CVPR 2020 | IR-Net: 信息保留的二值神经网络(已开源)

2020 年 3 月 25 日 AI科技评论


文 | 商汤
编 | 贾伟

在CVPR 2020上,商汤研究院链接与编译组和北京航空航天大学刘祥龙老师团队提出了一种旨在优化前后向传播中信息流的实用、高效的网络二值化新算法IR-Net。

论文地址:https://arxiv.org/abs/1909.10788

项目地址:https://github.com/htqin/IR-Net

不同于以往二值神经网络大多关注量化误差方面,本文首次从统一信息的角度研究了二值网络的前向和后向传播过程,为网络二值化机制的研究提供了全新的视角。同时,该工作首次在ARM设备上进行了先进二值化算法效率验证,显示了IR-Net部署时的优异性能和极高的实用性, 有助于解决工业界关注的神经网络二值化落地的核心问题。


1


动   机
 
二值神经网络因其存储量小、推理效率高而受到社会的广泛关注 [1]。然而与全精度的对应方法相比,现有的量化方法的精度仍然存在显著的下降。

对神经网络的研究表明,网络的多样性是模型达到高性能的关键[2],保持这种多样性的关键是:(1) 网络在前向传播过程中能够携带足够的信息;(2) 反向传播过程中,精确的梯度为网络优化提供了正确的信息。

二值神经网络的性能下降主要是由二值化的有限表示能力和离散性造成的,这导致了前向和反向传播的严重信息损失,模型的多样性急剧下降。同时,在二值神经网络的训练过程中,离散二值化往往导致梯度不准确和优化方向错误。如何解决以上问题,得到更高精度的二值神经网络?这一问题被研究者们广泛关注,本文的动机在于:通过信息保留的思路,设计更高性能的二值神经网络。

基于以上动机,本文首次从信息流的角度研究了网络二值化,提出了一种新的信息保持网络(IR-Net):

1)在前向传播中引入了一种称为Libra参数二值化(Libra-PB)的平衡标准化量化方法,最大化量化参数的信息熵和最小化量化误差;

2) 在反向传播中采用误差衰减估计器(EDE)来计算梯度,保证训练开始时的充分更新和训练结束时的精确梯度。

IR-Net提供了一个全新的角度来理解二值神经网络是如何运行的,并且具有很好的通用性,可以在标准的网络训练流程中进行优化。作者使用CIFAR-10和ImageNet数据集上的图像分类任务来评估提出的IR-Net,同时借助开源二值化推理库daBNN进行了部署效率验证。



2


方法设计

高精度二值神经网络训练的瓶颈主要在于训练过程中严重的信息损失。前向sign函数和后向梯度逼近所造成的信息损失严重影响了二值神经网络的精度。为了解决以上问题,本文提出了一种新的信息保持网络(IR-Net)模型,它保留了训练过程中的信息,实现了二值化模型的高精度。


1、前向传播中的Libra Parameter Binarization(Libra-PB)


在此之前,绝大多数网络二值化方法试图减小二值化操作的量化误差。然而,仅通过最小化量化误差来获得一个良好的二值网络是不够的。因此,Libra-PB设计的关键在于:使用信息熵指标,最大化二值网络前向传播过程中的信息流。

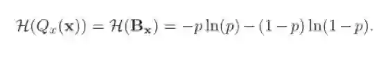
根据信息熵的定义,在二值网络中,二值参数Qx(x)的熵可以通过以下公式计算:


如果单纯地追求量化误差最小化,在极端情况下,量化参数的信息熵甚至可以接近于零。因此,Libra-PB将量化值的量化误差和二值参数的信息熵同时作为优化目标,定义为:


在伯努利分布假设下,当p=0.5时,量化值的信息熵取最大值。

因此,在Libra-PB通过标准化和平衡操作获得标准化平衡权重,如图2所示,在Bernoulli分布下,由Libra-PB量化的参数具有最大的信息熵。有趣的是,对权重的简单变换也可以极大改善前向过程中激活的信息流。因为此时,各层的二值激活值信息熵同样可以最大化,这意味着特征图中信息可以被保留。

