推荐系统之FM算法原理及实现(附代码)

2020 年 5 月 17 日 机器学习与推荐算法


导读

本文介绍FM原理及实现

    由于在逻辑回归中使用的是特征的最原始组合,最终得到的分隔超平面属于线性模型,其只能处理线性可分的二分类问题。现实生活中的分类问题是多种多样的,存在大量的非线性可分的分类问题。
    为了使得逻辑回归能够处理更多的复杂问题,对其的优化主要有两种:①对特征进行处理,如核函数的方法,将非线性可分的问题转换成近似线性可分的问题;②对模型本身进行扩展,因子分解机应运而生,其本质是一种基于矩阵分解的方法。笔者在自己科研课题中也曾用过一种FM的改良版,所以对该方法比较有亲切感~

Factorization Machine

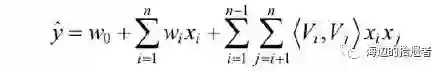
      对于FM模型,引入度的概念。对于度为2的FM模型为:
    其中<Vi,Vj>表示的是两个大小为k的向量Vi和向量Vj的点积:
     其中Vi表示的是系数矩阵V的第i维向量,k称为超参数,且大小为模型的度。整个模型由线性部分和交叉部分组成。

损失函数

     由于该方法引入了非线性的交叉项,因此可以适用于三类问题,分别是:二分类问题,回归问题,召回&排序问题。本文以二分类问题为例,只需要将模型输出最后通过Sigmoid函数激活即可。
     使用logit loss作为损失函数,即:

交叉项处理

     将模型改写为一般形式为:
     由于这种直接在交叉项的前面加上交叉项系数的方式,在稀疏数据的情况下存在一个很大的缺陷,即在对于观察样本中未出现交互的特征分量时,不能像逻辑回归那样对交叉项系数直接进行估计。
    这里针对每一个原始特征引入辅助向量Vi来利用ViVjT对交叉项系数进行估计:
    假设:
    可得:
    这就是矩阵分解的形式,而k可以影响模型的表达能力。

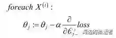
梯度下降法

       这里对交叉项的形式进行一定的推导改写,过程如下:
     这里选用梯度下降法中的随机梯度法来进行迭代训练,优点在于每次迭代只使用一个样本,在大规模数据集中可以大大降低计算成本。优化流程为:
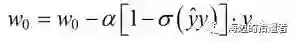
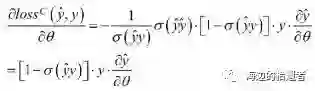
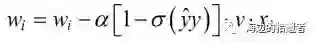
     对损失函数求一阶导为:
     而模型输出对参数一阶导有不同形式,分情况讨论:
     代入损失函数一阶导后,参数各自的梯度表达式为:
    现在让我们用代码实现训练过程:
    
    
      
import numpy as np def fm_sgd(dataMatrix, classLabels, k, max_iter, alpha):     '''input: dataMatrix特征 classLabels标签 k v的维数 max_iter最大迭代次数 alpha学习率     output: w0,w,v权重''' m, n = np.shape(dataMatrix) # 1、初始化参数 w = np.zeros((n, 1)) w0 = 0 v = initialize_v(n, k)
# 2、训练     for it in range(max_iter):         for x in range(m): inter_1 = dataMatrix[x] * v inter_2 = np.multiply(dataMatrix[x], dataMatrix[x]) * \ np.multiply(v, v) # 完成交叉项 interaction = np.sum(np.multiply(inter_1, inter_1) - inter_2) / 2.             p = w0 + dataMatrix[x] * w + interaction loss = sigmoid(classLabels[x] * p[0, 0]) - 1
w0 = w0 - alpha * loss * classLabels[x]             for i in range(n): if dataMatrix[x, i] != 0:                     w[i, 0] = w[i, 0] - alpha * loss * classLabels[x] * dataMatrix[x, i]                                       for j in range(k): v[i, j] = v[i, j] - alpha * loss * classLabels[x] * \ (dataMatrix[x, i] * inter_1[0, j] -\ v[i, j] * dataMatrix[x, i] * dataMatrix[x, i])
# 计算损失函数的值 if it % 1000 == 0:             print("\t------- iter: ", it, " , cost: ", \             Cost(Prediction(np.mat(dataMatrix), w0, w, v), classLabels))      return w0, w, v
     其中激活函数和辅助矩阵的初始化函数分别为sigmoid和initialize_v。
    
    
      
import numpy as np from numpy import normalvariate def sigmoid(x): return 1.0 / (1 + np.exp(-x))
def initialize_v(n, k):     '''input: n特征的个数             k超参数     output: v辅助矩阵''' v = np.mat(np.zeros((n, k)))
for i in range(n):         for j in range(k):         v[i, j] = normalvariate(0, 0.2) return v
     其中模型预测函数和损失函数的计算函数分别为Prediction和Cost。
    
    
      
def Prediction(dataMatrix, w0, w, v):     '''input: dataMatrix特征 w常数项权重 w0一次项权重             v辅助矩阵     output: result预测结果''' m = np.shape(dataMatrix)[0] result = []     for x in range(m):
inter_1 = dataMatrix[x] * v inter_2 = np.multiply(dataMatrix[x], dataMatrix[x]) * \ np.multiply(v, v) # 完成交叉项 interaction = np.sum(np.multiply(inter_1, inter_1) - inter_2) / 2. p = w0 + dataMatrix[x] * w + interaction pre = sigmoid(p[0, 0]) result.append(pre)     return result
def Cost(predict, classLabels):     '''input: predict预测值 classLabels标签     output: error损失函数值''' m = len(predict) error = 0.0     for i in range(m): error -= np.log(sigmoid(predict[i] * classLabels[i] ))     return error 

     到这里整个流程基本就结束了~

推荐阅读

[1]. 由Logistic Regression所联想到的...

