AlphaGo原来是这样运行的,一文详解多智能体强化学习的基础和应用

2020 年 11 月 3 日 机器之心

机器之心分析师网络

作者:杨旭韵
编辑:Joni

在这篇综述性文章中,作者详尽地介绍了多智能强化学习的理论基础,并阐述了解决各类多智能问题的经典算法。此外,作者还以 AlphaGo、AlphaStar 为例,概述了多智能体强化学习的实际应用。


近年来,随着强化学习(reinforcement learning)在多个应用领域取得了令人瞩目的成果,并且考虑到在现实场景中通常会同时存在多个决策个体(智能体),部分研究者逐渐将眼光从单智能体领域延伸到多智能体。

本文将首先简要地介绍 多智能体强化学习(multi-agent reinforcement learning, MARL)的相关理论基础 ,包括问题的定义、问题的建模,以及涉及到的核心思想和概念等。然后,根据具体应用中智能体之间的关系,将多智能体问题分为 完全合作式、完全竞争式、混合关系式三种类型 ,并简要阐述解决各类多智能体问题的经典算法。最后,本文列举深 度强化学习在多智能体研究工作中提出的一些方法 (multi-agent deep reinforcement learning)。

1. 强化学习和多智能体强化学习

我们知道,强化学习的核心思想是“试错”(trial-and-error):智能体通过与环境的交互,根据获得的反馈信息迭代地优化。在 RL 领域,待解决的问题通常被描述为 马尔科夫决策过程

图 1:强化学习的框架(同时也表示了马尔科夫决策过程)。图源:[1]

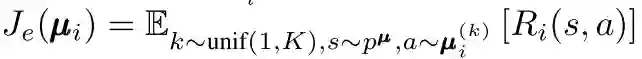
当同时存在多个智能体与环境交互时,整个系统就变成一个多智能体系统(multi-agent system)。每个智能体仍然是遵循着强化学习的目标,也就是是最大化能够获得的累积回报,而此时环境全局状态的改变就和所有智能体的联合动作(joint action)相关了。因此在智能体策略学习的过程中,需要考虑联合动作的影响。

1.1 多智能体问题的建模——博弈论基础

马尔科夫决策过程拓展到多智能体系统,被定义为马尔科夫博弈(又称为随机博弈,Markov/stochastic game)。当我们对博弈论有一定了解后,能够借助博弈论来对多智能体强化学习问题进行建模,并更清晰地找到求解问题的方法。

图 2:马尔科夫博弈过程。图源:[2]

在马尔科夫博弈中,所有智能体根据当前的环境状态(或者是观测值)来同时选择并执行各自的动作,该各自动作带来的联合动作影响了环境状态的转移和更新,并决定了智能体获得的奖励反馈。它可以通过元组 < S,A1,...,An,T,R1,...,Rn > 来表示,其中 S 表示状态集合,Ai 和 Ri 分别表示智能体 i 的动作集合和奖励集合,T 表示环境状态转移概率,表示损失因子。此时,某个智能体 i 获得的累积奖励的期望可以表示为:


对于马尔科夫博弈, 纳什均衡(Nash equilibrium) 是一个很重要的概念,它是在多个智能体中达成的一个不动点,对于其中任意一个智能体来说,无法通过采取其他的策略来获得更高的累积回报,在数学形式上可以表达为:


在该式中,π^{i,}表示智能体 i 的纳什均衡策略。

值得注意的是,纳什均衡不一定是全局最优,但它是在概率上最容易产生的结果,是在学习时较容易收敛到的状态,特别是如果当前智能体无法知道其他智能体将会采取怎样的策略。这里举个简单的例子来帮助理解,即博弈论中经典的囚徒困境。根据两个人不同的交代情况,判刑的时间是不一样的:


在这个表格中,当 A 和 B 都选择撒谎时,能够达到全局最优的回报。但是每个个体都不知道另外的个体会做出怎样的行为,对于 A 或者是来 B 说,如果改成选择坦白,则能够获得更优的回报。实际上,对于 A 或者 B 来说,此时不管另外的个体选择了哪种行为,坦白是它能够获得最优回报的选择。所以,最终会收敛到 A 和 B 都选择坦白,即囚徒困境中的纳什均衡策略。

均衡求解方法是多智能体强化学习的基本方法,它对于多智能体学习的问题,结合了强化学习的经典方法(如 Q-learning)和博弈论中的均衡概念,通过 RL 的方法来求解该均衡目标,从而完成多智能体的相关任务。这种思路在后面介绍具体的学习方法中会有所体现。

相比于单智能体系统,强化学习应用在多智能体系统中会遇到哪些问题和挑战?

