【赛尔AAAI2021】小样本学习下的多标签分类问题初探

2021 年 1 月 1 日 深度学习自然语言处理
论文名称:Few-shot Learning for Multi-label Intent Detection
论文作者:侯宇泰、赖勇魁、吴禹杉、车万翔、刘挺
原创作者:侯宇泰
论文链接:https://arxiv.org/abs/2010.05256
代码链接:https://github.com/AtmaHou/FewShotMultiLabe
转载出处:哈工大SCIR

摘要

小样本学习(Few-shot Learning)近年来吸引了大量的关注,但是针对多标签问题(Multi-label)的研究还相对较少。在本文中,我们以用户意图检测任务为切入口,研究了的小样本多标签分类问题。对于多标签分类的SOTA方法往往会先估计标签-样本相关性得分,然后使用阈值来选择多个关联的标签。为了在只有几个样本的Few-shot场景下确定合适的阈值,我们首先在数据丰富的多个领域上学习通用阈值设置经验,然后采用一种基于非参数学习的校准(Calibration)将阈值适配到Few-shot的领域上。为了更好地计算标签-样本相关性得分,我们将标签名称嵌入作为表示(Embedding)空间中的锚点,以优化不同类别的表示,使它们在表示空间中更好的彼此分离。在两个数据集上进行的实验表明,所提出的模型在1-shot和5-shot实验均明显优于最强的基线模型(baseline)。

1.Introduction

1.1 背景一:用户意图识别

用户意图识别是任务型对话理解的关键组成部分,它的任务是识别用户输入的话语属于哪一个领域的哪一种意图 [1]。

当下的用户意图识别系统面临着两方面的关键挑战:

  1. 频繁变化的领域和任务需求经常导致数据不足
  2. 用户在一轮对话中经常会同时包含多个意图 [2,3]

图1. 示例:意图理解同时面领域繁多带来数据不足和多标签的挑战

1.2 背景二:多标签分类 & 小样本学习

小样本学习(Few-shot Learning)旨在像人一样利用少量样本完成学习,近年来吸引了大量的关注 [4,5]。

但是针对多标签问题的小样本学习研究还相对较少

1.3 本文研究内容

本文以用户意图检测任务为切入口,研究了的小样本多标签分类问题,并提出了Meta Calibrated Threshold (MCT) 和 Anchored Label Reps (ALR) 从两个角度系统地为小样本多标签学习提供解决方案。

2. Problem Definition

2.1 多标签意图识别

如图2所示,目前State-of-the-art多标签意图识别系统往往使用基于阈值(Threshold)的方法 [3,6,7],其工作流程可以大致分为两步:

  1. 计算样本-标签类别相关性分数
  2. 然后用预设或从数据学习的阈值选择标签

2.2小样本多标签用户意图识别

  1. 观察一个给定的有少量样例的支持集(Support Set)
  2. 预测未见样本(Query Instance)的意图标签

图2. 小样本多标签意图识别框架概览

3. 方法

图3. 我们提出的小样本多标签识别模型

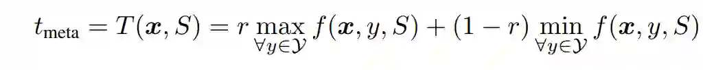
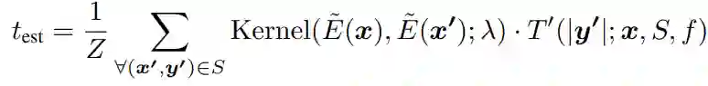
3.1 阈值计算

(1)挑战:

多标签分类任务在小样本情景下主要面临如下挑战:

a. 因为要从数据中学习阈值,现有方法只适用于数据充足情况。小样本情景下,模型很难从几个样本中归纳出阈值;

b. 此外,不同领域间阈值无法直接迁移,难以利用先验知识。

(2)解决方案:

为了解决上述挑战,我们提出Meta Calibrated Threshold (MCT),具体可以分为两步(如图3左边所示):

a. 首先在富数据领域,学习通用的thresholding经验

b. 然后在Few-shot领域上,用Kernel Regression 来用领域内的知识矫正阈值 (Calibration)

这样,我们在估计阈值时,既能迁移先验知识,又能利用领域特有的知识

3.2 样本-标签类别相关度计算

(1)挑战:

