荐号 | 如何优雅地读懂支持向量机SVM算法

2018 年 1 月 9 日 机器之心 超级数学建模

本文转自公众号“超级数学建模”(微信ID:supermodeling),以最好玩的方式科普数学知识,最强数学干货分享,被称为“3~99岁都可以关注的数学科普公众号”,由多名企业与高校KDD专家维护。

简介


支持向量机基本上是最好的有监督学习算法了。最开始接触SVM是去年暑假的时候,老师要求交《统计学习理论》的报告,那时去网上下了一份入门教程,里面讲的很通俗,当时只是大致了解了一些相关概念。


这次斯坦福提供的学习材料,让我重新学习了一些SVM知识。我看很多正统的讲法都是从VC 维理论和结构风险最小原理出发,然后引出SVM什么的,还有些资料上来就讲分类超平面什么的。


这份材料从前几节讲的logistic回归出发,引出了SVM,既揭示了模型间的联系,也让人觉得过渡更自然。


重新审视logistic回归


Logistic回归目的是从特征学习出一个0/1分类模型,而这个模型是将特性的线性组合作为自变量,由于自变量的取值范围是负无穷到正无穷。


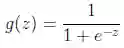
因此,使用logistic函数(或称作sigmoid函数)将自变量映射到(0,1)上,映射后的值被认为是属于y=1的概率。

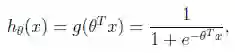
形式化表示就是


假设函数

其中x是n维特征向量,函数g就是logistic函数。

的图像是



可以看到,将无穷映射到了(0,1)。


而假设函数就是特征属于y=1的概率。



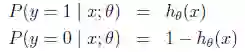
当我们要判别一个新来的特征属于哪个类时,只需求,若大于0.5就是y=1的类,反之属于y=0类。


再审视一下,发现只和有关,>0,那么,g(z)只不过是用来映射,真实的类别决定权还在。还有当时,=1,反之=0。

如果我们只从出发,希望模型达到的目标无非就是让训练数据中y=1的特征,而是y=0的特征


Logistic回归就是要学习得到,使得正例的特征远大于0,负例的特征远小于0,强调在全部训练实例上达到这个目标。


图形化表示如下:



中间那条线是,logistic回顾强调所有点尽可能地远离中间那条线。学习出的结果也就中间那条线。


考虑上面3个点A、B和C。从图中我们可以确定A是×类别的,然而C我们是不太确定的,B还算能够确定。这样我们可以得出结论,我们更应该关心靠近中间分割线的点,让他们尽可能地远离中间线,而不是在所有点上达到最优。


因为那样的话,要使得一部分点靠近中间线来换取另外一部分点更加远离中间线。我想这就是支持向量机的思路和logistic回归的不同点,一个考虑局部(不关心已经确定远离的点),一个考虑全局(已经远离的点可能通过调整中间线使其能够更加远离)。这是我的个人直观理解。


形式化表示


我们这次使用的结果标签是y=-1,y=1,替换在logistic回归中使用的y=0和y=1。同时将替换成w和b。


以前的,其中认为。现在我们替换为b,后面替换(即)。这样,我们让,进一步


也就是说除了y由y=0变为y=-1,只是标记不同外,与logistic回归的形式化表示没区别。再明确下假设函数



上一节提到过我们只需考虑的正负问题,而不用关心g(z),因此我们这里将g(z)做一个简化,将其简单映射到y=-1和y=1上。映射关系如下:



函数间隔(functional margin)和几何间隔(geometric margin)


给定一个训练样本,x是特征,y是结果标签。i表示第i个样本。我们定义函数间隔如下:



可想而知,当时,在我们的g(z)定义中,的值实际上就是。反之亦然。


为了使函数间隔最大(更大的信心确定该例是正例还是反例),当时,应该是个大正数,反之是个大负数。因此函数间隔代表了我们认为特征是正例还是反例的确信度。


继续考虑w和b,如果同时加大w和b,比如在前面乘个系数比如2,那么所有点的函数间隔都会增大二倍,这个对求解问题来说不应该有影响,因为我们要求解的是,同时扩大w和b对结果是无影响的。


这样,我们为了限制w和b,可能需要加入归一化条件,毕竟求解的目标是确定唯一一个w和b,而不是多组线性相关的向量。这个归一化一会再考虑。


刚刚我们定义的函数间隔是针对某一个样本的,现在我们定义全局样本上的函数间隔



说白了就是在训练样本上分类正例和负例确信度最小那个函数间隔。

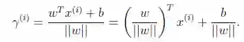
接下来定义几何间隔,先看图



假设我们有了B点所在的分割面。任何其他一点,比如A到该面的距离以表示,假设B就是A在分割面上的投影。


我们知道向量BA的方向是(分割面的梯度),单位向量是。A点是,所以B点是x=(利用初中的几何知识),带入得,



进一步得到



实际上就是点到平面距离。


再换种更加优雅的写法:



时,不就是函数间隔吗?是的,前面提到的函数间隔归一化结果就是几何间隔。


他们为什么会一样呢?因为函数间隔是我们定义的,在定义的时候就有几何间隔的色彩。同样,同时扩大w和b,w扩大几倍,就扩大几倍,结果无影响。同样定义全局的几何间隔


最优间隔分类器(optimal margin classifier)


回想前面我们提到我们的目标是寻找一个超平面,使得离超平面比较近的点能有更大的间距。也就是我们不考虑所有的点都必须远离超平面,我们关心求得的超平面能够让所有点中离它最近的点具有最大间距。


形象的说,我们将上面的图看作是一张纸,我们要找一条折线,按照这条折线折叠后,离折线最近的点的间距比其他折线都要大。形式化表示为:



这里用=1规约w,使得是几何间隔。


到此,我们已经将模型定义出来了。如果求得了w和b,那么来一个特征x,我们就能够分类了,称为最优间隔分类器。接下的问题就是如何求解w和b的问题了。


由于不是凸函数,我们想先处理转化一下,考虑几何间隔和函数间隔的关系,,我们改写一下上面的式子:



这时候其实我们求的最大值仍然是几何间隔,只不过此时的w不受的约束了。然而这个时候目标函数仍然不是凸函数,没法直接代入优化软件里计算。我们还要改写。


前面说到同时扩大w和b对结果没有影响,但我们最后要求的仍然是w和b的确定值,不是他们的一组倍数值,因此,我们需要对做一些限制,以保证我们解是唯一的。


这里为了简便我们取。这样的意义是将全局的函数间隔定义为1,也即是将离超平面最近的点的距离定义为。由于求的最大值相当于求的最小值,因此改写后结果为:



这下好了,只有线性约束了,而且是个典型的二次规划问题(目标函数是自变量的二次函数)。代入优化软件可解。


到这里发现,这个讲义虽然没有像其他讲义一样先画好图,画好分类超平面,在图上标示出间隔那么直观,但每一步推导有理有据,依靠思路的流畅性来推导出目标函数和约束。


来源:JerryLead

http://www.cnblogs.com/jerrylead/archive/2011/03/13/1982639.html


本文节选自“超级数学建模”公众号

-----这里是数学思维的聚集地------


如果你是科学爱好者,在这里,你会遇到很多数学大神,可以和他们一起探讨问题;如果你是科技小白,在这里,你会学到很多有趣的数学知识,感叹数学竟然是如此的简单有趣。


50万数学精英都在关注!来来来,就差你啦!

登录查看更多
0

相关内容

【实用书】学习用Python编写代码进行数据分析,103页pdf
专知会员服务
199+阅读 · 2020年6月29日
【2020新书】监督机器学习,156页pdf,剑桥大学出版社
专知会员服务
154+阅读 · 2020年6月27日
最新《自动微分手册》77页pdf
专知会员服务
104+阅读 · 2020年6月6日
机器学习速查手册,135页pdf
专知会员服务
345+阅读 · 2020年3月15日
【经典书】精通机器学习特征工程,中文版,178页pdf
专知会员服务
360+阅读 · 2020年2月15日
从零推导支持向量机 (SVM)
AI科技评论
10+阅读 · 2019年2月7日
SVM大解密(附代码和公式)
机器学习算法与Python学习
6+阅读 · 2018年5月22日
从示例中理解SVM算法(附代码)
论智
10+阅读 · 2018年5月10日
动手写机器学习算法:SVM支持向量机(附代码)
七月在线实验室
12+阅读 · 2017年12月5日
支持向量机分类实战
全球人工智能
4+阅读 · 2017年10月18日
机器学习(18)之支持向量机原理(三)线性不可分支持向量机与核函数
机器学习算法与Python学习
3+阅读 · 2017年9月23日
机器学习(13)之最大熵模型详解
机器学习算法与Python学习
7+阅读 · 2017年8月24日
机器学习(7)之感知机python实现
机器学习算法与Python学习
4+阅读 · 2017年7月23日
从逻辑回归到最大熵模型
夕小瑶的卖萌屋
4+阅读 · 2017年7月11日
A Modern Introduction to Online Learning
Arxiv
21+阅读 · 2019年12月31日
Arxiv
18+阅读 · 2019年1月16日
Arxiv
53+阅读 · 2018年12月11日
Arxiv
5+阅读 · 2016年12月29日
VIP会员
最新内容
美国与以色列如何在攻击伊朗中使用人工智能
专知会员服务
2+阅读 · 今天16:20
《自动化战略情报管控》
专知会员服务
2+阅读 · 今天14:31
得失评估:审视对伊朗战争的轨迹(简报)
专知会员服务
2+阅读 · 今天14:19
【CMU博士论文】迈向可解释机器学习的理论基础
专知会员服务
2+阅读 · 今天12:23
基于数据优化的人机协同与机器人僚机
专知会员服务
6+阅读 · 今天2:08
相关VIP内容
【实用书】学习用Python编写代码进行数据分析,103页pdf
专知会员服务
199+阅读 · 2020年6月29日
【2020新书】监督机器学习,156页pdf,剑桥大学出版社
专知会员服务
154+阅读 · 2020年6月27日
最新《自动微分手册》77页pdf
专知会员服务
104+阅读 · 2020年6月6日
机器学习速查手册,135页pdf
专知会员服务
345+阅读 · 2020年3月15日
【经典书】精通机器学习特征工程,中文版,178页pdf
专知会员服务
360+阅读 · 2020年2月15日
相关资讯
从零推导支持向量机 (SVM)
AI科技评论
10+阅读 · 2019年2月7日
SVM大解密(附代码和公式)
机器学习算法与Python学习
6+阅读 · 2018年5月22日
从示例中理解SVM算法(附代码)
论智
10+阅读 · 2018年5月10日
动手写机器学习算法:SVM支持向量机(附代码)
七月在线实验室
12+阅读 · 2017年12月5日
支持向量机分类实战
全球人工智能
4+阅读 · 2017年10月18日
机器学习(18)之支持向量机原理(三)线性不可分支持向量机与核函数
机器学习算法与Python学习
3+阅读 · 2017年9月23日
机器学习(13)之最大熵模型详解
机器学习算法与Python学习
7+阅读 · 2017年8月24日
机器学习(7)之感知机python实现
机器学习算法与Python学习
4+阅读 · 2017年7月23日
从逻辑回归到最大熵模型
夕小瑶的卖萌屋
4+阅读 · 2017年7月11日
Top
微信扫码咨询专知VIP会员