用机器学习来预测股价(代码+文档)——2018年iNTUtion决赛大作!

2018 年 11 月 20 日 量化投资与机器学习


本期作者:Roman Moser

本期翻译:deigozhao


未经授权,严禁转载


机器学习和深度学习在时间序列数据的预测上具有很高的准确率,在金融机构中获得了广泛的应用。有大量的研究来进一步提升金融数据相关模型的准确率,本文要介绍的AlphaAI项目就是其中之一,AlphaAI使用栈式神经网络的架构(stacked neural network architecture )来预测多只股票的价格。


工作流程


AlphaAI的关键流程包括以下5步:


1、获取股票价格数据

2、用小波变换(Wavelet Transform)去除数据中的噪声

3、用栈式自编码器(stacked autoencoder)来提取特征

4、用这些特征来训练LSTM模型

5、测试模型的准确率


下面详细介绍以上5个步骤的具体细节。


数据获取


获取股票价格比较简单,直接用pandas_datareader这个API从雅虎财经获取数据即可。代码是:

stock_data = pdr.get_data_yahoo(self.ticker, self.start, self.end)


数据去噪和小波变换


由于股票市场动态的复杂性,股票的价格数据往往充满噪音,可能会影响机器学习的效果。因此很有必要把噪音从股票价格的趋势和结构中剔除出去。


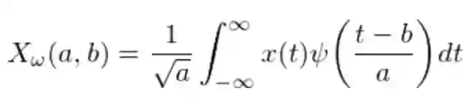
去噪的方法可以是傅里叶变换,也可以是本文中使用的小波变换。

小波变换的公式如上,具体的操作是: 


a. 做小波变换

b. 把落在一个标准差之外的系数剔除掉

c. 只用新的系数,生成新的去噪后的股价数据


下图是一个用小波变换来处理时间序列数据的效果图:

第1个图形是原始数据,经过小波变换后得到第2和第3个图形;可以看出后两个图形中毛刺的噪声数据已经被有效剔除。


Pywt是一个很好用的python库,用这个库来处理上述小波变换的python代码如下:

x = np.array(self.stock_data.iloc[i: i + 11, j])                
(ca, cd) = pywt.dwt(x, "haar")                
cat = pywt.threshold(ca, np.std(ca), mode="soft")                
cdt = pywt.threshold(cd, np.std(cd), mode="soft")                
tx = pywt.idwt(cat, cdt, "haar")


提取特征和栈式自编码器


通常在机器学习中,往往需要利用领域知识来构建特征提取的方法,也可以使用受限玻尔兹曼机(restricted Boltzmann machines )来自动提取特征。本文采用的是栈式自编码器(stacked autoencoders),主要是考虑到栈式自编码器的可解释性更好。


栈式自编码器把数据先从高维压缩到低维、然后再扩展到高维,这个过程的压缩部分就是很有效的一种特征提取的方法。栈式自编码器的网络结构图如下:

输入数据可以被压缩到任意的维度(网络的一个节点可以看做一维特征),通过先压缩后扩展的方式,输入数据中有效的特征被提取了出来。另外,栈式自编码器的输入层和输出层是一样的,是一种无监督学习的算法,不需要特定的人工标注数据。


我们用keras来生产这样一个模型:

class AutoEncoder:
   def __init__(self, encoding_dim):
       self.encoding_dim = encoding_dim
   def build_train_model(self, input_shape, encoded1_shape, encoded2_shape, decoded1_shape, decoded2_shape):
       input_data = Input(shape=(1, input_shape))
       encoded1 = Dense(encoded1_shape, activation="relu", activity_regularizer=regularizers.l2(0))(input_data)
       encoded2 = Dense(encoded2_shape, activation="relu", activity_regularizer=regularizers.l2(0))(encoded1)
       encoded3 = Dense(self.encoding_dim, activation="relu", activity_regularizer=regularizers.l2(0))(encoded2)
       decoded1 = Dense(decoded1_shape, activation="relu", activity_regularizer=regularizers.l2(0))(encoded3)
       decoded2 = Dense(decoded2_shape, activation="relu", activity_regularizer=regularizers.l2(0))(decoded1)
       decoded = Dense(input_shape, activation="sigmoid", activity_regularizer=regularizers.l2(0))(decoded2)
       autoencoder = Model(inputs=input_data, outputs=decoded)
       encoder = Model(input_data, encoded3)
       # Now train the model using data we already preprocessed
       autoencoder.compile(loss="mean_squared_error", optimizer="adam")
       train = pd.read_csv("preprocessing/rbm_train.csv", index_col=0)
       ntrain = np.array(train)
       train_data = np.reshape(ntrain, (len(ntrain), 1, input_shape))
       # print(train_data)
       # autoencoder.summary()
       autoencoder.fit(train_data, train_data, epochs=1000)


LSTM模型


LSTM由于各种结构的cell和gate的存在,可以有效的捕捉相隔很远的两个node之间的关系,从而在时间序列的预测问题上效果非常好。让我们来详细讨论下细节:


1、优化方法(Optimizer)

一个好的优化方法,应该要具有更快的收敛速度、同时也要尽量避免陷入局部最优点从而无法收敛到全局最优值。本文使用的是Adam optimizer ,该方法兼具Adagrad和RMSprop的优点。


先来看最基础的SGD:

Adagrad则用的是动态的学习率,根据历史迭代的梯度来计算当前的学习率;基本思想是如果历史梯度比较小、则该特征需要用小的学习率(避免步子卖得太大),如果历史梯度比较大、则该特征可以用大的学习率(避免收敛的太慢)。 Adagrad的公式如下

其中G是历史该特征历史梯度的平方和。


RMSprop和Adagrad很像,但其在对历史梯度计算移动均值时,最近几轮的梯度影响会更大。其公式如下:

Adam不仅考虑了动态的学习率,而且还考虑了动态的梯度。其动态学习率的处理和RMSprop是类似的。Adam的公式如下:

其中学习率的调整方式是: 

而梯度的动态调整时:

总结一下Adam的三个特点:


1、动态调整学习率

2、有效的避免梯度消失

3、梯度和学习率的迭代时,都用了动量的方法


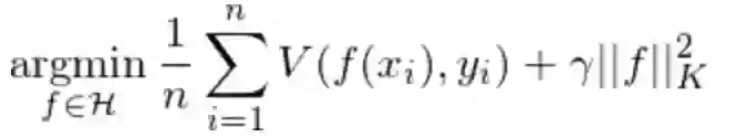
正则化


训练深度模型的另外一个需要注意的地方是正则化,避免让模型参数过大、避免让训练过程陷入过拟合状态。文本采用的是Tikhonov正则方法,加上正则化之后的优化目标变成了:

常用的L2正则是Tikhonov正则的一个特例(K=2)。


Dropout


Dropout也是一种避免过拟合的方法, 方式是在训练的过程中随机的把某些中间节点丢弃掉。这样会迫使网络中某一层的节点不过分依赖上一层节点中的,因而使得这个网络具有更好的鲁棒性。下图是加了Dropout层的效果,可以看到加了Dropout使得分类错误率明显下降。


模型实现


上面的所有步骤都可以用keras来实现,下面是部分代码(全部代码文末查看):

