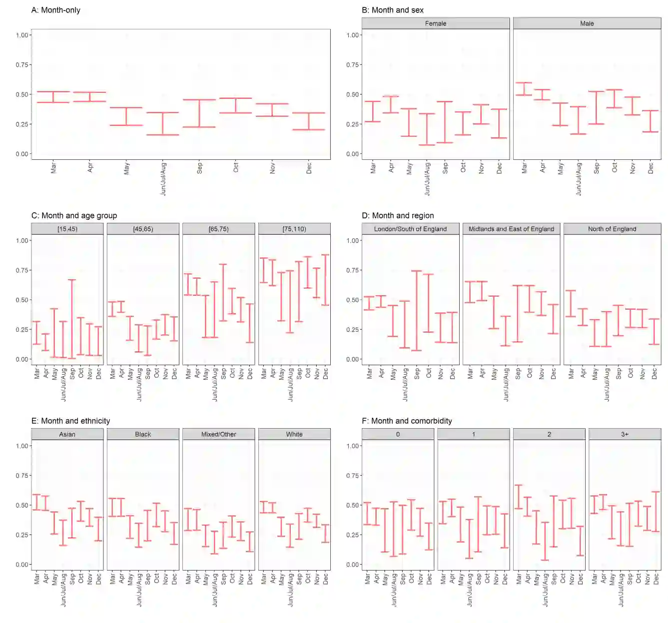
Objectives: Robust outcome information for patients hospitalised for COVID-19 in England is lacking. We estimate monthly trends, accounting for baseline characteristics, for a cohort of hospitalised patients during 2020. Design: Retrospective cohort study using parametric multi-state mixture models. Setting: Hospital and ICU admissions at 31 National Health Service trusts in England collected as part of Public Health England's surveillance of Severe Acute Respiratory Infections (SARI-Watch) and linked to data on deaths. Participants: 20,785 adults (aged 15+) admitted with COVID-19 between 15 March and 31 December 2020. Outcome measures: Estimated monthly trends in hospitalised case-fatality risk (HFR), probability of ICU admission, and lengths of stay, by sex, age, region of residence, ethnicity and number of comorbidities, accounting for missing data and censored outcomes. Results: Between March and June/July/August 2020, the estimated HFR reduced from 31.9% (95% confidence interval 30.3-33.5%) to 10.9% (9.4-12.7%). HFR subsequently increased to 21.6% (18.4-25.5%) in September, rising steadily to 25.7% (23.0-29.2%) in December, with the steepest increases estimated for older patients and those with multiple comorbidities. Probability of ICU admission reduced from 13.9% (12.8-15.2%) in March to 6.2% (5.3-7.1%) in May, rose to 14.2% (11.1-17.2%) in September and fell to 9.6% (8.6-10.9%) in December. Among non-ICU patients, estimated median stay from hospital admission to death increased during the study period (from 6.6 to 12.3 days), as did median stay until discharge (from 6.1 to 9.3 days). Conclusions: Initial improvements in patient outcomes reflect improvements in clinical practice, availability of new therapies, and increased ward capacity. Significantly poorer outcomes were associated with older age, multimorbidity and admission at a time of increased hospital burden.


翻译:目标:英格兰为COVID-19住院的病人缺乏强有力的结果信息。我们估计了2020年一组住院病人的月度趋势,其中考虑到基线特点。设计:使用参数性多州混合模型进行回溯式群群研究。设置:英格兰31个国家卫生局信托基金的医院和ICU住院人数,这是英格兰公共卫生局监测严重急性呼吸系统感染(SAI观察)的一部分,与死亡数据相关。参与者:2020年3月15日至12月31日期间,20,785个成人(15岁以上)接受了COVID-19的月度趋势,其中考虑到基准特点。 成果措施:医院住院病例死亡率风险(HFR)的月度趋势估计(HFR)、接受ICU的概率以及居住时间长度,按性别、年龄、居住区、族裔和疾病数量分列的数据,其中缺少数据,结果:在2020年3月和7月/8月之间,HFRR的住院死亡率估计从31.9%(从95%住院住院病人的接受率上升为30.3%到10.8%)下降到10.9% (9.8% ) 。随后,死亡率上升为23.6 %,截至12月25.2% 的住院死亡率为23.2%。

0
下载
关闭预览

相关内容

Keras François Chollet 《Deep Learning with Python 》, 386页pdf
专知会员服务
164+阅读 · 2019年10月12日
【新书】Python编程基础,669页pdf
专知会员服务
197+阅读 · 2019年10月10日
MIT新书《强化学习与最优控制》
专知会员服务
282+阅读 · 2019年10月9日
最新BERT相关论文清单,BERT-related Papers
专知会员服务
53+阅读 · 2019年9月29日
CCF C类 | DSAA 2019 诚邀稿件
Call4Papers
6+阅读 · 2019年5月13日
计算机 | CCF推荐期刊专刊信息5条
Call4Papers
3+阅读 · 2019年4月10日
人工智能 | ISAIR 2019诚邀稿件(推荐SCI期刊)
Call4Papers
6+阅读 · 2019年4月1日
【TED】生命中的每一年的智慧
英语演讲视频每日一推
10+阅读 · 2019年1月29日
【TED】什么让我们生病
英语演讲视频每日一推
7+阅读 · 2019年1月23日
大数据 | 顶级SCI期刊专刊/国际会议信息7条
Call4Papers
10+阅读 · 2018年12月29日
A Technical Overview of AI & ML in 2018 & Trends for 2019
待字闺中
18+阅读 · 2018年12月24日
【计算机类】期刊专刊/国际会议截稿信息6条
Call4Papers
3+阅读 · 2017年10月13日
VIP会员
最新内容
《系统簇式多域作战规划范畴论框架》
专知会员服务
2+阅读 · 今天14:54
高效视频扩散模型:进展与挑战
专知会员服务
0+阅读 · 今天13:34
乌克兰前线的五项创新
专知会员服务
6+阅读 · 今天6:14
 军事通信系统与设备的技术演进综述
专知会员服务
4+阅读 · 今天5:59
《北约标准:医疗评估手册》174页
专知会员服务
4+阅读 · 今天5:51
《提升生成模型的安全性与保障》博士论文
专知会员服务
4+阅读 · 今天5:47
美国当前高超音速导弹发展概述
专知会员服务
4+阅读 · 4月19日
无人机蜂群建模与仿真方法
专知会员服务
13+阅读 · 4月19日
相关资讯
CCF C类 | DSAA 2019 诚邀稿件
Call4Papers
6+阅读 · 2019年5月13日
计算机 | CCF推荐期刊专刊信息5条
Call4Papers
3+阅读 · 2019年4月10日
人工智能 | ISAIR 2019诚邀稿件(推荐SCI期刊)
Call4Papers
6+阅读 · 2019年4月1日
【TED】生命中的每一年的智慧
英语演讲视频每日一推
10+阅读 · 2019年1月29日
【TED】什么让我们生病
英语演讲视频每日一推
7+阅读 · 2019年1月23日
大数据 | 顶级SCI期刊专刊/国际会议信息7条
Call4Papers
10+阅读 · 2018年12月29日
A Technical Overview of AI & ML in 2018 & Trends for 2019
待字闺中
18+阅读 · 2018年12月24日
【计算机类】期刊专刊/国际会议截稿信息6条
Call4Papers
3+阅读 · 2017年10月13日
Top
微信扫码咨询专知VIP会员