从零开始深度学习第6讲:神经网络优化算法之从SGD到Adam

2018 年 7 月 25 日 数萃大数据

      从前面的学习中,笔者带大家一起学会了如何手动搭建神经网络,以及神经网络的正则化等实用层面的内容。这些都使得我们能够更深入的理解神经网络的机制,而并不是初次接触深度学习就上手框架,虽然对外宣称神经网络是个黑箱机制,但是作为学习者我们极度有必要搞清楚算法在每个环节到底都干了些什么。

      今天笔者需要讲的是深度学习的一个大的主题——优化算法。采用何种方式对损失函数进行迭代优化,这是机器学习的一大主题之一,当一个机器学习问题有了具体的模型和评估策略,所有的机器学习问题都可以形式化为一个最优化问题。这也是为什么我们说优化理论和凸优化算法等学科是机器学习一大支柱的原因所在。从纯数学的角度来看,所有的数学模型尽管形式不一,各有头面,但到最后几乎到可以归约为最优化问题。所以,有志于奋战在机器学习和深度学习领域的各位,学好最优化,责无旁贷啊。

      要说机器学习和深度学习的优化算法,梯度下降必然是核心所在。神经网络发展至今,优化算法层出不穷,但大底是出不了梯度下降的框框架架。这一篇笔记,笔者就和大家一起学习和回顾深度学习中常用的优化算法。在前面手动搭建神经网络的代码实践中,我们对于损失函数的优化采用了一般的梯度下降法,所以本篇总结就从梯度下降法开始。

梯度下降法 Gradient Descent


      想必大家对于梯度下降是很熟悉了,选择负梯度方向进行参数更新算是常规操作了。话不多说,对于多层神经网络如何执行梯度下降:

def update_parameters_with_gd(parameters, grads, learning_rate):    """    Update parameters using one step of gradient descent    Arguments:    parameters -- python dictionary containing your parameters to be updated:                    parameters['W' + str(l)] = Wl                    parameters['b' + str(l)] = bl    grads -- python dictionary containing your gradients to update each parameters:                    grads['dW' + str(l)] = dWl                    grads['db' + str(l)] = dbl    learning_rate -- the learning rate, scalar.    Returns:    parameters -- python dictionary containing your updated parameters    """    L = len(parameters) // 2 # number of layers in the neural networks    # Update rule for each parameter    for l in range(L):          parameters['W' + str(l+1)] = parameters['W' + str(l+1)] - learning_rate * grads['dW' + str(l+1)]        parameters['b' + str(l+1)] = parameters['b' + str(l+1)] - learning_rate * grads['db' + str(l+1)]      return parameters

      在上述代码中,我们传入含有权值和偏置的字典、梯度字段和更新的学习率作为参数,按照开头的公式编写权值更新代码,一个简单的多层网络的梯度下降算法就写出来了。

小批量梯度下降法 mini-batch Gradient Descent

      在工业数据环境下,直接对大数据执行梯度下降法训练往往处理速度缓慢,这时候将训练集分割成小一点的子集进行训练就非常重要了。这个被分割成的小的子集就叫做 mini-batch,意为小批量。对每一个小批量同时执行梯度下降会大大提高训练效率。在实际利用代码实现的时候,小批量梯度下降算法通常包括两个步骤:充分打乱数据(shuffle)和分组组合数据(partition)。如下图所示。


shuffle

partition

      具体代码实现为:

def random_mini_batches(X, Y, mini_batch_size = 64, seed = 0):    """    Creates a list of random minibatches from (X, Y)    Arguments:    X -- input data, of shape (input size, number of examples)    Y -- true "label" vector (1 for blue dot / 0 for red dot), of shape (1, number of examples)    mini_batch_size -- size of the mini-batches, integer    Returns:    mini_batches -- list of synchronous (mini_batch_X, mini_batch_Y)    """    np.random.seed(seed)            m = X.shape[1]                    mini_batches = []    # Step 1: Shuffle (X, Y)    permutation = list(np.random.permutation(m))    shuffled_X = X[:, permutation]    shuffled_Y = Y[:, permutation].reshape((1,m))    # Step 2: Partition (shuffled_X, shuffled_Y). Minus the end case.    num_complete_minibatches = math.floor(m/mini_batch_size)    for k in range(0, num_complete_minibatches):        mini_batch_X = shuffled_X[:, 0:mini_batch_size]        mini_batch_Y = shuffled_Y[:, 0:mini_batch_size]        mini_batch = (mini_batch_X, mini_batch_Y)        mini_batches.append(mini_batch)    # Handling the end case (last mini-batch < mini_batch_size)    if m % mini_batch_size != 0:        mini_batch_X = shuffled_X[:, 0: m-mini_batch_size*math.floor(m/mini_batch_size)]        mini_batch_Y = shuffled_Y[:, 0: m-mini_batch_size*math.floor(m/mini_batch_size)]        mini_batch = (mini_batch_X, mini_batch_Y)        mini_batches.append(mini_batch)    
   return mini_batches