在以往的二值化方法中,为了使量化误差减小,几乎所有方法都会引入浮点尺度因子来从数值上逼近原始参数,这无疑将高昂的浮点运算引入其中。在Libra-PB中,为了进一步减小量化误差,同时避免以往二值化方法中代价高昂的浮点运算,Libra-PB引入了整数移位标量s,扩展了二值权重的表示能力。

因此最终,针对正向传播的Libra参数二值化可以表示如下:


IR-Net的主要运算操作可以表示为:




2、反向传播中的Error Decay Estimator(EDE)


由于二值化的不连续性,梯度的近似对于反向传播是不可避免的,这种对sign函数的近似带来了两种梯度的信息损失,包括截断范围外参数更新能力下降造成的信息损失,和截断范围内近似误差造成的信息损失。为了更好的保留反向传播中由损失函数导出的信息,平衡各训练阶段对于梯度的要求,EDE引入了一种渐进的两阶段近似梯度方法。

第一阶段: 保留反向传播算法的更新能力。将梯度估计函数的导数值保持在接近1的水平,然后逐步将截断值从一个大的数字降到1。利用这一规则,近似函数从接近Identity函数演化到Clip函数,从而保证了训练早期的更新能力。

第二阶段: 使0附近的参数被更准确地更新。将截断保持为1,并逐渐将导数曲线演变到阶梯函数的形状。利用这一规则,近似函数从Clip函数演变到sign函数,从而保证了前向和反向传播的一致性。

各阶段EDE的形状变化如图3(c)所示。通过该设计,EDE减小了前向二值化函数和后向近似函数之间的差异,同时所有参数都能得到合理的更新。



3


实验结果
 
作者使用了两个基准数据集:CIFAR-10和ImageNet(ILSVRC12)进行了实验。在两个数据集上的实验结果表明,IR-Net比现有的最先进方法更具竞争力。



4


Deployment Efficiency


 
为了进一步验证IR-Net在实际移动设备中的部署效率,作者在1.2GHz 64位四核ARM Cortex-A53的Raspberry Pi 3B上进一步实现了IR-Net,并在实际应用中测试了其真实速度。表5显示,IR-Net的推理速度要快得多,模型尺寸也大大减小,而且IR-Net中的位移操作几乎不会带来额外的推理时间和存储消耗。

CVPR 2020 系列报道


相关报道:


CVPR 2020接收论文公布:录用1470篇,接收率“二连降”,仅22% !


论文集:


01. 17篇入选CVPR 2020,腾讯优图 9 篇精选论文详解

02. 22篇入选,百度 15 篇 CVPR 2020 精选论文详解

 

论文解读:


01. [微软] 古有照妖镜,今有换脸识别机,微软 CVPR 2020力作,让伪造人脸无处遁形

02. [港大] PolarMask:将实例分割统一到FCN,有望在工业界大规模应用

03. [牛津大学] RandLA-Net:大场景三维点云语义分割新框架(已开源)

04. [北大&华为] CIFAR-10上做NAS,仅需单卡半天!华为提出基于进化算法和权值共享CARS模型

05. [南京大学] 化繁为简,弱监督目标定位领域的新SOTA - 伪监督目标定位方法

06. [UC 伯克利] 挑战 11 种 GAN的图像真伪,DeepFake鉴别一点都不难

07. [哈斯特帕大学] 学习一个宫崎骏画风的图像风格转换GAN

08. [人大&阿德莱德大学] 看图说话之随心所欲:细粒度可控的图像描述自动生成

09.[北京大学]PQ-NET:序列化的三维形状生成网络

10. 视觉-语言导航新篇章:真实场景下的远程物体定位导航任务

11. 室内设计师失业?针对语言描述的自动三维场景设计算法

12. 深度视觉推理2.0:组合式目标指代理解

13.  浙大李俊成:用无监督强化学习方法来获得迁移能力(视频解读)