[2]. 推荐系统之矩阵分解家族


来都来了,点个在看再走吧~~~



登录查看更多
8

相关内容

专知会员服务
43+阅读 · 2020年7月7日
【圣经书】《强化学习导论(2nd)》电子书与代码,548页pdf
专知会员服务
208+阅读 · 2020年5月22日
专知会员服务
142+阅读 · 2020年5月19日
《深度学习》圣经花书的数学推导、原理与Python代码实现
【新书】Pro 机器学习算法Python实现,379页pdf
专知会员服务
204+阅读 · 2020年2月11日
Transformer文本分类代码
专知会员服务
118+阅读 · 2020年2月3日
【推荐系统/计算广告/机器学习/CTR预估资料汇总】
专知会员服务
88+阅读 · 2019年10月21日
推荐系统中的矩阵分解技术
AINLP
9+阅读 · 2018年12月24日
风格迁移原理及tensorflow实现-附代码
机器学习研究会
19+阅读 · 2018年3月25日
深度学习在推荐系统上的应用
AI研习社
7+阅读 · 2018年1月24日
一文读懂FM算法优势,并用python实现!(附代码)
机器学习(29)之奇异值分解SVD原理与应用详解
机器学习算法与Python学习
6+阅读 · 2017年11月30日
干货|代码原理教你搞懂SGD随机梯度下降、BGD、MBGD
机器学习研究会
12+阅读 · 2017年11月25日
LibRec 每周算法:NFM (SIGIR'17)
LibRec智能推荐
8+阅读 · 2017年10月17日
推荐系统经典技术:矩阵分解
LibRec智能推荐
8+阅读 · 2017年10月10日
神经网络理论基础及 Python 实现
Python开发者
6+阅读 · 2017年7月15日
Bivariate Beta LSTM
Arxiv
6+阅读 · 2019年10月7日
Arxiv
6+阅读 · 2019年4月4日
Arxiv
5+阅读 · 2018年12月18日
Arxiv
3+阅读 · 2018年10月18日
Arxiv
5+阅读 · 2018年5月1日
Arxiv
6+阅读 · 2018年3月28日
Arxiv
7+阅读 · 2018年1月31日
Arxiv
9+阅读 · 2018年1月30日
VIP会员
最新内容
美陆军设想无人系统司令部
专知会员服务
2+阅读 · 今天13:45
【博士论文】已对齐人工智能系统的持久脆弱性
专知会员服务
0+阅读 · 今天13:52
扭曲还是编造?视频大语言模型幻觉研究综述
专知会员服务
0+阅读 · 今天13:41
《采用系统思维应对混合战争》125页
专知会员服务
2+阅读 · 今天12:47
战争机器学习:数据生态系统构建(155页)
专知会员服务
6+阅读 · 今天8:10
内省扩散语言模型
专知会员服务
6+阅读 · 4月14日
国外反无人机系统与技术动态
专知会员服务
4+阅读 · 4月14日
相关VIP内容
专知会员服务
43+阅读 · 2020年7月7日
【圣经书】《强化学习导论(2nd)》电子书与代码,548页pdf
专知会员服务
208+阅读 · 2020年5月22日
专知会员服务
142+阅读 · 2020年5月19日
《深度学习》圣经花书的数学推导、原理与Python代码实现
【新书】Pro 机器学习算法Python实现,379页pdf
专知会员服务
204+阅读 · 2020年2月11日
Transformer文本分类代码
专知会员服务
118+阅读 · 2020年2月3日
【推荐系统/计算广告/机器学习/CTR预估资料汇总】
专知会员服务
88+阅读 · 2019年10月21日
相关资讯
推荐系统中的矩阵分解技术
AINLP
9+阅读 · 2018年12月24日
风格迁移原理及tensorflow实现-附代码
机器学习研究会
19+阅读 · 2018年3月25日
深度学习在推荐系统上的应用
AI研习社
7+阅读 · 2018年1月24日
一文读懂FM算法优势,并用python实现!(附代码)
机器学习(29)之奇异值分解SVD原理与应用详解
机器学习算法与Python学习
6+阅读 · 2017年11月30日
干货|代码原理教你搞懂SGD随机梯度下降、BGD、MBGD
机器学习研究会
12+阅读 · 2017年11月25日
LibRec 每周算法:NFM (SIGIR'17)
LibRec智能推荐
8+阅读 · 2017年10月17日
推荐系统经典技术:矩阵分解
LibRec智能推荐
8+阅读 · 2017年10月10日
神经网络理论基础及 Python 实现
Python开发者
6+阅读 · 2017年7月15日
相关论文
Bivariate Beta LSTM
Arxiv
6+阅读 · 2019年10月7日
Arxiv
6+阅读 · 2019年4月4日
Arxiv
5+阅读 · 2018年12月18日
Arxiv
3+阅读 · 2018年10月18日
Arxiv
5+阅读 · 2018年5月1日
Arxiv
6+阅读 · 2018年3月28日
Arxiv
7+阅读 · 2018年1月31日
Arxiv
9+阅读 · 2018年1月30日
Top
微信扫码咨询专知VIP会员