      小批量梯度下降的实现思路非常清晰,先打乱数据在分组数据,需要注意的细节在于最后一个小批量所含的训练样本数,通常而言最后一个小批量会少于前面批量所含样本数。

随机梯度下降 Stochastic Gradient Descent

      当小批量所含的训练样本数为 1 的时候,小批量梯度下降法就变成了随机梯度下降法(SGD)。SGD虽然以单个样本为训练单元训练速度会很快,但牺牲了向量化运算所带来的便利性,在较大数据集上效率并不高。
      我们可以看一下梯度下降和随机梯度下降在实现上的差异:

# GD
X = data_input Y = labels parameters = initialize_parameters(layers_dims)
for i in range(0, num_iterations):    # Forward propagation    a, caches = forward_propagation(X, parameters)    # Compute cost.    cost = compute_cost(a, Y)    # Backward propagation.    grads = backward_propagation(a, caches, parameters)    # Update parameters.    parameters = update_parameters(parameters, grads)

# SGDX = data_input Y = labels parameters = initialize_parameters(layers_dims)
for i in range(0, num_iterations):    
   for j in range(0, m):        # Forward propagation        a, caches = forward_propagation(X[:,j], parameters)        # Compute cost        cost = compute_cost(a, Y[:,j])        # Backward propagation        grads = backward_propagation(a, caches, parameters)        # Update parameters.        parameters = update_parameters(parameters, grads)

      所以,从本质上看,梯度下降法、小批量梯度下降法和随机梯度下降法,并没有区别。唯一的区别就在于它们执行一次训练过程所需要用到的训练样本数。梯度下降法用到的是全集训练数据,随机梯度下降则是单个样本数据,而小批量则是介于二者之间。

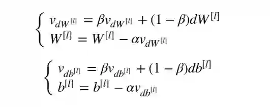
带动量的梯度下降法(momentum)


      正如上图中看到的一样,我们假设梯度下降的横向为参数 W 的下降方向,而偏置 b 的下降方向为纵轴,我们总是希望在纵轴上的震荡幅度小一点,学习速度慢一点,而在横轴上学习速度快一点,无论是小批量梯度下降还是随机梯度下降,好像都不能避免这个问题。为了解决这个问题,带动量的梯度下降法来了。带动量的梯度下降考虑历史梯度的加权平均值作为速率进行优化。执行公式如下:


      根据上述公式编写带动量的梯度下降法实现代码:

def update_parameters_with_momentum(parameters, grads, v, beta, learning_rate):    """    Update parameters using Momentum    Arguments:    parameters -- python dictionary containing your parameters:                    parameters['W' + str(l)] = Wl                    parameters['b' + str(l)] = bl    grads -- python dictionary containing your gradients for each parameters:                    grads['dW' + str(l)] = dWl                    grads['db' + str(l)] = dbl    v -- python dictionary containing the current velocity:                    v['dW' + str(l)] = ...                    v['db' + str(l)] = ...    beta -- the momentum hyperparameter, scalar    learning_rate -- the learning rate, scalar    Returns:    parameters -- python dictionary containing your updated parameters    v -- python dictionary containing your updated velocities    """    L = len(parameters) // 2 # number of layers in the neural networks    # Momentum update for each parameter    for l in range(L):        # compute velocities        v['dW' + str(l+1)] = beta * v['dW' + str(l+1)] + (1-beta)* grads['dW' + str(l+1)]        v['db' + str(l+1)] = beta * v['db' + str(l+1)] + (1-beta)* grads['db' + str(l+1)]        # update parameters        parameters['W' + str(l+1)] = parameters['W' + str(l+1)] - learning_rate*v['dW' + str(l+1)]        parameters['b' + str(l+1)] = parameters['b' + str(l+1)] - learning_rate*v['db' + str(l+1)]    return parameters, v

      实现带动量的梯度下降的关键点有两个:一是动量是考虑历史梯度进行梯度下降的,二是这里的需要指定的超参数变成了两个:一个是学习率 learning_rate,一个是梯度加权参数beta