  • 环境的不稳定性:智能体在做决策的同时,其他智能体也在采取动作;环境状态的变化与所有智能体的联合动作相关;

  • 智能体获取信息的局限性:不一定能够获得全局的信息,智能体仅能获取局部的观测信息,但无法得知其他智能体的观测信息、动作和奖励等信息;

  • 个体的目标一致性:各智能体的目标可能是最优的全局回报;也可能是各自局部回报的最优;

  • 可拓展性:在大规模的多智能体系统中,就会涉及到高维度的状态空间和动作空间,对于模型表达能力和真实场景中的硬件算力有一定的要求。


1.2 多智能体问题的求解——多智能体强化学习算法介绍

对于多智能体强化学习问题,一种直接的解决思路:将单智能体强化学习方法直接套用在多智能体系统中,即每个智能体把其他智能体都当做环境中的因素,仍然按照单智能体学习的方式、通过与环境的交互来更新策略;这是 independent Q-learning 方法的思想。这种学习方式固然简单也很容易实现,但忽略了其他智能体也具备决策的能力、所有个体的动作共同影响环境的状态,使得它很难稳定地学习并达到良好的效果。

在一般情况下,智能体之间可能存在的是竞争关系(非合作关系)、半竞争半合作关系(混合式)或者是完全合作关系,在这些关系模式下,个体需要考虑其他智能体决策行为的影响也是不一样的。参考综述[3],接下来的部分将根据智能体之间的关系,按照完全竞争式、半竞争半合作、完全合作式来阐述多智能体问题的建模以及求解方法。

1.2.1 智能体之间是完全竞争关系

minimax Q-learning 算法用于两个智能体之间是完全竞争关系的零和随机博弈。首先是最优值函数的定义:对于智能体 i,它需要考虑在其他智能体(i-)采取的动作(a-)令自己(i)回报最差(min)的情况下,能够获得的最大(max)期望回报。该回报可以表示为:


在式子中,V 和 Q 省略了智能体 i 的下标,是因为在零和博弈中设定了 Q1=-Q2,所以上式对于另一个智能体来说是对称等价的。这个值函数表明,当前智能体在考虑了对手策略的情况下使用贪心选择。这种方式使得智能体容易收敛到纳什均衡策略。

在学习过程中,基于强化学习中的 Q-learning 方法,minimax Q-learning 利用上述 minimax 思想定义的值函数、通过迭代更新 Q 值;动作的选择,则是通过线性规划来求解当前阶段状态 s 对应的纳什均衡策略。

图 3:minimax-Q learning 算法流程。图源[4]

minimax Q 方法是竞争式博弈中很经典的一种思想,基于该种思想衍生出很多其他方法,包括 Friend-or-Foe Q-learning、correlated Q-learning,以及接下来将要提到的 Nash Q-learning。

1.2.2 智能体之间是半合作半竞争(混合)关系

双人零和博弈的更一般形式为多人一般和博弈(general-sum game),此时 minimax Q-learning 方法可扩展为 Nash Q-learning 方法。当每个智能体采用普通的 Q 学习方法,并且都采取贪心的方式、即最大化各自的 Q 值时,这样的方法容易收敛到纳什均衡策略。Nash Q-learning 方法可用于处理以纳什均衡为解的多智能体学习问题。它的目标是通过寻找每一个状态的纳什均衡点,从而在学习过程中基于纳什均衡策略来更新 Q 值。

具体地,对于一个智能体 i 来说,它的 Nash Q 值定义为:


此时,假设了所有智能体从下一时刻开始都采取纳什均衡策略,纳什策略可以通过二次规划(仅考虑离散的动作空间,π是各动作的概率分布)来求解。

在 Q 值的迭代更新过程中,使用 Nash Q 值来更新:


可以看到,对于单个智能体 i,在使用 Nash Q 值进行更新时,它除了需要知道全局状态 s 和其他智能体的动作 a 以外,还需要知道其他所有智能体在下一状态对应的纳什均衡策略π。进一步地,当前智能体就需要知道其他智能体的 Q(s')值,这通常是根据观察到的其他智能体的奖励和动作来猜想和计算。所以,Nash Q-learning 方法对智能体能够获取的其他智能体的信息(包括动作、奖励等)具有较强的假设,在复杂的真实问题中一般不满足这样严格的条件,方法的适用范围受限。

图 4:nash-Q learning 算法流程。图源:[5]

1.2.3 智能体之间是完全合作关系

前面提到的智能体之间的两种关系,都涉及到了个体和个体的相互竞争,所以对于个体来说,在策略学习过程中考虑对方(更一般地,其他智能体)的决策行为,才能够做出更好地应对动作,这是比较容易理解的。那么,如果智能体之间完全是合作关系,个体的决策也要考虑其他智能体的决策情况吗?实际上,“合作”意味着多个智能体要共同完成一个目标任务,即这个目标的达成与各个体行为组合得到的联合行为相关;如果个体“一意孤行”,那么它很难配合其他队友来共同获得好的回报。所以,智能体的策略学习仍然需要考虑联合动作效应,要考虑其他具有决策能力的智能体的影响。

怎样实现在智能体策略学习过程中考虑其他协作智能体的影响呢?这个问题我们可以分类讨论,分类的依据是具体问题对于智能体协作的条件要求,即 智能体通过协作获得最优回报时,是否需要协调机制 :

