SVM原理详细图文教程来了!一行代码自动选择核函数,还有模型实用工具

2020 年 7 月 7 日 量子位
贾浩楠 发自 凹非寺
量子位 报道 | 公众号 QbitAI

SVM老分类算法了,轻松拿下。

然而,每一次老板让你讲解SVM,或每一次面试被问到SVM,却总是结结巴巴漏洞百出。

「这些人怎么总能精准发现我的盲点?」

简直让人怀疑自己掌握的是假SVM。

如果你有这样的问题,那这篇SVM数学原理对你会有很大帮助,一起来看看吧。

SVM 由线性分类开始

理解SVM,咱们必须先弄清楚一个概念:线性分类器

给定一些数据点,它们分别属于两个不同的类,现在要找到一个线性分类器把这些数据分成两类。

如果用x表示数据点,用y表示类别(y可以取1或者-1,分别代表两个不同的类),一个线性分类器的目标是要在n维的数据空间中找到一个超平面(hyper plane),将x的数据点分成两类,且超平面距离两边的数据的间隔最大。

这个超平面的方程可以表示为( wT中的T代表转置):

2维坐标系中,超平面是一条直线

当f(x)等于0的时候,x便是位于超平面上的点,而f(x)大于0的点对应 y=1 的数据点,f(x)小于0的点对应y=-1的点。

SVM 想要的就是找到各类样本点到超平面的距离最远,也就是找到最大间隔超平面。任意超平面可以用下面这个线性方程来描述:

二维空间点(x,y)到直线Ax+By+C=0的距离公式是:

扩展到n维空间后,点x=(x1,x2……xn)到直线wTx+b=0的距离为:

其中  :

根据支持向量的定义,支持向量到超平面的距离为d,其他点到超平面的距离大于d。

于是有:

||w||d是正数,令它为 1(之所以令它等于 1,是为了方便推导和优化,且这样做对目标函数的优化没有影响),于是:

将两个方程合并,有:

至此,就得到了最大间隔超平面的上下两个超平面。

个支持向量到超平面的距离可以写为:

y(wTx+b)>1>0 可以得到 y(wTx+b)=|wTx+b|,所以可以将支持向量到超平面距离改写为:

最大化这个距离:

这里乘上 2 倍是为了后面推导方便,对目标函数没有影响。

带入一个支持向量,可以得到:

所以得到的最优化问题是:

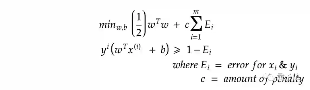
处理异常值

有时,对于某些点(x(i),y(i)),分类器可能会做出错误操作。

尽管在开发实际使用的SVM模型时,会设计冗余,避免过拟合,但仍然需要想办法将误差控制在一个较小的范围。

可以通过在模型中增加惩罚机制(用c表示)解决这个问题。

设SVM输出结果为E,则上图中出现的E=0则没有惩罚。

若果c非常大,则模型分类更加精准,但支持向量到超平面距离小,容易出现过拟合。

若c=1,则支持向量到超平面距离最大化,尽管会出现一些分类误差,但这是一种较好的方案。

约束凸优化问题

为了克服约束凸优化问题,采用PEGASOS算法。

重新构造一个约束独立性方程:

上式表示,如果点远离直线,则误差将为零,否则误差将为(1-t(i))。

我们需要最小化的是:

由于消除了约束,因此可以采用梯度下降来最大程度地减少损失。

梯度下降算法计算损失:

在SVM上应用梯度下降:

非线性分类

使用SVM对非线性数据进行分类,需要将数据投影到更高的维度,即通过增加低维数据的特征向量将其转换为高维数据

增加数据特征向量需要消耗巨大的计算资源,这里采用核函数。

而这种思路最难的点,是为你自己的模型选择一个合适的核函数。

这里推荐一种自动调参方法GridSearch

将多种核函数(线性、RBF、多项式、sigmoid等)等标号,依次调用,找到一个最合适自己模型的。

定义一个变量params:

params = [{‘kernel’:[‘linear’, ‘rbf’, ‘poly’, ‘sigmoid’], ‘c’:[0.1, 0.2, 0.5, 1.0, 2.0, 5.0]}

调用:

以上详细介绍了SVM背后的数学原理,并提供了一些使用SVM模型时的问题解决办法。

其中,使用代码自动选择核函数的方法来自外国博主Daksh Trehan

如果你对SVM的原理有更深刻的理解,或有其他实用的技巧,请留言分享给大家吧。

参考链接

https://medium.com/@dakshtrehan?source=post_page-----d46e94b23b9d----------------------

本文系网易新闻•网易号特色内容激励计划签约账号【量子位】原创内容,未经账号授权,禁止随意转载。

报名 | 四场直播详解AI芯片所有知识点

7月8日—7月11日期间,燧原科技资深产品专家和软件架构师将为大家分别详细讲解:

  • 高端人工智能训练芯片的发展趋势

  • 剖析软件全栈的技术难点

  • 人工智能训练芯片在云计算中所面临的挑战和机遇

四场直播将讲透所有的芯片知识点,欢迎扫码报名~~

量子位 QbitAI · 头条号签约作者


վ'ᴗ' ի 追踪AI技术和产品新动态


喜欢就点「在看」吧 !