如图4所示,经典的小样本方法利用相似度计算样本-标签类别相关性,这在多标签场景下会失效

图4. 经典的基于相似度的小样本学习模型:原型网络

如图3所示,例子中,timelocation两个标签因为support example相同,导致这两个类别由样本得到的表示相同不可分,进而无法进行基于相似度的样本-类别标签相关度计算。

(2)解决方案:

为了解决上述挑战,我们提出了 Anchored Label Reps (ALR)。具体的,如图三右边所示,我们

a. 利用标签名作为锚点来优化Embedding空间学习

b. 利用标签名语义来分开多标签下的类别表示

4. 实验

4.1 主实验结果

实验结果显示,我们的方法在两个数据集上显著的优于最强baseline。同时可以看到,我们的方法很多时候只用小的预训练模型就超过了所有使用大预训练模型的baseline,这在计算资源受限的情景下格外有意义。

表1. 主实验结果。+E 代表使用 Electra-small (14M);+B为 BERT-base (110M)

4.2 实验分析

图5的消融实验显示所提出的ALR和MCT都对最终的效果产生了较大的贡献。

图5. 消融实验

在图6中,我们对Meta Calibrated Threshold中各步骤对最终标签个数准确率的影响进行了探索。结果显示Meta学习和基于Kernel Regression的Calibration过程都会极大地提升最终模型的准确率。

图6. 标签个数准确率结果

参考文献

[1] Young, S.; Gasiˇ c, M.; Thomson, B.; and Williams, J. D. ´ 2013. Pomdp-based statistical spoken dialog systems: A review. In Proc. of the IEEE, volume 101, 1160–1179. IEEE.

[2] Xu, P.; and Sarikaya, R. 2013. Exploiting shared information for multi-intent natural language sentence classification. In Proc. of Interspeech, 3785–3789.

[3] Qin, L.; Xu, X.; Che, W.; and Liu, T. 2020. TD-GIN: Token-level Dynamic Graph-Interactive Network for Joint Multiple Intent Detection and Slot Filling. arXiv preprint arXiv:2004.10087 .

[4] Vinyals, O.; Blundell, C.; Lillicrap, T.; Kavukcuoglu, K.; and Wierstra, D. 2016. Matching networks for one shot learning. In Proc. of NeurIPS, 3630–3638.

[5] Bao, Y.; Wu, M.; Chang, S.; and Barzilay, R. 2020. Few-shot Text Classification with Distributional Signatures. In Proc. of the ICLR.

[6] Xu, G.; Lee, H.; Koo, M.-W.; and Seo, J. 2017. Convolutional neural network using a threshold predictor for multilabel speech act classification. In IEEE international conference on big data and smart computing (BigComp), 126–130.

[7] Gangadharaiah, R.; and Narayanaswamy, B. 2019. Joint Multiple Intent Detection and Slot Labeling for GoalOriented Dialog. In Proc. of the ACL, 564–569.


本期责任编辑:李忠阳
本期编辑:彭   湃



说个正事哈



由于微信平台算法改版,公号内容将不再以时间排序展示,如果大家想第一时间看到我们的推送,强烈建议星标我们和给我们多点点【在看】。星标具体步骤为:

(1)点击页面最上方深度学习自然语言处理”,进入公众号主页。

(2)点击右上角的小点点,在弹出页面点击“设为星标”,就可以啦。

感谢支持,比心



投稿或交流学习,备注:昵称-学校(公司)-方向,进入DL&NLP交流群。

方向有很多:机器学习、深度学习,python,情感分析、意见挖掘、句法分析、机器翻译、人机对话、知识图谱、语音识别等

记得备注呦


推荐两个专辑给大家:
专辑 | 李宏毅人类语言处理2020笔记
专辑 | NLP论文解读
专辑 | 情感分析

整理不易,还望给个在看!