  • 不需要协作机制


对于一个问题(或者是任务),当所有智能体的 联合最优动作 是唯一的时候,完成该任务是不需要协作机制的。这个很容易理解,假设对于环境中的所有智能体 {A,B} 存在不只一个最优联合动作,即有 {πA,πB} 和{hA,hB},那么 A 和 B 之间就需要协商机制,决定是同时取π,还是同时取 h;因为如果其中一个取π、另一个取 h,得到的联合动作就不一定是最优的了。Team Q-learning 是一种适用于不需要协作机制的问题的学习方法,它提出对于单个智能体 i,可以通过下面这个式子来求出它的最优动作 hi:


Distributed Q-learning 也是一种适用于不需要协作机制的问题的学习方法,不同于 Team Q-learning 在选取个体最优动作的时候需要知道其他智能体的动作,在该方法中智能体维护的是只依据自身动作所对应的 Q 值,从而得到个体最优动作。

  • 隐式的协作机制


在智能体之间需要相互协商、从而达成最优的联合动作的问题中, 个体之间的相互建模 ,能够为智能体的决策提供潜在的协调机制。在联合动作学习(joint action learner,JAL)[6]方法中,智能体 i 会基于观察到的其他智能体 j 的历史动作、对其他智能体 j 的策略进行建模。在频率最大 Q 值(frequency maximum Q-value, FMQ)[7]方法中,在个体 Q 值的定义中引入了个体动作所在的联合动作取得最优回报的频率,从而在学习过程中引导智能体选择能够取得最优回报的联合动作中的自身动作,那么所有智能体的最优动作组合被选择的概率也会更高。

JAL 和 FMQ 方法的基本思路都是基于均衡求解法,但这类方法通常只能处理小规模(即智能体的数量较少)的多智能体问题:在现实问题中,会涉及到大量智能体之间的交互和相互影响,而一般的均衡求解法受限于计算效率和计算复杂度、很难处理复杂的情况。在 大规模多智能体学习问题 中,考虑群体联合动作的效应,包括当前智能体受到的影响以及在群体中发挥的作用,对于智能体的策略学习是有较大帮助的。


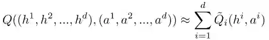
基于平均场理论的多智能体强化学习(Mean Field MARL, MFMARL)方法是 UCL 学者在 2018 年 ICML 会议上提出的一种针对大规模群体问题的方法,它将传统强化学习方法(Q-learning)和平均场理论(mean field theory)相结合。平均场理论适用于对复杂的大规模系统建模,它使用了一种简化的建模思想:对于其中的某个个体,所有其他个体产生的联合作用可以用一个 “平均量” 来定义和衡量。此时,对于其中一个个体来说,所有其他个体的影响相当于一个单体对于它的影响,这样的建模方式能够有效处理维度空间和计算量庞大的问题。

MFMARL 方法基于平均场理论的建模思想,将所有智能体看作一个“平均场”,个体与其他智能体之间的关系可以描述为个体和平均场之间的相互影响,从而简化了后续的分析过程。

图 5:基于平均场理论的多智能体建模方式,单个智能体只考虑与相邻的其他智能体(蓝色球体区域)的相互作用。图源:[8]

首先,为了处理集中式全局值函数的学习效果会受到智能体数量(联合动作的维度)的影响,对值函数进行分解。对于单个智能体 j,它的值函数 Qj(s,a)包含了与所有 Nj 个相邻智能体 k 之间的相互作用:


然后,将平均场理论的思想结合到上式中。考虑离散的动作空间,单个智能体的动作采用 one-hot 编码的方式,即 aj=[h(aj_1), ... h(aj_d)],其中 h(aj_i)=1 if aj=aj_i ?: 0;其他相邻智能体的动作可以表示为平均动作 \ bar{aj}和一个波动δ的形式:


利用泰勒二阶展开,得到


该式子即是将当前智能体 j 与其他相邻智能体 k 的相互作用,简化为当前智能体 j 和虚拟智能体 \ bar{j}的相互作用,是平均场思想在数学形式上的体现。此时,在学习过程中,迭代更新的对象为平均场下的 Q(s,aj,\bar{aj})值(即 MF-Q),有:



在更新中使用 v 而不是使用 max Q 的原因在于:对 Q 取 max,需要相邻智能体策略 \ bar{aj}的合作,而对于智能体 j 来说是无法直接干涉其他智能体的决策情况;另一方面,贪心的选择依旧会导致学习过程受到环境不稳定性的影响。

对应地,智能体 j 的策略也会基于 Q 值迭代更新,使用玻尔兹曼分布有:


原文证明了通过这样的迭代更新方式,\bar{aj}最终能够收敛到唯一平衡点的证明,并推出智能体 j 的策略πj 能够收敛到纳什均衡策略。

  • 显式的协作机制


关于显式的协作机制,我们将通过多智能体深度强化学习在多机器人领域的应用中会简单介绍(主要是人机之间的交互,考虑现存的一些约束条件 / 先验规则等)。

2. 多智能体深度强化学习

随着深度学习的发展,利用神经网络的强大表达能力来搭建逼近模型(value approximation)和策略模型(常见于 policy-based 的 DRL 方法)。深度强化学习的方法可以分为基于值函数(value-based)和基于策略(policy-based)两种,在考虑多智能体问题时,主要的方式是在值函数的定义或者是策略的定义中引入多智能体的相关因素,并设计相应的网络结构作为值函数模型和策略模型,最终训练得到的模型能够适应(直接或者是潜在地学习到智能体相互之间的复杂关系),在具体任务上获得不错的效果。

2.1 policy-based 的方法

在完全合作的 setting 下,多智能体整体通常需要最大化全局的期望回报。前面提到一种完全集中式的方式:通过一个中心模块来完成全局信息的获取和决策计算,能够直接地将适用于单智能体的 RL 方法拓展到多智能体系统中。但通常在现实情况中,中心化的控制器(centralized controller)并不一定可行,或者说不一定是比较理想的决策方式。而如果采用完全分布式的方式,每个智能体独自学习自己的值函数网络以及策略网络、不考虑其他智能体对自己的影响,无法很好处理环境的不稳定问题。利用强化学习中 actor-critic 框架的特点,能够在这两种极端方式中找到协调的办法。

1. 多智能体 DDPG 方法(Multi-Agent Deep Deterministic Policy Gradient, MADDPG)


这种方法是在深度确定策略梯度(Deep Deterministic Policy Gradient,DDPG)方法的基础上、对其中涉及到的 actor-critic 框架进行改进,使用集中式训练、分布式执行的机制(centralized training and decentralized execution),为解决多智能体问题提供了一种比较通用的思路。

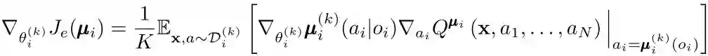
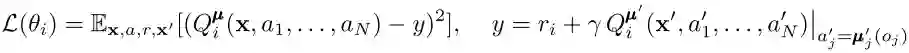
MADDPG 为每个智能体都建立了一个中心化的 critic,它能够获取全局信息(包括全局状态和所有智能体的动作)并给出对应的值函数 Qi(x,a1,...,an),这在一定程度上能够缓解多智能体系统环境不稳定的问题。另一方面,每个智能体的 actor 则只需要根据局部的观测信息作出决策,这能够实现对多智能体的分布式控制。

在基于 actor-critic 框架的学习过程中,critic 和 actor 的更新方式和 DDPG 类似。对于 critic,它的优化目标为:


对于 actor,考虑确定性策略μi(ai|oi),策略更新时的梯度计算可以表示为:


图 6:中心化的 Q 值学习(绿色)和分布式的策略执行(褐色)。Q 值获取所有智能体的观测信息 o 和动作 a,策略π根据个体的观测信息来输出个体动作。图源:[9]

在 MADDPG 中,个体维护的中心化 Q 值需要知道全局的状态信息和所有智能体的动作信息,此时假设了智能体能够通过通信或者是某种方式得知其他智能体的观测值和策略,这种假设前提过于严格。MADDPG 进一步提出了可以通过维护策略逼近函数 \ hat{\miu}来估计其他智能体的策略, 通过对其他智能体的行为建模 使得维护中心化的 Q 值、考虑联合动作效应对单个个体来说是可行的。智能体 i 在逼近第 j 个智能体的策略函数时,其优化目标是令策略函数能够近似经验样本中智能体 j 的行为,同时考虑该策略的熵,可表示为:



除了考虑联合动作以外,MADDPG 在处理环境不稳定问题方面还使用了 策略集成(policies ensemble) 的技巧。由于环境中的每个智能体的策略都在迭代更新,因此很容易出现单个智能体的策略对其他智能体的策略过拟合,即当其他智能体的策略发生改变时,当前得到的最优策略不一定能很好的适应其他智能体的策略。为了缓和过拟合问题,MADDPG 提出了策略集成的思想,即对于单个智能体 i,它的策略μi 是由多个子策略μi^k 构成的集合。在一个 episode 中,只使用一种从集合中采样得到的子策略进行决策和完成交互。在学习过程中最大化的目标是所有子策略的期望回报,即


每个子策略的更新梯度为:


总的来说,MADDPG 的核心是在 DDPG 算法的基础上,对每个智能体使用全局的 Q 值来更新局部的策略,该方法在完全合作、完全竞争和混合关系的问题中都能取得较好效果。算法流程如下所示:

图 7:MADDPG 算法流程。图源:[9]

2. 反事实多智能体策略梯度法方法(Counterfactual Multi-Agent Policy Gradients, COMA)


合作式 的多智能体学习问题中,每个智能体共享奖励(即在同一个时刻获得相同的奖励),此时会存在一个 “ 置信分配 ” 问题(credit assignment):如何去评估每个智能体对这个共享奖励的贡献?

