropic推出网络安全模型“Mythos”
专知会员服务
2+阅读 · 今天12:58
【博士论文】面向城市环境的可解释计算机视觉
专知会员服务
0+阅读 · 今天12:57
大语言模型的自改进机制:技术综述与未来展望
专知会员服务
0+阅读 · 今天12:50
《第四代军事特种作战部队选拔与评估》
专知会员服务
1+阅读 · 今天6:23
相关VIP内容
【CVPR 2020-商汤】8比特数值也能训练卷积神经网络模型
专知会员服务
26+阅读 · 2020年5月7日
一份循环神经网络RNNs简明教程,37页ppt
专知会员服务
173+阅读 · 2020年5月6日
Sklearn 与 TensorFlow 机器学习实用指南,385页pdf
专知会员服务
131+阅读 · 2020年3月15日
专知会员服务
45+阅读 · 2020年3月6日
Transformer文本分类代码
专知会员服务
118+阅读 · 2020年2月3日
【MIT深度学习课程】深度序列建模,Deep Sequence Modeling
专知会员服务
78+阅读 · 2020年2月3日
相关资讯
干货 | 循环神经网络(RNN)和LSTM初学者指南
THU数据派
15+阅读 · 2019年1月25日
误差反向传播——RNN
统计学习与视觉计算组
18+阅读 · 2018年9月6日
CNN 反向传播算法推导
统计学习与视觉计算组
30+阅读 · 2017年12月29日
神经网络bp算法推导
统计学习与视觉计算组
11+阅读 · 2017年11月17日
10分钟搞懂Tensorflow 逻辑回归实现手写识别
全球人工智能
5+阅读 · 2017年10月19日
手把手教TensorFlow(附代码)
深度学习世界
15+阅读 · 2017年10月17日
RNN | RNN实践指南(3)
KingsGarden
7+阅读 · 2017年6月5日
RNN | RNN实践指南(1)
KingsGarden
21+阅读 · 2017年4月4日
相关论文
Do RNN and LSTM have Long Memory?
Arxiv
19+阅读 · 2020年6月10日
Arxiv
8+阅读 · 2018年11月21日
Symbolic Priors for RNN-based Semantic Parsing
Arxiv
3+阅读 · 2018年9月20日
Arxiv
3+阅读 · 2018年5月11日
Arxiv
4+阅读 · 2017年7月25日
Top
微信扫码咨询专知VIP会员