【向量值函数】图解高等数学-下 02

2017 年 12 月 6 日 遇见数学 李想

9.3 向量 - 值函数

平面曲线

当一个质点在时间区间 I 在平面内运动时, 可以把质点的坐标看做在 I 上的函数

点(x,y) = (f(t), g(t)) 形成平面上的曲线, 称它为质点的路径. 从原点到质点在时刻 t 的位置 P(f(t),g(t)) 的向量

是质点的位置向量, 函数 f 和 g 是位置向量的分量函数(分量). 质点的路径是在时间区间 I 由 r 绘制的曲线. 观察下面的向量函数

三维空间中的向量函数:

极限和连续

通过数值分量来定义向量函数的极限.

在一点的连续性

导数

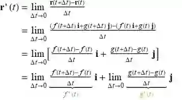
假定 r(t)=f(t)i+g(t)是沿一平面曲线运动的质点的位置向量, 而 f 和 g 是 t 的可微函数. 则质点位置再时刻  t+ x  和时刻 t 的差是 r=r(t+ t)-r(t) , 用分量表示为:

观察下图

导数

从上面动图可以看到, 当  t  趋于 0 时, 有三件事情同时发生:首先, Q 沿着曲线趋于 P:割线 PQ 看来趋于点 P 与曲线相切的位置; r t 趋于极限;

如果 dr/dt 是连续且从不为 0 , 则 r 描绘的曲线是光滑的.

因为向量函数的导数是按分量逐个计算的, 对可微向量函数的求导法则对标量函数的求导法则有同样的形式.

运动

再观察下面的图形

不定积分

r 对 t 的不定积分是 r 的所有反导数的集合. 用 ∫r(t)dt 表示, 若 R 是 r 的任一反导数, 则

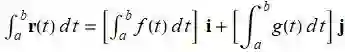
定积分

如果 r(t)=f(t)i+g(t)的分量在 [a,b] 上是可积的, 则 r 也如此, 并且从 a 到 b 的 r 的定积分是

(完)

「予人玫瑰, 手留余香」

转发既是支持, 我们会努力走得更远! 

登录查看更多
0

相关内容

最新《自动微分手册》77页pdf
专知会员服务
104+阅读 · 2020年6月6日
机器学习速查手册,135页pdf
专知会员服务
345+阅读 · 2020年3月15日
 第八届中国科技大学《计算机图形学》暑期课程课件
专知会员服务
62+阅读 · 2020年3月4日
【强化学习】深度强化学习初学者指南
专知会员服务
184+阅读 · 2019年12月14日
博客 | MIT—线性代数(下)
AI研习社
6+阅读 · 2018年12月20日
博客 | MIT—线性代数(上)
AI研习社
10+阅读 · 2018年12月18日
条件概率和贝叶斯公式 - 图解概率 03
遇见数学
10+阅读 · 2018年6月5日
入门 | 这是一份文科生都能看懂的线性代数简介
机器之心
14+阅读 · 2018年3月31日
【干货】​深度学习中的线性代数
专知
21+阅读 · 2018年3月30日
图解高等数学|线性代数
遇见数学
39+阅读 · 2017年10月18日
BAT机器学习面试1000题系列(第51~55题)
七月在线实验室
10+阅读 · 2017年10月8日
BAT机器学习面试1000题系列(第46~50题)
七月在线实验室
7+阅读 · 2017年10月7日
BAT机器学习面试1000题系列(第36~40题)
七月在线实验室
8+阅读 · 2017年10月3日
【基础数学】- 01
遇见数学
20+阅读 · 2017年7月25日
Arxiv
3+阅读 · 2019年9月5日
Learning Implicit Fields for Generative Shape Modeling
Arxiv
11+阅读 · 2018年12月6日
Arxiv
3+阅读 · 2018年10月8日
Arxiv
5+阅读 · 2018年6月12日
VIP会员
最新内容
人工智能在战场行动中的演进及伊朗案例
专知会员服务
2+阅读 · 今天13:08
美AI公司Anthropic推出网络安全模型“Mythos”
专知会员服务
2+阅读 · 今天12:58
【博士论文】面向城市环境的可解释计算机视觉
专知会员服务
0+阅读 · 今天12:57
大语言模型的自改进机制:技术综述与未来展望
专知会员服务
0+阅读 · 今天12:50
《第四代军事特种作战部队选拔与评估》
专知会员服务
1+阅读 · 今天6:23
不对称优势上升:自主系统如何强化海上拒止
专知会员服务
1+阅读 · 今天5:51
相关资讯
博客 | MIT—线性代数(下)
AI研习社
6+阅读 · 2018年12月20日
博客 | MIT—线性代数(上)
AI研习社
10+阅读 · 2018年12月18日
条件概率和贝叶斯公式 - 图解概率 03
遇见数学
10+阅读 · 2018年6月5日
入门 | 这是一份文科生都能看懂的线性代数简介
机器之心
14+阅读 · 2018年3月31日
【干货】​深度学习中的线性代数
专知
21+阅读 · 2018年3月30日
图解高等数学|线性代数
遇见数学
39+阅读 · 2017年10月18日
BAT机器学习面试1000题系列(第51~55题)
七月在线实验室
10+阅读 · 2017年10月8日
BAT机器学习面试1000题系列(第46~50题)
七月在线实验室
7+阅读 · 2017年10月7日
BAT机器学习面试1000题系列(第36~40题)
七月在线实验室
8+阅读 · 2017年10月3日
【基础数学】- 01
遇见数学
20+阅读 · 2017年7月25日
Top
微信扫码咨询专知VIP会员