COMA 方法在置信分配中利用了一种反事实基线:将智能体当前的动作和默认的动作进行比较,如果当前动作能够获得的回报高于默认动作,则说明当前动作提供了好的贡献,反之则说明当前动作提供了坏的贡献;默认动作的回报,则通过当前策略的平均效果来提供(即为反事实基线)。在对某个智能体和基线进行比较的时,需要固定其他智能体的动作。当前策略的平均效果和优势函数的定义如下:



COMA 方法结合了集中式训练、分布式执行的思想:分布式的个体策略以局部观测值为输入、输出个体的动作;中心化的 critic 使用特殊的网络结构来输出优势函数值。

具体地,critic 网络的输入包括了全局状态信息 s、个体的局部观测信息 o、个体的编号 a 以及其他智能体的动作,首先输出当前智能体不同动作所对应的联合 Q 值。然后, 再经过 COMA 模块,使用输入其中的智能体当前策略和动作,计算反事实基线以及输出最终的优势函数。

图 8:(a) COMA 方法中的 actor-critic 框架图,(b) actor 的网络结构,(c) critic 的网络结构(包含了核心的 COMA 模块来提供优势函数值)。图源:[10]

2.2 value-based 的方法

在前面提到的 policy-based 方法中,中心化的值函数是直接使用全局信息进行建模,没有考虑个体的特点。在多智能体系统是由大规模的多个个体构成时,这样的值函数是难以学习或者是训练到收敛的,很难推导出理想的策略。并且仅依靠局部观测值,无法判断当前奖励是由于自身的行为还是环境中其他队友的行为而获得的。


值分解网络(value decomposition networks, VDN)由 DeepMind 团队在 2018 年提出,该方法的核心是将全局的 Q(s,a)值分解为各个局部 Qi(si,ai)的加权和,每个智能体拥有各自的局部值函数。


这样的分解方式,在联合动作 Q 值的结构组成方面考虑了个体行为的特性,使得该 Q 值更易于学习。另一方面,它也能够适配集中式的训练方式,在一定程度上能够克服多智能体系统中环境不稳定的问题。在训练过程中,通过联合动作 Q 值来指导策略的优化,同时个体从全局 Q 值中提取局部的 Qi 值来完成各自的决策(如贪心策略 ai=argmax Qi),实现多智能体系统的分布式控制。

图 9:左图是完全分布式的局部 Q 值网络结构,右图是 VDN 的联合动作 Q 值网络结构。考虑两个智能体,它们的联合动作 Q 值由个体的 Q1 和 Q2 求和得到,在学习时针对这个联合 Q 值进行迭代更新,而在执行时个体根据各自的 Qi 值得到自身的动作 ai。图源:[11]

VDN 对于智能体之间的关系有较强的假设,但是,这样的假设并不一定适合所有合作式多智能体问题。在 2018 年的 ICML 会议上,有研究者提出了改进的方法 QMIX。


QMIX 在 VDN 的基础上实现了两点改进:1)在训练过程中加入全局信息进行辅助;2)采用混合网络对单智能体的局部值函数进行合并(而不是简单的线性相加)。

在 QMIX 方法中,首先假设了全局 Q 值和局部 Q 值之间满足这样的关系:最大化全局 Q_tot 值对应的动作,是最大化各个局部 Q_a 值对应动作的组合,即


在这样的约束条件下,既能够使用集中式的学习方法来处理环境不稳定性问题以及考虑多智能体的联合动作效应(全局 Q 值的学习),又能够从中提取出个体策略实现分布式的控制(基于局部 Q 值的行为选择)。进一步地,该约束条件可转化为全局 Q 值和局部 Q 值之间的单调性约束关系:


令全局 Q 值和局部 Q 值之间满足该约束关系的函数表达式有多种,VDN 方法的加权求和就是其中一种,但简单的线性求和并没有充分考虑到不同个体的特性,对全体行为和局部行为之间的关系的描述有一定的局限性。QMIX 采用了一个混合网络模块(mixing network)作为整合 Qa 生成 Q_tot 的函数表达式,它能够满足上述的单调性约束。

图 10:QMIX 网络结构。图源:[12]

在 QMIX 方法设计的网络结构中,每个智能体都拥有一个 DRQN 网络(绿色块),该网络以个体的观测值作为输入,使用循环神经网络来保留和利用历史信息,输出个体的局部 Qi 值。

所有个体的局部 Qi 值输入混合网络模块(蓝色块),在该模块中,各层的权值是利用一个超网络(hypernetwork)以及绝对值计算产生的:绝对值计算保证了权值是非负的、使得局部 Q 值的整合满足单调性约束;利用全局状态 s 经过超网络来产生权值,能够更加充分和灵活地利用全局信息来估计联合动作的 Q 值,在一定程度上有助于全局 Q 值的学习和收敛。

结合 DQN 的思想,以 Q_tot 作为迭代更新的目标,在每次迭代中根据 Q_tot 来选择各个智能体的动作,有:



