【一分钟知识】七种损失函数

2020 年 3 月 6 日 机器学习与推荐算法

阅读大概需要1分钟

跟随小博主,每天进步一丢丢


主要内容:

0-1, Hinge, Logistic, Cross Entropy, Square, Absolute, Huber

简述:

损失函数刻画了模型与训练样本的匹配程度。




分类损失



分类Loss.png


1. 对于二分类问题,Y={1,-1},我们希望

 


0-1损失:

最自然的损失函数是0-1损失,表示的是,当且仅当预测不正确的时候取值为1,否则取值为0。该损失函数能够直观的刻画分类的错误率,但是由于其非凸、非光滑的特点,使得算法很难直接对该函数进行优化。


Hinge损失:


Hinge损失函数是0-1损失函数相对紧的凸上界,且当时候,该函数不对其做任何处罚。由于Hinge损失在f.y=1处不可导,因此不能使用梯度下降算法优化,而是使用次梯度下降法。


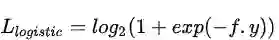
Logistic损失函数:

Logistic损失函数也是0-1损失函数的凸上界,且该函数处处光滑,因此可以使用梯度下降法进行优化。但是,该函数对所有样本点都做惩罚,因此对异常点更为敏感。


Cross Entropy:

交叉熵损失函数是常用的二分类损失函数。交叉熵损失函数也是0-1损失的光滑凸上界。




回归损失


回归Loss.png


1.对于回归问题,我们期望


Square损失:


平方损失函数是光滑函数,能够使用梯度下降法优化。然而当预测值距离真实值越远时,平方损失函数的惩罚力度越大,因此对异常点比较敏感。


Absolute损失:


绝对损失函数相当于在做中值回归,相比做均值回归的平方损失函数,绝对损失函数对异常点更鲁棒。但是,绝对损失函数在f=y处无法求导。



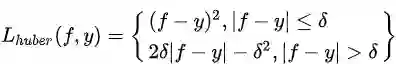
Huber损失:

Huber损失函数在|f-y|较小时为平方损失,在|f-y|较大的时采用线性损失,处处可导,且对异常点鲁棒。



写作不易,还望给个在看


推荐阅读:
登录查看更多
0

相关内容

少标签数据学习,54页ppt
专知会员服务
205+阅读 · 2020年5月22日
【Nature论文】深度网络中的梯度下降复杂度控制
专知会员服务
41+阅读 · 2020年3月9日
【斯坦福&Google】面向机器人的机器学习,63页PPT
专知会员服务
26+阅读 · 2019年11月19日
如何选择合适的损失函数,请看......
算法与数学之美
5+阅读 · 2019年9月8日
再谈人脸识别损失函数综述
人工智能前沿讲习班
14+阅读 · 2019年5月7日
从信息论的角度来理解损失函数
深度学习每日摘要
17+阅读 · 2019年4月7日
【泡泡读者来稿】VINS 论文推导及代码解析(二)
泡泡机器人SLAM
32+阅读 · 2019年3月5日
详解常见的损失函数
七月在线实验室
20+阅读 · 2018年7月12日
机器学习者都应该知道的五种损失函数!
数盟
5+阅读 · 2018年6月21日
已删除
将门创投
4+阅读 · 2018年6月12日
面试整理:关于代价函数,正则化
数据挖掘入门与实战
8+阅读 · 2018年3月29日
干货|代码原理教你搞懂SGD随机梯度下降、BGD、MBGD
机器学习研究会
12+阅读 · 2017年11月25日
干货 | 深度学习之损失函数与激活函数的选择
机器学习算法与Python学习
15+阅读 · 2017年9月18日
Bivariate Beta LSTM
Arxiv
6+阅读 · 2019年10月7日
Arxiv
7+阅读 · 2019年5月31日
Arxiv
4+阅读 · 2019年1月14日
Learning Embedding Adaptation for Few-Shot Learning
Arxiv
17+阅读 · 2018年12月10日
Arxiv
4+阅读 · 2017年7月25日
Arxiv
4+阅读 · 2016年9月20日
VIP会员
最新内容
世界动作模型: 具身AI的下一个前沿
专知会员服务
1+阅读 · 5月13日
全球十大防空反导系统:列表、射程与用途
专知会员服务
10+阅读 · 5月13日
相关资讯
如何选择合适的损失函数,请看......
算法与数学之美
5+阅读 · 2019年9月8日
再谈人脸识别损失函数综述
人工智能前沿讲习班
14+阅读 · 2019年5月7日
从信息论的角度来理解损失函数
深度学习每日摘要
17+阅读 · 2019年4月7日
【泡泡读者来稿】VINS 论文推导及代码解析(二)
泡泡机器人SLAM
32+阅读 · 2019年3月5日
详解常见的损失函数
七月在线实验室
20+阅读 · 2018年7月12日
机器学习者都应该知道的五种损失函数!
数盟
5+阅读 · 2018年6月21日
已删除
将门创投
4+阅读 · 2018年6月12日
面试整理:关于代价函数,正则化
数据挖掘入门与实战
8+阅读 · 2018年3月29日
干货|代码原理教你搞懂SGD随机梯度下降、BGD、MBGD
机器学习研究会
12+阅读 · 2017年11月25日
干货 | 深度学习之损失函数与激活函数的选择
机器学习算法与Python学习
15+阅读 · 2017年9月18日
相关论文
Bivariate Beta LSTM
Arxiv
6+阅读 · 2019年10月7日
Arxiv
7+阅读 · 2019年5月31日
Arxiv
4+阅读 · 2019年1月14日
Learning Embedding Adaptation for Few-Shot Learning
Arxiv
17+阅读 · 2018年12月10日
Arxiv
4+阅读 · 2017年7月25日
Arxiv
4+阅读 · 2016年9月20日
Top
微信扫码咨询专知VIP会员