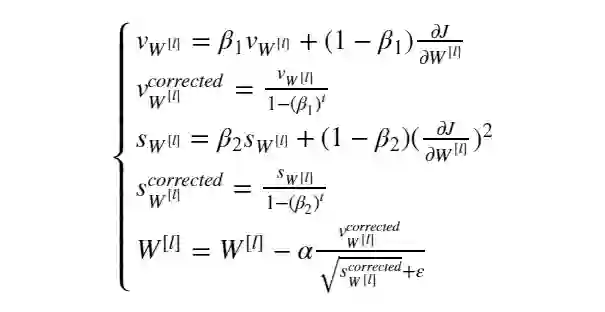
Adam算法

      Adam 全称为 Adaptive Moment Estimation,是在带动量的梯度下降法的基础上融合了一种称为 RMSprop(加速梯度下降)的算法而成的。相较于带动量的梯度下降法,无论是RMSprop 还是 Adam,其中的改进思路都在于如何让横轴上的学习更快以及让纵轴上的学习更慢。RMSprop 和 Adam 在带动量的梯度下降法的基础上,引入了平方梯度,并对速率进行了偏差纠正。具体计算公式如下:

      实现代码如下:

def update_parameters_with_adam(parameters, grads, v, s, t, learning_rate = 0.01,                                beta1 = 0.9, beta2 = 0.999,  epsilon = 1e-8):    """    Update parameters using Adam    Arguments:    parameters -- python dictionary containing your parameters:                    parameters['W' + str(l)] = Wl                    parameters['b' + str(l)] = bl    grads -- python dictionary containing your gradients for each parameters:                    grads['dW' + str(l)] = dWl                    grads['db' + str(l)] = dbl    v -- Adam variable, moving average of the first gradient, python dictionary    s -- Adam variable, moving average of the squared gradient, python dictionary    learning_rate -- the learning rate, scalar.    beta1 -- Exponential decay hyperparameter for the first moment estimates    beta2 -- Exponential decay hyperparameter for the second moment estimates    epsilon -- hyperparameter preventing division by zero in Adam updates    Returns:    parameters -- python dictionary containing your updated parameters    v -- Adam variable, moving average of the first gradient, python dictionary    s -- Adam variable, moving average of the squared gradient, python dictionary    """    L = len(parameters) // 2                    v_corrected = {}                            s_corrected = {}                            # Perform Adam update on all parameters    for l in range(L):        v["dW" + str(l+1)] = beta1 * v["dW" + str(l+1)] + (1 - beta1) * grads['dW'+str(l+1)]        v["db" + str(l+1)] = beta1 * v["db" + str(l+1)] + (1 - beta1) * grads['db'+str(l+1)]        # Compute bias-corrected first moment estimate. Inputs: "v, beta1, t". Output: "v_corrected".           v_corrected["dW" + str(l+1)] = v["dW" + str(l+1)] / (1 - beta1**t)        v_corrected["db" + str(l+1)] = v["db" + str(l+1)] / (1 - beta1**t)        # Moving average of the squared gradients. Inputs: "s, grads, beta2". Output: "s".        s["dW" + str(l+1)] = beta2 * s["dW" + str(l+1)] + (1 - beta2) * (grads["dW" + str(l+1)])**2        s["db" + str(l+1)] = beta2 * s["db" + str(l+1)] + (1 - beta2) * (grads["db" + str(l+1)])**2        # Compute bias-corrected second raw moment estimate. Inputs: "s, beta2, t". Output: "s_corrected".        s_corrected["dW" + str(l+1)] = s["dW" + str(l+1)] / (1 - beta2**t)        s_corrected["db" + str(l+1)] = s["db" + str(l+1)] / (1 - beta2**t)        # Update parameters. Inputs: "parameters, learning_rate, v_corrected, s_corrected, epsilon". Output: "parameters".        parameters["W" + str(l+1)] = parameters["W" + str(l+1)] - learning_rate * v_corrected["dW" + str(l+1)] / (np.sqrt(s_corrected["dW" + str(l+1)]) + epsilon)        parameters["b" + str(l+1)] = parameters["b" + str(l+1)] - learning_rate * v_corrected["db" + str(l+1)] / (np.sqrt(s_corrected["db" + str(l+1)]) + epsilon)    
   return parameters, v, s

      除了以上这些算法,还有一些像 Adadelta 之类的算法我们没有提到,有需要了解的同学可以自行查找相关资料。最后用一个图来展示各种优化算法的效果:




参考资料:

https://www.coursera.org/learn/machine-learning

https://www.deeplearning.ai/






长按二维码关注“数萃大数据”