最终学习收敛到最优的 Q_tot 并推出对应的策略,即为 QMIX 方法的整个学习流程。

3. 多智能体强化学习的应用

3.1. 游戏应用

  • 分步对抗游戏


这类游戏包括了围棋、国际象棋、扑克牌等,MARL 在这几种游戏中都有相关的研究进展并取得了不错的成果。其中,著名的 AlphaGo 通过在和人类对战的围棋比赛中取得的惊人成绩而进入人们的视野。围棋是一种双玩家零和随机博弈,在每个时刻,玩家都能够获取整个棋局。它一种涉及超大状态空间的回合制游戏,很难直接使用传统的 RL 方法或者是搜索方法。AlphaGo 结合了深度学习和强化学习的方法:

  • 针对巨大状态空间的问题,使用网络结构 CNN 来提取和表示状态信息;

  • 在训练的第一个阶段,使用人类玩家的数据进行有监督训练,得到预训练的网络;

  • 在训练的第二个阶段,通过强化学习方法和自我博弈进一步更新网络;

  • 在实际参与游戏时,结合价值网络(value network)和策略网络(policy network),使用 蒙特卡洛树搜索(MCTS)方法得到真正执行的动作。


图 11:AlphaGo 在 2016 年击败人类玩家。图源:https://rlss.inria.fr/files/2019/07/RLSS_Multiagent.pdf

  • 实时战略游戏


MARL 的另一种重要的游戏应用领域,是实时战略游戏,包括星际争霸,DOTA,王者荣耀,吃鸡等。该类游戏相比于前面提到的国际象棋、围棋等回合制类型的游戏,游戏 AI 训练的难度更大,不仅因为游戏时长过长、对于未来预期回报的估计涉及到的步数更多,还包括了多方同时参与游戏时造成的复杂空间维度增大,在一些游戏设定中可能无法获取完整的信息以及全局的形势(比如在星际争霸中,不知道迷雾区域是否有敌方的军队), 在考虑队内合作的同时也要考虑对外的竞争

OpenAI Five 是 OpenAI 团队针对 Dota 2 研发的一个游戏 AI [13],智能体的策略的学习没有使用人类玩家的数据、是从零开始的(learn from scratch)。考虑游戏中队内英雄的 协作 ,基于每个英雄的分布式控制方式(即每个英雄都有各自的决策网络模型),在训练过程中,通过一个超参数 “team spirit” 对每个英雄加权、控制团队合作,并且使用基于团队整体行为的奖励机制来引导队内合作。考虑和其他团队的 对抗 ,在训练过程中使用 自我对抗 的方式(也称为虚拟自我博弈,fictitious self-play, FSP)来提升策略应对复杂环境或者是复杂对抗形势的能力。这种自我对抗的训练方式,早在 2017 年 OpenAI 就基于 Dota2 进行了相关的研究和分析,并发现智能体能够自主地学习掌握到一些复杂的技能;应用在群体对抗中,能够提升团队策略整体对抗的能力。

AlphaStar 是 OpenAI 团队另一个针对星际争霸 2(Starcraft II)研发的游戏 AI,其中在处理多智能体博弈问题的时候,再次利用了 self-play 的思想并进一步改进,提出了一种联盟利用探索的学习方式(league exploiter discovery)。使用多类个体来建立一个联盟(league),这些个体包括主智能体(main agents)、主利用者(main exploiters)、联盟利用者(league exploiters)和历史玩家(past players)四类。这几类智能体的策略会被保存(相当于构建了一个策略池),在该联盟内各类智能体按照一定的匹配规则与策略池中的其他类智能体的策略进行对抗,能够利用之前学会的有效信息并且不断增强策略的能力,解决普通的自我博弈方法所带有的 “循环学习” 问题(“Chasing its tail”)。

图 12:联盟利用者探索(league exploiter discovery)的学习框架。图源:[14]

3.2. 多机器人避碰
 
在现实生活中,多机器人的应用场景主要是通过多个机器人的协作来提升系统的性能和效率,此时多智能体强化学习的关注重点主要在于机器人(智能体)之间的合作。

在移动机器人方面,自主避障导航是底层应用的关键技术,近几年通过强化学习的方法来学习单机器人导航策略这方面的工作成果比较多;而当环境中存在多个移动机器人同时向各自目标点移动的时候,需要进一步考虑机器人之间的相互避碰问题,这也是 MARL 在多机器人导航(multi-robot navigation)领域的主要研究问题。Jia Pan 教授团队 [13] 在控制多机器人避碰导航问题上使用了集中式学习和分布式执行的机制,在学习过程中机器人之间共享奖励、策略网络和值函数网络,通过共享的经验样本来引导相互之间达成 隐式的协作机制

图 13:多机器人向各自目标点移动过程中的相互避碰。仓库物件分发是该问题的常见场景,多个物流机器人在向各自指定的目标点移动过程当中,需要避免和仓库中的其他物流机器人发生碰撞。图源:[15]

另外,不仅有机器人和机器人之间的避碰问题,有一些工作还考虑到了机器人和人之间的避碰问题,如 SA-CADRL(socially aware collision avoidance deep reinforcement learning) 。根据该导航任务的具体设定(即机器人处在人流密集的场景中),在策略训练是引入一些人类社会的规则(socially rule),相当于要让机器人的策略学习到前面 1.2.3 部分提到显式的协调机制,达成机器人与人的行为之间的协作。