登录查看更多
0

相关内容

小样本学习(Few-Shot Learning,以下简称 FSL )用于解决当可用的数据量比较少时,如何提升神经网络的性能。在 FSL 中,经常用到的一类方法被称为 Meta-learning。和普通的神经网络的训练方法一样,Meta-learning 也包含训练过程和测试过程,但是它的训练过程被称作 Meta-training 和 Meta-testing。
【CVPR2021】DAML:针对开放领域泛化的领域增广元学习方法
【CVPR2021】细粒度多标签分类
专知会员服务
61+阅读 · 2021年3月8日
专知会员服务
23+阅读 · 2021年2月6日
AAAI2021 | 学习预训练图神经网络
专知会员服务
116+阅读 · 2021年1月28日
【AAAI2021】用于多标签图像分类的深度语义词典学习
专知会员服务
15+阅读 · 2020年12月30日
【AAAI2021】小样本学习多标签意图检测
专知会员服务
56+阅读 · 2020年12月8日
【ACMMM2020-北航】协作双路径度量的小样本学习
专知会员服务
29+阅读 · 2020年8月11日
专知会员服务
51+阅读 · 2020年7月16日
【CVPR2020-北京大学】自适应间隔损失的提升小样本学习
专知会员服务
85+阅读 · 2020年6月9日
论文浅尝 | 多标签分类中的元学习
开放知识图谱
6+阅读 · 2019年9月25日
标签间相关性在多标签分类问题中的应用
人工智能前沿讲习班
23+阅读 · 2019年6月5日
基于小样本学习的意图识别冷启动
黑龙江大学自然语言处理实验室
19+阅读 · 2019年5月15日
赛尔原创 | 文本摘要简述
哈工大SCIR
22+阅读 · 2019年3月25日
赛尔原创 | 最新任务型对话数据集大全
哈工大SCIR
9+阅读 · 2018年11月12日
论文浅尝 | 用图网络做小样本学习
开放知识图谱
66+阅读 · 2018年6月30日
赛尔推荐 | 第21期
哈工大SCIR
4+阅读 · 2018年6月1日
【紫冬声音】尬聊求解:多任务联合学习框架
中国自动化学会
5+阅读 · 2018年4月19日
AdarGCN: Adaptive Aggregation GCN for Few-Shot Learning
Meta-Transfer Learning for Few-Shot Learning
Arxiv
4+阅读 · 2019年4月9日
Arxiv
13+阅读 · 2019年1月26日
Arxiv
9+阅读 · 2018年3月28日
VIP会员
最新内容
内省扩散语言模型
专知会员服务
1+阅读 · 今天14:42
国外反无人机系统与技术动态
专知会员服务
2+阅读 · 今天12:48
大规模作战行动中的战术作战评估(研究论文)
专知会员服务
3+阅读 · 今天12:21
未来的海战无人自主系统
专知会员服务
2+阅读 · 今天12:05
美军多域作战现状分析:战略、概念还是幻想?
专知会员服务
4+阅读 · 今天11:52
无人机与反无人机系统(书籍)
专知会员服务
16+阅读 · 今天6:45
美陆军2026条令:安全与机动支援
专知会员服务
6+阅读 · 今天5:49
相关VIP内容
【CVPR2021】DAML:针对开放领域泛化的领域增广元学习方法
【CVPR2021】细粒度多标签分类
专知会员服务
61+阅读 · 2021年3月8日
专知会员服务
23+阅读 · 2021年2月6日
AAAI2021 | 学习预训练图神经网络
专知会员服务
116+阅读 · 2021年1月28日
【AAAI2021】用于多标签图像分类的深度语义词典学习
专知会员服务
15+阅读 · 2020年12月30日
【AAAI2021】小样本学习多标签意图检测
专知会员服务
56+阅读 · 2020年12月8日
【ACMMM2020-北航】协作双路径度量的小样本学习
专知会员服务
29+阅读 · 2020年8月11日
专知会员服务
51+阅读 · 2020年7月16日
【CVPR2020-北京大学】自适应间隔损失的提升小样本学习
专知会员服务
85+阅读 · 2020年6月9日
相关资讯
论文浅尝 | 多标签分类中的元学习
开放知识图谱
6+阅读 · 2019年9月25日
标签间相关性在多标签分类问题中的应用
人工智能前沿讲习班
23+阅读 · 2019年6月5日
基于小样本学习的意图识别冷启动
黑龙江大学自然语言处理实验室
19+阅读 · 2019年5月15日
赛尔原创 | 文本摘要简述
哈工大SCIR
22+阅读 · 2019年3月25日
赛尔原创 | 最新任务型对话数据集大全
哈工大SCIR
9+阅读 · 2018年11月12日
论文浅尝 | 用图网络做小样本学习
开放知识图谱
66+阅读 · 2018年6月30日
赛尔推荐 | 第21期
哈工大SCIR
4+阅读 · 2018年6月1日
【紫冬声音】尬聊求解:多任务联合学习框架
中国自动化学会
5+阅读 · 2018年4月19日
Top
微信扫码咨询专知VIP会员