登录查看更多
1

相关内容

【经典书】C语言傻瓜式入门(第二版),411页pdf
专知会员服务
54+阅读 · 2020年8月16日
【实用书】Python机器学习Scikit-Learn应用指南,247页pdf
专知会员服务
270+阅读 · 2020年6月10日
Sklearn 与 TensorFlow 机器学习实用指南,385页pdf
专知会员服务
131+阅读 · 2020年3月15日
机器学习速查手册,135页pdf
专知会员服务
345+阅读 · 2020年3月15日
《深度学习》圣经花书的数学推导、原理与Python代码实现
【斯坦福&Google】面向机器人的机器学习,63页PPT
专知会员服务
26+阅读 · 2019年11月19日
从零推导支持向量机 (SVM)
AI科技评论
10+阅读 · 2019年2月7日
SVM大解密(附代码和公式)
机器学习算法与Python学习
6+阅读 · 2018年5月22日
从示例中理解SVM算法(附代码)
论智
10+阅读 · 2018年5月10日
动手写机器学习算法:SVM支持向量机(附代码)
七月在线实验室
12+阅读 · 2017年12月5日
机器学习(19)之支持向量回归机
机器学习算法与Python学习
12+阅读 · 2017年10月3日
机器学习(18)之支持向量机原理(三)线性不可分支持向量机与核函数
机器学习算法与Python学习
3+阅读 · 2017年9月23日
机器学习(16)之支持向量机原理(二)软间隔最大化
机器学习算法与Python学习
6+阅读 · 2017年9月8日
机器学习(15)之支持向量机原理(一)线性支持向量机
机器学习算法与Python学习
6+阅读 · 2017年9月1日
机器学习(13)之最大熵模型详解
机器学习算法与Python学习
7+阅读 · 2017年8月24日
Arxiv
5+阅读 · 2019年4月8日
3D-LaneNet: end-to-end 3D multiple lane detection
Arxiv
7+阅读 · 2018年11月26日
Arxiv
22+阅读 · 2018年8月30日
Arxiv
11+阅读 · 2018年5月13日
Arxiv
3+阅读 · 2016年2月24日
VIP会员
最新内容
《美陆军条例:陆军指挥政策(2026版)》
专知会员服务
6+阅读 · 今天8:10
《军用自主人工智能系统的治理与安全》
专知会员服务
5+阅读 · 今天8:02
《系统簇式多域作战规划范畴论框架》
专知会员服务
8+阅读 · 4月20日
高效视频扩散模型:进展与挑战
专知会员服务
4+阅读 · 4月20日
乌克兰前线的五项创新
专知会员服务
8+阅读 · 4月20日
 军事通信系统与设备的技术演进综述
专知会员服务
7+阅读 · 4月20日
《北约标准:医疗评估手册》174页
专知会员服务
6+阅读 · 4月20日
相关VIP内容
【经典书】C语言傻瓜式入门(第二版),411页pdf
专知会员服务
54+阅读 · 2020年8月16日
【实用书】Python机器学习Scikit-Learn应用指南,247页pdf
专知会员服务
270+阅读 · 2020年6月10日
Sklearn 与 TensorFlow 机器学习实用指南,385页pdf
专知会员服务
131+阅读 · 2020年3月15日
机器学习速查手册,135页pdf
专知会员服务
345+阅读 · 2020年3月15日
《深度学习》圣经花书的数学推导、原理与Python代码实现
【斯坦福&Google】面向机器人的机器学习,63页PPT
专知会员服务
26+阅读 · 2019年11月19日
相关资讯
从零推导支持向量机 (SVM)
AI科技评论
10+阅读 · 2019年2月7日
SVM大解密(附代码和公式)
机器学习算法与Python学习
6+阅读 · 2018年5月22日
从示例中理解SVM算法(附代码)
论智
10+阅读 · 2018年5月10日
动手写机器学习算法:SVM支持向量机(附代码)
七月在线实验室
12+阅读 · 2017年12月5日
机器学习(19)之支持向量回归机
机器学习算法与Python学习
12+阅读 · 2017年10月3日
机器学习(18)之支持向量机原理(三)线性不可分支持向量机与核函数
机器学习算法与Python学习
3+阅读 · 2017年9月23日
机器学习(16)之支持向量机原理(二)软间隔最大化
机器学习算法与Python学习
6+阅读 · 2017年9月8日
机器学习(15)之支持向量机原理(一)线性支持向量机
机器学习算法与Python学习
6+阅读 · 2017年9月1日
机器学习(13)之最大熵模型详解
机器学习算法与Python学习
7+阅读 · 2017年8月24日
Top
微信扫码咨询专知VIP会员