图 14:左图展示了相互避碰时的两种对称规则,上面为左手规则,下面为右手规则。右图是在 SA-CADRL 方法中模型引入这样的对称性信息,第一层中的红色段表示当前智能体的观测值,蓝色块表示它考虑的附近三个智能体的观测值,权重矩阵的对称性是考虑了智能体之间遵循一定规则的对称行为。图源:[16]

4. 总结 

多智能体强化学习(MARL)是结合了强化学习和多智能体学习这两个领域的重要研究方向,关注的是多个智能体的序贯决策问题。本篇文章主要基于智能体之间的关系类型,包括完全合作式、完全竞争式和混合关系式,对多智能体强化学习的理论和算法展开介绍,并在应用方面列举了一些相关的研究工作。在未来,对 MARL 方面的研究(包括理论层面和应用层面)仍然需要解决较多的问题,包括理论体系的补充和完善、方法的可复现性、模型参数的训练和计算量、模型的安全性和鲁棒性等 [15]。

参考文献:

[1] Sutton R S, Barto A G. Reinforcement learning: An introduction[M]. MIT press, 2018.
[2] Zhang K , Yang Z , Baar T . Multi-Agent Reinforcement Learning: A Selective Overview of Theories and Algorithms[J]. 2019.
[3] L. Busoniu, R. Babuska, and B. De Schutter, “A comprehensive survey of multi-agent reinforcement learning,” IEEE Transactions on Systems, Man, and Cybernetics, Part C: Applications and Reviews, vol. 38, no. 2, pp. 156–172, Mar. 2008.
[4] Littman M L. Markov games as a framework for multi-agent reinforcement learning[C]. international conference on machine learning, 1994: 157-163.
[5] Hu J, Wellman M P. Nash Q-learning for general-sum stochastic games[J]. Journal of machine learning research, 2003, 4(Nov): 1039-1069.
[6] Caroline Claus and Craig Boutilier. The dynamics of reinforcement learning in cooperative multiagent systems. In Proceedings of the Fifteenth National Conference on Artificial Intelligence, pp. 746–752, 1998.
[7] S. Kapetanakis and D. Kudenko. Reinforcement learning of coordination in cooperative multi-agent systems. American Association for Artificial Intelligence, pp. 326-331, 2002.
[8] Yang Y, Luo R, Li M, et al. Mean Field Multi-Agent Reinforcement Learning[C]. international conference on machine learning, 2018: 5567-5576
[9] Lowe R, Wu Y, Tamar A, et al. Multi-Agent Actor-Critic for Mixed Cooperative-Competitive Environments[C]. neural information processing systems, 2017: 6379-6390.
[10] Foerster J, Farquhar G, Afouras T, et al. Counterfactual Multi-Agent Policy Gradients[J]. arXiv: Artificial Intelligence, 2017.
[11] Sunehag P, Lever G, Gruslys A, et al. Value-Decomposition Networks For Cooperative Multi-Agent Learning.[J]. arXiv: Artificial Intelligence, 2017.
[12] Rashid T, Samvelyan M, De Witt C S, et al. QMIX: Monotonic Value Function Factorisation for Deep Multi-Agent Reinforcement Learning[J]. arXiv: Learning, 2018.
[13] OpenAI Five, OpenAI, https://blog.openai.com/openai-five/, 2018.
[14] Vinyals, O., Babuschkin, I., Czarnecki, W.M. et al. Grandmaster level in StarCraft II using multi-agent reinforcement learning. Nature 575, 350–354 (2019).
[15] P. Long, T. Fan, X. Liao, W. Liu, H. Zhang and J. Pan, "Towards Optimally Decentralized Multi-Robot Collision Avoidance via Deep Reinforcement Learning," 2018 IEEE International Conference on Robotics and Automation (ICRA), Brisbane, QLD, 2018, pp. 6252-6259, doi: 10.1109/ICRA.2018.8461113.
[16] Y. F. Chen, M. Everett, M. Liu and J. P. How, "Socially aware motion planning with deep reinforcement learning," 2017 IEEE/RSJ International Conference on Intelligent Robots and Systems (IROS), Vancouver, BC, 2017, pp. 1343-1350, doi: 10.1109/IROS.2017.8202312.
[17] Hernandez-Leal P , Kartal B , Taylor M E . A survey and critique of multiagent deep reinforcement learning[J]. Autonomous Agents & Multi Agent Systems, 2019(2).

