听同事讲 Bayesian statistics: Part 2 - Bayesian inference

2015 年 7 月 10 日 DeepLearning中文论坛 deepnn团队

有一次M早上来得比较晚,进办公室以后就开始抱怨地铁又晚点了,而且同一周不只发生了一次。我说,作为 statistician,你就不能 predict 一下地铁会不会晚点吗?她说,"This is a very tricky problem. There are so many unknown factors." “好吧,那算一下地铁晚点的概率总可以吧?” "Great! Let's do it now!” 说完M就拿起笔开始在白板上写起公式来,当然用的是 Bayesian 的方法。


通常拿到一个问题后,第一步要做的,就是要简化这个问题。M做的简化是:假设每天地铁迟到的概率是一样的,记为 t。当然,这个假设有不合理的地方,比如周一、周二早上乘地铁的人比较多,而周五不少人 work from home 所以乘地铁的人相对较少,这样导致地铁在每周不同的天里迟到的概率可能不同。但任何假设都有不完善的地方,如果乘客人数不是主导因素的话,那么我们就可以做这样的近似。问题简化后,每天地铁是否迟到就是一个 Bernoulli 分布,N 天中地铁迟到的次数 n 则为一个 binomial 分布。


以M过去两周的经验来说,总共10天里,地铁迟到了3次。那么地铁迟到的概率 t 是多少呢?


上一期中我们提到了 frequentist 和 Bayesian 之间的区别。其中最主要的一点是,frequentist 认为参数是固定的,而 Bayesian 认为参数和其它随机变量没有区别,它们也是随机变量,它们的 distribution 就是我们对其值 belief 的 distribution。在我们这个问题里,t 就是参数。


首先大致地讲一下 frequentist 的做法。Frequentist 求解参数,一般用 maximum likelihood 方法。参数的 likelihood 也就是 data 的 probability。假设 N 天里,地铁迟到了 n 次,那么 likelihood 为,



这个公式不是很讨好,我们来把它变换一下。我们知道,log 函数不会改变原函数的大小关系 (monotonic),所以,maximum likelihood 等价于 maximum log-likelihood。公式变成了,



C为常数,不取决于 t 的值。我们可以很容易地求得当 t = n / N 时,上面地 log-likelihood 取得最大值。好的,frequentist 的结果为 n / N = 3 / 10 = 0.3,即地铁迟到的概率为30%。


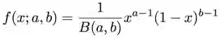
Bayesian 方法怎么去做呢?还记得上一期我们提到的 Bayesian 理念吧。我们需要给 t 一个 prior distribution。我们知道,t 作为概率是介于0到1之间的,它最常用的 prior 是 beta distribution。可能很多学友不是特别熟悉 beta distribution,但对于 statistician 尤其是 Bayesian statistician 来说,它是最基本的一种 distribution。我们在这儿不讨论 beta distribution 的细节。需要大体了解一下,它有两个参数,pdf 的图形如下,




它的表达式为,



如果我们认为 t 是从0到1均匀分布的,我们可以用 uniform 作为它的 prior,也就是 t ~ Beta(1, 1) = uniform。这个 prior 没有融入任何主观的猜测,所以这样的 prior 也叫做 uninformative prior。其实,即便是这样的 prior,它也提供了一定的信息,比如 t 的值不会小于0或者大于1 。所以,uninformative prior 名字有些歧义,它实际上是 less informative prior。


知道了参数的 prior distribution 和 likelihood,那么 posterior distribution 是不是很容易求得呢?答案是否定的。只有一些特定的 distribution (比如 Gaussian distribution) 才可以写出它的解析式。即便写出它的解析式,很多情况下 posterior 的一些 statistics 是很难求得的。这是就需要请出强大的 MCMC (Markov chain Monte Carlo),这个后面一定会讲到。


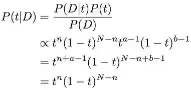
好的,我们计算一下,给了数据 D 后,参数 t 的 posterior distribution 为,




对于很多其他形式的 posterior 来说,位于分母的积分 P(D) 并不容易计算。幸运的是,这个积分的值并不取决于参数的值,而分子才是决定参数的重要因素。从这个角度来说,分母的作用只是 normalization 而已,对决定参数分布作用不大 。