14. 细粒度文本视频跨模态检索




点击“ 阅读原文” 查看 CVPR 系列论文解读
登录查看更多
1

相关内容

【CVPR 2020-商汤】8比特数值也能训练卷积神经网络模型
专知会员服务
26+阅读 · 2020年5月7日
CVPR2020 | 商汤-港中文等提出PV-RCNN:3D目标检测新网络
专知会员服务
45+阅读 · 2020年4月17日
[CVPR 2020-港中文-MIT] 神经架构搜索鲁棒性
专知会员服务
26+阅读 · 2020年4月7日
专知会员服务
110+阅读 · 2020年3月12日
【Google】利用AUTOML实现加速感知神经网络设计
专知会员服务
30+阅读 · 2020年3月5日
【ICLR-2020】网络反卷积,NETWORK DECONVOLUTION
专知会员服务
39+阅读 · 2020年2月21日
CVPR 2019 开源论文 | 基于翻译向量的图像翻译
PaperWeekly
3+阅读 · 2019年10月13日
ICLR 2019论文解读:量化神经网络
机器之心
9+阅读 · 2019年6月13日
SFFAI分享 | 杨朝晖:二值化网络
人工智能前沿讲习班
6+阅读 · 2018年11月22日
已删除
将门创投
7+阅读 · 2018年11月5日
概览CVPR 2018神经网络图像压缩领域进展
论智
13+阅读 · 2018年6月13日
ICCV | 深度三维残差神经网络:视频理解新突破
微软研究院AI头条
8+阅读 · 2017年10月27日
CoCoNet: A Collaborative Convolutional Network
Arxiv
6+阅读 · 2019年1月28日
Recurrent Fusion Network for Image Captioning
Arxiv
3+阅读 · 2018年7月31日
Arxiv
6+阅读 · 2018年3月29日
Arxiv
11+阅读 · 2018年2月4日
VIP会员
最新内容
《第四代军事特种作战部队选拔与评估》
专知会员服务
0+阅读 · 20分钟前
不对称优势上升:自主系统如何强化海上拒止
专知会员服务
0+阅读 · 52分钟前
《人工智能赋能电磁战》(报告)
专知会员服务
2+阅读 · 4月17日
【CMU博士论文】迈向可扩展的开放世界三维感知
相关VIP内容
【CVPR 2020-商汤】8比特数值也能训练卷积神经网络模型
专知会员服务
26+阅读 · 2020年5月7日
CVPR2020 | 商汤-港中文等提出PV-RCNN:3D目标检测新网络
专知会员服务
45+阅读 · 2020年4月17日
[CVPR 2020-港中文-MIT] 神经架构搜索鲁棒性
专知会员服务
26+阅读 · 2020年4月7日
专知会员服务
110+阅读 · 2020年3月12日
【Google】利用AUTOML实现加速感知神经网络设计
专知会员服务
30+阅读 · 2020年3月5日
【ICLR-2020】网络反卷积,NETWORK DECONVOLUTION
专知会员服务
39+阅读 · 2020年2月21日
相关资讯
CVPR 2019 开源论文 | 基于翻译向量的图像翻译
PaperWeekly
3+阅读 · 2019年10月13日
ICLR 2019论文解读:量化神经网络
机器之心
9+阅读 · 2019年6月13日
SFFAI分享 | 杨朝晖:二值化网络
人工智能前沿讲习班
6+阅读 · 2018年11月22日
已删除
将门创投
7+阅读 · 2018年11月5日
概览CVPR 2018神经网络图像压缩领域进展
论智
13+阅读 · 2018年6月13日
ICCV | 深度三维残差神经网络:视频理解新突破
微软研究院AI头条
8+阅读 · 2017年10月27日
Top
微信扫码咨询专知VIP会员