分析师介绍

杨旭韵,工程硕士,主要研究方向是强化学习、模仿学习以及元学习。现从事工业机器人相关的技术研究工作,主要负责机器学习算法落地应用的工作。


关于机器之心全球分析师网络 Synced Global Analyst Network


机器之心全球分析师网络是由机器之心发起的全球性人工智能专业知识共享网络。在过去的四年里,已有数百名来自全球各地的 AI 领域专业学生学者、工程专家、业务专家,利用自己的学业工作之余的闲暇时间,通过线上分享、专栏解读、知识库构建、报告发布、评测及项目咨询等形式与全球 AI 社区共享自己的研究思路、工程经验及行业洞察等专业知识,并从中获得了自身的能力成长、经验积累及职业发展。


感兴趣加入机器之心全球分析师网络?点击阅读原文,提交申请。

登录查看更多
1

相关内容

智能体,顾名思义,就是具有智能的实体,英文名是Agent。
【斯坦福干货书】强化学习基金融领域应用,312页pdf
专知会员服务
134+阅读 · 2020年12月22日
专知会员服务
118+阅读 · 2020年12月17日
【布朗大学David Abel博士论文】强化学习抽象理论,297页pdf
【CORL2020最佳系统论文奖】可扩展多智能体强化学习学校
专知会员服务
18+阅读 · 2020年11月30日
多智能体深度强化学习的若干关键科学问题
专知会员服务
195+阅读 · 2020年5月24日
【圣经书】《强化学习导论(2nd)》电子书与代码,548页pdf
专知会员服务
208+阅读 · 2020年5月22日
《强化学习》简介小册,24页pdf
专知会员服务
282+阅读 · 2020年4月19日
【综述】自动驾驶领域中的强化学习,附18页论文下载
专知会员服务
176+阅读 · 2020年2月8日
深度强化学习策略梯度教程,53页ppt
专知会员服务
184+阅读 · 2020年2月1日
【强化学习】深度强化学习初学者指南
专知会员服务
184+阅读 · 2019年12月14日
多智能体强化学习(MARL)近年研究概览
PaperWeekly
38+阅读 · 2020年3月15日
一文了解强化学习
AI100
15+阅读 · 2018年8月20日
论强化学习的根本缺陷
AI科技评论
11+阅读 · 2018年7月24日
【干货】强化学习介绍
专知
12+阅读 · 2018年6月24日
增强学习算法讲解:马尔可夫决策过程MDP
数据挖掘入门与实战
7+阅读 · 2018年4月22日
一文学习基于蒙特卡罗的强化学习方法(送书)
人工智能头条
7+阅读 · 2018年3月13日
【强化学习】强化学习/增强学习/再励学习介绍
产业智能官
10+阅读 · 2018年2月23日
强化学习族谱
CreateAMind
26+阅读 · 2017年8月2日
Arxiv
7+阅读 · 2018年12月26日
VIP会员
最新内容
《美陆军条例:陆军指挥政策(2026版)》
专知会员服务
8+阅读 · 今天8:10
《军用自主人工智能系统的治理与安全》
专知会员服务
5+阅读 · 今天8:02
《系统簇式多域作战规划范畴论框架》
专知会员服务
9+阅读 · 4月20日
高效视频扩散模型:进展与挑战
专知会员服务
4+阅读 · 4月20日
乌克兰前线的五项创新
专知会员服务
8+阅读 · 4月20日
 军事通信系统与设备的技术演进综述
专知会员服务
7+阅读 · 4月20日
《北约标准:医疗评估手册》174页
专知会员服务
6+阅读 · 4月20日
相关VIP内容
【斯坦福干货书】强化学习基金融领域应用,312页pdf
专知会员服务
134+阅读 · 2020年12月22日
专知会员服务
118+阅读 · 2020年12月17日
【布朗大学David Abel博士论文】强化学习抽象理论,297页pdf
【CORL2020最佳系统论文奖】可扩展多智能体强化学习学校
专知会员服务
18+阅读 · 2020年11月30日
多智能体深度强化学习的若干关键科学问题
专知会员服务
195+阅读 · 2020年5月24日
【圣经书】《强化学习导论(2nd)》电子书与代码,548页pdf
专知会员服务
208+阅读 · 2020年5月22日
《强化学习》简介小册,24页pdf
专知会员服务
282+阅读 · 2020年4月19日
【综述】自动驾驶领域中的强化学习,附18页论文下载
专知会员服务
176+阅读 · 2020年2月8日
深度强化学习策略梯度教程,53页ppt
专知会员服务
184+阅读 · 2020年2月1日
【强化学习】深度强化学习初学者指南
专知会员服务
184+阅读 · 2019年12月14日
相关资讯
多智能体强化学习(MARL)近年研究概览
PaperWeekly
38+阅读 · 2020年3月15日
一文了解强化学习
AI100
15+阅读 · 2018年8月20日
论强化学习的根本缺陷
AI科技评论
11+阅读 · 2018年7月24日
【干货】强化学习介绍
专知
12+阅读 · 2018年6月24日
增强学习算法讲解:马尔可夫决策过程MDP
数据挖掘入门与实战
7+阅读 · 2018年4月22日
一文学习基于蒙特卡罗的强化学习方法(送书)
人工智能头条
7+阅读 · 2018年3月13日
【强化学习】强化学习/增强学习/再励学习介绍
产业智能官
10+阅读 · 2018年2月23日
强化学习族谱
CreateAMind
26+阅读 · 2017年8月2日
Top
微信扫码咨询专知VIP会员