还有一个有趣的现象是,算得的 posterior 和 prior 形式上是一样的。这也是当 likelihood 为 binomial 时,我们选择 beta distribution 作为 prior 的好处。对于不同的 likelihood,选择一些特定的 prior 可以使得 posterior 与 prior 形式一致,给计算带来方便。这样的 prior,称之为 conjugate prior。


我们最后求得 t 的 posterior 为 Beta(n+1, N-n+1),即 Beta(4, 8),它的 mode 是 0.3,而 mean 是 1 / 3。


假如说我们只想用一个值而不是 distribution 来表示参数,很多情况下我们会选择 mode,也就是让 posterior 最大的那个参数值。这个方法也叫做 maximum a posteriori (MAP)。如果 prior 是 uniform 的话,它跟 frequentist 的 maximum likelihood 得到的结果一样。当然,maximum a posteriori 是一个过于简单的方法,用一个值来代替整个 distribution 显然是不准确或不完备的。我们后面会讲到 Bayesian 是怎样利用 posterior 来做 prediction 的。



DeepLearning中文论坛公众号的原创文章,欢迎转发;如需转载,请注明出处。谢谢!


长按以下二维码,关注该公众号

登录查看更多
2

相关内容

机器学习领域必知必会的12种概率分布(附Python代码实现)
算法与数学之美
21+阅读 · 2019年10月18日
一文读懂机器学习中的贝叶斯统计学
数据分析
26+阅读 · 2019年5月8日
【干货合集】从贝叶斯方法谈到贝叶斯网络
七月在线实验室
6+阅读 · 2018年8月1日
浅谈贝叶斯和MCMC
AI100
14+阅读 · 2018年6月11日
读论文Discriminative Deep Metric Learning for Face and KV
统计学习与视觉计算组
12+阅读 · 2018年4月6日
再谈变分自编码器VAE:从贝叶斯观点出发
PaperWeekly
13+阅读 · 2018年4月2日
干货来袭:漫谈概率统计方法与因果关系
数据猿
5+阅读 · 2018年2月23日
生活中处处的贝叶斯
算法与数学之美
4+阅读 · 2018年2月19日
EM算法是炼金术吗?
新智元
6+阅读 · 2017年12月22日
计算学习理论
平均机器
8+阅读 · 2017年5月3日
A Survey on Bayesian Deep Learning
Arxiv
64+阅读 · 2020年7月2日
Parsimonious Bayesian deep networks
Arxiv
5+阅读 · 2018年10月17日
Arxiv
3+阅读 · 2018年6月18日
Arxiv
3+阅读 · 2018年1月10日
VIP会员
最新内容
《美陆军条例:陆军指挥政策(2026版)》
专知会员服务
8+阅读 · 今天8:10
《军用自主人工智能系统的治理与安全》
专知会员服务
5+阅读 · 今天8:02
《系统簇式多域作战规划范畴论框架》
专知会员服务
9+阅读 · 4月20日
高效视频扩散模型:进展与挑战
专知会员服务
5+阅读 · 4月20日
乌克兰前线的五项创新
专知会员服务
8+阅读 · 4月20日
 军事通信系统与设备的技术演进综述
专知会员服务
7+阅读 · 4月20日
《北约标准:医疗评估手册》174页
专知会员服务
6+阅读 · 4月20日
相关VIP内容
相关资讯
机器学习领域必知必会的12种概率分布(附Python代码实现)
算法与数学之美
21+阅读 · 2019年10月18日
一文读懂机器学习中的贝叶斯统计学
数据分析
26+阅读 · 2019年5月8日
【干货合集】从贝叶斯方法谈到贝叶斯网络
七月在线实验室
6+阅读 · 2018年8月1日
浅谈贝叶斯和MCMC
AI100
14+阅读 · 2018年6月11日
读论文Discriminative Deep Metric Learning for Face and KV
统计学习与视觉计算组
12+阅读 · 2018年4月6日
再谈变分自编码器VAE:从贝叶斯观点出发
PaperWeekly
13+阅读 · 2018年4月2日
干货来袭:漫谈概率统计方法与因果关系
数据猿
5+阅读 · 2018年2月23日
生活中处处的贝叶斯
算法与数学之美
4+阅读 · 2018年2月19日
EM算法是炼金术吗?
新智元
6+阅读 · 2017年12月22日
计算学习理论
平均机器
8+阅读 · 2017年5月3日
Top
微信扫码咨询专知VIP会员