登录查看更多
0

相关内容

梯度的本意是一个向量(矢量),表示某一函数在该点处的方向导数沿着该方向取得最大值,即函数在该点处沿着该方向(此梯度的方向)变化最快,变化率最大(为该梯度的模)。
还在修改博士论文?这份《博士论文写作技巧》为你指南
专知会员服务
175+阅读 · 2020年6月4日
Fariz Darari简明《博弈论Game Theory》介绍,35页ppt
专知会员服务
112+阅读 · 2020年5月15日
Sklearn 与 TensorFlow 机器学习实用指南,385页pdf
专知会员服务
131+阅读 · 2020年3月15日
Transformer文本分类代码
专知会员服务
118+阅读 · 2020年2月3日
【新书】Python编程基础,669页pdf
专知会员服务
197+阅读 · 2019年10月10日
机器学习入门的经验与建议
专知会员服务
94+阅读 · 2019年10月10日
从零开始深度学习第8讲:利用Tensorflow搭建神经网络
深度学习面试100题(第41-45题)
七月在线实验室
15+阅读 · 2018年7月18日
当前训练神经网络最快的方式:AdamW优化算法+超级收敛
中国人工智能学会
6+阅读 · 2018年7月4日
入门 | 从零开始,了解元学习
机器之心
17+阅读 · 2018年5月6日
基础 | GRU神经网络
黑龙江大学自然语言处理实验室
27+阅读 · 2018年3月5日
干货|深度神经网络(DNN)反向传播算法(BP)
全球人工智能
7+阅读 · 2018年1月12日
算法优化|梯度下降和随机梯度下降 — 从0开始
全球人工智能
8+阅读 · 2017年12月25日
【教程】如何估算深度神经网络的最优学习率
GAN生成式对抗网络
5+阅读 · 2017年11月18日
PaddlePaddle深度学习实战之新手入门
深度学习探索
5+阅读 · 2017年7月24日
Talking-Heads Attention
Arxiv
15+阅读 · 2020年3月5日
A Modern Introduction to Online Learning
Arxiv
21+阅读 · 2019年12月31日
Arxiv
26+阅读 · 2019年3月5日
Arxiv
8+阅读 · 2018年6月19日
Arxiv
17+阅读 · 2018年4月2日
VIP会员
最新内容
乌克兰前线的五项创新
专知会员服务
1+阅读 · 今天6:14
 军事通信系统与设备的技术演进综述
专知会员服务
1+阅读 · 今天5:59
《北约标准:医疗评估手册》174页
专知会员服务
1+阅读 · 今天5:51
《提升生成模型的安全性与保障》博士论文
专知会员服务
0+阅读 · 今天5:47
美国当前高超音速导弹发展概述
专知会员服务
4+阅读 · 4月19日
无人机蜂群建模与仿真方法
专知会员服务
9+阅读 · 4月19日
澳大利亚发布《国防战略(2026年)》
专知会员服务
4+阅读 · 4月19日
全球高超音速武器最新发展趋势
专知会员服务
3+阅读 · 4月19日
相关VIP内容
还在修改博士论文?这份《博士论文写作技巧》为你指南
专知会员服务
175+阅读 · 2020年6月4日
Fariz Darari简明《博弈论Game Theory》介绍,35页ppt
专知会员服务
112+阅读 · 2020年5月15日
Sklearn 与 TensorFlow 机器学习实用指南,385页pdf
专知会员服务
131+阅读 · 2020年3月15日
Transformer文本分类代码
专知会员服务
118+阅读 · 2020年2月3日
【新书】Python编程基础,669页pdf
专知会员服务
197+阅读 · 2019年10月10日
机器学习入门的经验与建议
专知会员服务
94+阅读 · 2019年10月10日
相关资讯
从零开始深度学习第8讲:利用Tensorflow搭建神经网络
深度学习面试100题(第41-45题)
七月在线实验室
15+阅读 · 2018年7月18日
当前训练神经网络最快的方式:AdamW优化算法+超级收敛
中国人工智能学会
6+阅读 · 2018年7月4日
入门 | 从零开始,了解元学习
机器之心
17+阅读 · 2018年5月6日
基础 | GRU神经网络
黑龙江大学自然语言处理实验室
27+阅读 · 2018年3月5日
干货|深度神经网络(DNN)反向传播算法(BP)
全球人工智能
7+阅读 · 2018年1月12日
算法优化|梯度下降和随机梯度下降 — 从0开始
全球人工智能
8+阅读 · 2017年12月25日
【教程】如何估算深度神经网络的最优学习率
GAN生成式对抗网络
5+阅读 · 2017年11月18日
PaddlePaddle深度学习实战之新手入门
深度学习探索
5+阅读 · 2017年7月24日
相关论文
Talking-Heads Attention
Arxiv
15+阅读 · 2020年3月5日
A Modern Introduction to Online Learning
Arxiv
21+阅读 · 2019年12月31日
Arxiv
26+阅读 · 2019年3月5日
Arxiv
8+阅读 · 2018年6月19日
Arxiv
17+阅读 · 2018年4月2日
Top
微信扫码咨询专知VIP会员