论文浅尝 | 基于图卷积网络的跨语言图谱实体对齐

2020 年 3 月 2 日 开放知识图谱

论文笔记整理:谭亦鸣,东南大学博士生,研究兴趣:知识图谱问答



本文提出了一种基于图卷积网络的跨语言实体对齐方法,通过设计一种属性 embedding 用于 GCN 的训练,发现GCN能同时学习到特征 embedding 和属性 embedding 的信息。实验表明该方法是目前性能最好的的 GCN 对齐模型。

 

来源:IJCAI 2019

链接:

https://www.ijcai.org/proceedings/2019/0929.pdf


动机

在近期的研究工作中, GCN被用来处理一些基于图的学习问题,也有研究者提出基于该模型的跨语言知识图谱实体对齐工作。但这些工作并没有有效的利用图谱的属性信息,且对整体模型带来了负面的影响,这主要是因为对于同一实体,在不同语言上,它的属性存在较大的差异。虽然也有研究者提出异构图注意力网络,提供了节点级与语义级的注意力机制。但这个方法依然没有考虑不同属性带来的影响。

基于上述分析,作者提出利用GCN的聚合能力将属性embedding加入跨语言知识图谱对齐中。


方法

             

图1 描述了本文提出模型的主要框架和流程,待对齐的知识图谱主要提供了两个角度的信息,其一是图谱本身的图结构信息,这个部分被直接输入到GCN中, GCN包含多层网络,其卷积运算过程如以下公式:

             

其中,P是一个n×n邻接矩阵,n表示节点的数量, ,其中 I 是单位阵, 的 diagonal node degree 矩阵,H(l) 表示顶点特征矩阵,其作为第l层网络的输入。

其二,为了提高不同语言实体信息embed到统一的向量空间中的精准性,作者设计了增强的属性embedding方法,用于减少不同语言对等实体之间的差异性。

 

该方法包含以下几个部分:

1. 属性选择

首先对于实体属性出现的数量做降序排列(出现频率越高的属性对于实体的描述越准确),然后将排序后的不同语言的知识图谱属性进行相交。最后,取Top-k的相交属性用于embedding。

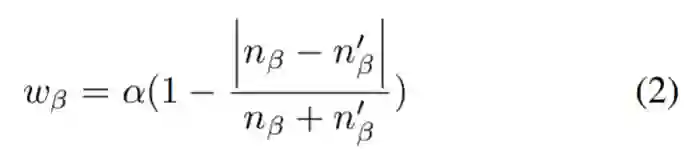
2. 属性加权

为了区分属性的重要性程度,通过以下公式对选定属性进行加权:

             

其中,wβ表示属性β的权重,nβ和n’β表示不同图谱中属性的数量,α表示权重系数,用于在对齐中强化属性所占的重要性。


实验

实验数据

实验使用的数据集为DBP15K,由DBpedia中生成,实验的语言对为中英双语,包含中文->英文方向,及英文->中文方向的对齐。

 

实验结果

 

评价指标使用Hits@1,Hits@10,及Hits@50进行对比,结果如下表:

            

可以看到从统计显著性上取得了的提升,但是从实际匹配准确性上看,距离可视作工具用于双语知识库问答等任务还存在明显不足。


 


 

OpenKG


开放知识图谱(简称 OpenKG)旨在促进中文知识图谱数据的开放与互联,促进知识图谱和语义技术的普及和广泛应用。

点击阅读原文,进入 OpenKG 博客。

登录查看更多
3

相关内容

实体对齐(Entity Alignment)也被称作实体匹配(Entity Matching),是指对于异构数据源知识库中的各个实体,找出属于现实世界中的同一实体。 实体对齐常用的方法是利用实体的属性信息判定不同源实体是否可进行对齐。
近期必读的五篇KDD 2020【图神经网络 (GNN) 】相关论文_Part2
专知会员服务
161+阅读 · 2020年6月30日
【AAAI2020知识图谱论文概述】Knowledge Graphs @ AAAI 2020
专知会员服务
134+阅读 · 2020年2月13日
17篇知识图谱Knowledge Graphs论文 @AAAI2020
专知会员服务
173+阅读 · 2020年2月13日
必读的7篇 IJCAI 2019【图神经网络(GNN)】相关论文
专知会员服务
92+阅读 · 2020年1月10日
论文浅尝 | 基于知识图谱中图卷积神经网络的推荐系统
开放知识图谱
67+阅读 · 2019年8月27日
论文浅尝 | 基于属性嵌入的知识图谱间实体对齐方法
开放知识图谱
30+阅读 · 2019年3月26日
论文浅尝 | 基于知识库的自然语言理解 02#
开放知识图谱
8+阅读 · 2019年2月24日
论文浅尝 | 基于局内去噪和迁移学习的关系抽取
开放知识图谱
16+阅读 · 2018年12月2日
Efficiently Embedding Dynamic Knowledge Graphs
Arxiv
14+阅读 · 2019年10月15日
Self-Attention Graph Pooling
Arxiv
13+阅读 · 2019年6月13日
Arxiv
9+阅读 · 2018年10月18日
Arxiv
9+阅读 · 2018年5月24日
Arxiv
27+阅读 · 2018年4月12日
Arxiv
11+阅读 · 2018年2月4日
VIP会员
最新内容
人工智能在战场行动中的演进及伊朗案例
专知会员服务
2+阅读 · 今天13:08
美AI公司Anthropic推出网络安全模型“Mythos”
专知会员服务
2+阅读 · 今天12:58
【博士论文】面向城市环境的可解释计算机视觉
专知会员服务
0+阅读 · 今天12:57
大语言模型的自改进机制:技术综述与未来展望
专知会员服务
0+阅读 · 今天12:50
《第四代军事特种作战部队选拔与评估》
专知会员服务
1+阅读 · 今天6:23
相关资讯
论文浅尝 | 基于知识图谱中图卷积神经网络的推荐系统
开放知识图谱
67+阅读 · 2019年8月27日
论文浅尝 | 基于属性嵌入的知识图谱间实体对齐方法
开放知识图谱
30+阅读 · 2019年3月26日
论文浅尝 | 基于知识库的自然语言理解 02#
开放知识图谱
8+阅读 · 2019年2月24日
论文浅尝 | 基于局内去噪和迁移学习的关系抽取
开放知识图谱
16+阅读 · 2018年12月2日
相关论文
Efficiently Embedding Dynamic Knowledge Graphs
Arxiv
14+阅读 · 2019年10月15日
Self-Attention Graph Pooling
Arxiv
13+阅读 · 2019年6月13日
Arxiv
9+阅读 · 2018年10月18日
Arxiv
9+阅读 · 2018年5月24日
Arxiv
27+阅读 · 2018年4月12日
Arxiv
11+阅读 · 2018年2月4日
Top
微信扫码咨询专知VIP会员