class NeuralNetwork:
   def __init__(self, input_shape, stock_or_return):
       self.input_shape = input_shape
       self.stock_or_return = stock_or_return
   def make_train_model(self):
       input_data = kl.Input(shape=(1, self.input_shape))
       lstm = kl.LSTM(5, input_shape=(1, self.input_shape), return_sequences=True, activity_regularizer=regularizers.l2(0.003),
                      recurrent_regularizer=regularizers.l2(0), dropout=0.2, recurrent_dropout=0.2)(input_data)
       perc = kl.Dense(5, activation="sigmoid", activity_regularizer=regularizers.l2(0.005))(lstm)
       lstm2 = kl.LSTM(2, activity_regularizer=regularizers.l2(0.01), recurrent_regularizer=regularizers.l2(0.001),
                       dropout=0.2, recurrent_dropout=0.2)(perc)
       out = kl.Dense(1, activation="sigmoid", activity_regularizer=regularizers.l2(0.001))(lstm2)
       model = Model(input_data, out)
       model.compile(optimizer="adam", loss="mean_squared_error", metrics=["mse"])
       # load data
       train = np.reshape(np.array(pd.read_csv("features/autoencoded_train_data.csv", index_col=0)),
                          (len(np.array(pd.read_csv("features/autoencoded_train_data.csv"))), 1, self.input_shape))
       train_y = np.array(pd.read_csv("features/autoencoded_train_y.csv", index_col=0))
       # train_stock = np.array(pd.read_csv("train_stock.csv"))
       # train model
       model.fit(train, train_y, epochs=2000)


实验结果


下面是几只公司股票的股价预测和实际值的对比情况,可以看出效果不错。


雪佛龙公司的MSE是2.11。

艾森克美孚公司的MSE是0.0945。


在线学习(online learning)


股价预测模型应该具有较好的online learning的能力,针对历史数据训练出来的模型训,应该在新的股价数据产生之后做出及时的更新。除了使用真实的股价数据来训练之外,还可以补充一些辅助数据,比如twitter中的推文和新闻中文章。推文数据和新闻文章中包含着大量和公司、股票走势相关的信息,针对这些信息可以做NLP分析(比如: 情感分析)。


获取全部Twitter推文的官方API是收费的,但幸运的是可以免费获取最近的10天数据。我们利用TextBlob 这个工具对这些推文数据做情感分析, 这部分数据对在线学习模型是非常有用的。


同样的,获取完整的新闻数据也是比较困难的,想从Bloomberg网站上爬取自2000年以来的所有文章几乎不可行。因此我们利用Aylien API 来获取数据,这个工具的爬虫功能很强大。我们只爬取了股票价格和金融新闻领域的数据,只保留了top150个站点的文章。所有的数据通过情感分析之后,按时间衰减算出平均值,送到在线学习的模型中去。


有了推文和新闻文章中情感分析数据,我们可以把这些数据加到神经网络的额外层中。不过在写作文本的时候,这部分模型的结果还没有准备完毕。


结论


神经网络是处理时间序列数据的非常有用的工具,再加上一些情感分析的数据就可以得到实际可用的模型。尽管目前的实验数据不错,后续我们还将进一步提升效果,希望最终可以变成一个可以完全自动化的模型。


推荐阅读


01、经过多年交易之后你应该学到的东西(深度分享)

02、监督学习标签在股市中的应用(代码+书籍)

03、全球投行顶尖机器学习团队全面分析

04、使用Tensorflow预测股票市场变动

05、使用LSTM预测股票市场基于Tensorflow

06、美丽的回测——教你定量计算过拟合概率

07、利用动态深度学习预测金融时间序列基于Python

08、Facebook开源神器Prophet预测时间序列基于Python

09、Facebook开源神器Prophet预测股市行情基于Python

10、2018第三季度最受欢迎的券商金工研报前50(附下载)

11、实战交易策略的精髓(公众号深度呈现)

12、Markowitz有效边界和投资组合优化基于Python(附代码)

13、使用LSTM模型预测股价基于Keras

14、量化金融导论1:资产收益的程式化介绍基于Python

15、预测股市崩盘基于统计机器学习与神经网络(Python+文档)


公众号官方QQ群


群里已经分享了60篇干货

没有按规则加群者一律忽略


没有代码的量化都是耍流氓


后台输入

20181120

后台获取方式介绍

登录查看更多
25

相关内容

自动编码器是一种人工神经网络,用于以无监督的方式学习有效的数据编码。自动编码器的目的是通过训练网络忽略信号“噪声”来学习一组数据的表示(编码),通常用于降维。与简化方面一起,学习了重构方面,在此,自动编码器尝试从简化编码中生成尽可能接近其原始输入的表示形式,从而得到其名称。基本模型存在几种变体,其目的是迫使学习的输入表示形式具有有用的属性。自动编码器可有效地解决许多应用问题,从面部识别到获取单词的语义。
Sklearn 与 TensorFlow 机器学习实用指南,385页pdf
专知会员服务
131+阅读 · 2020年3月15日
机器学习速查手册,135页pdf
专知会员服务
345+阅读 · 2020年3月15日
49篇ICLR2020高分「图机器学习GML」接受论文及代码
专知会员服务
62+阅读 · 2020年1月18日
【新书】Python中的经典计算机科学问题,224页pdf
专知会员服务
149+阅读 · 2019年12月28日
金融时序预测中的深度学习方法:2005到2019
专知会员服务
168+阅读 · 2019年12月4日
【机器学习课程】Google机器学习速成课程
专知会员服务
171+阅读 · 2019年12月2日
程序员如何借助 AI 开挂股票神预测?| 技术头条
程序人生
13+阅读 · 2019年4月22日
使用LSTM模型预测股价基于Keras
量化投资与机器学习
35+阅读 · 2018年11月17日
机器学习预测世界杯:巴西夺冠
新智元
5+阅读 · 2018年6月11日
手把手教你用Python库Keras做预测(附代码)
数据派THU
14+阅读 · 2018年5月30日
免费|机器学习算法Python实现
全球人工智能
6+阅读 · 2018年1月2日
视频 | 如何用 AI 预测股价?
AI研习社
5+阅读 · 2017年6月30日
VIP会员
最新内容
超越网格:作战环境对炮兵的影响
专知会员服务
1+阅读 · 今天15:35
KDD 2026 | MixRAGRec:面向LLM推荐的混合专家KG-RAG框架
BES:让语言模型通过双向进化搜索自我改进
专知会员服务
4+阅读 · 5月30日
以色列-美国-伊朗战争中的无人机:关键要点
专知会员服务
4+阅读 · 5月30日
《Palantir任务保障性软件安全标准(MA-S2)》
专知会员服务
14+阅读 · 5月30日
基于声学的无人机检测技术综述
专知会员服务
8+阅读 · 5月30日
《当代混合战争分析框架:俄乌战争经验教训》
相关VIP内容
Sklearn 与 TensorFlow 机器学习实用指南,385页pdf
专知会员服务
131+阅读 · 2020年3月15日
机器学习速查手册,135页pdf
专知会员服务
345+阅读 · 2020年3月15日
49篇ICLR2020高分「图机器学习GML」接受论文及代码
专知会员服务
62+阅读 · 2020年1月18日
【新书】Python中的经典计算机科学问题,224页pdf
专知会员服务
149+阅读 · 2019年12月28日
金融时序预测中的深度学习方法:2005到2019
专知会员服务
168+阅读 · 2019年12月4日
【机器学习课程】Google机器学习速成课程
专知会员服务
171+阅读 · 2019年12月2日
相关资讯
程序员如何借助 AI 开挂股票神预测?| 技术头条
程序人生
13+阅读 · 2019年4月22日
使用LSTM模型预测股价基于Keras
量化投资与机器学习
35+阅读 · 2018年11月17日
机器学习预测世界杯:巴西夺冠
新智元
5+阅读 · 2018年6月11日
手把手教你用Python库Keras做预测(附代码)
数据派THU
14+阅读 · 2018年5月30日
免费|机器学习算法Python实现
全球人工智能
6+阅读 · 2018年1月2日
视频 | 如何用 AI 预测股价?
AI研习社
5+阅读 · 2017年6月30日
Top
微信扫码咨询专知VIP会员