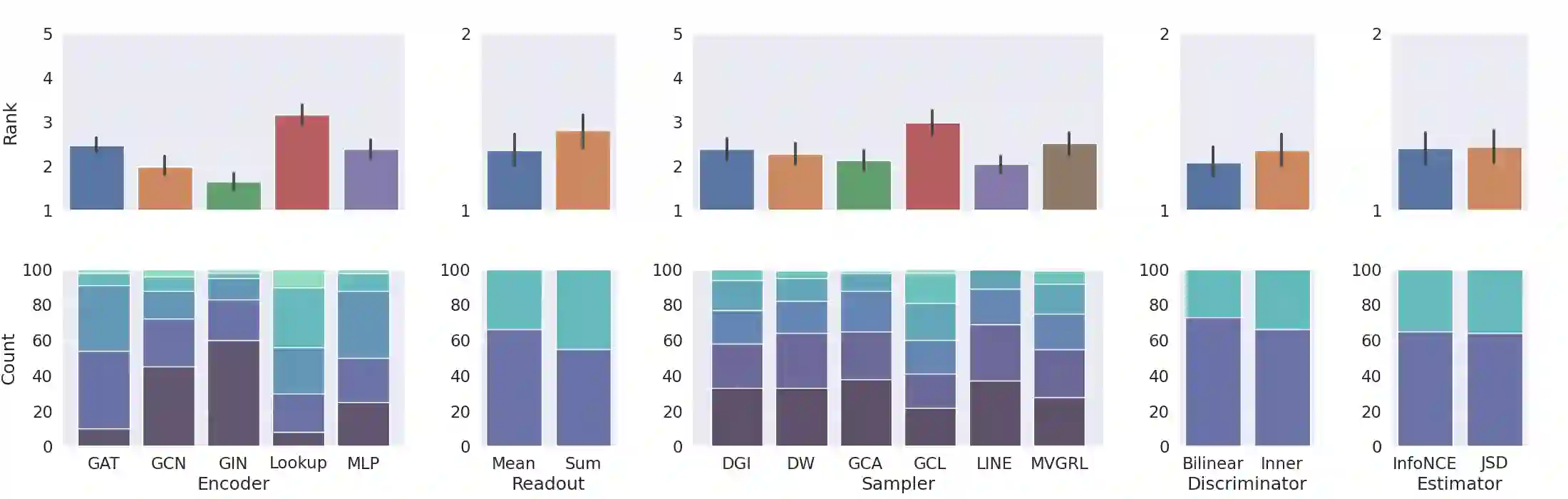
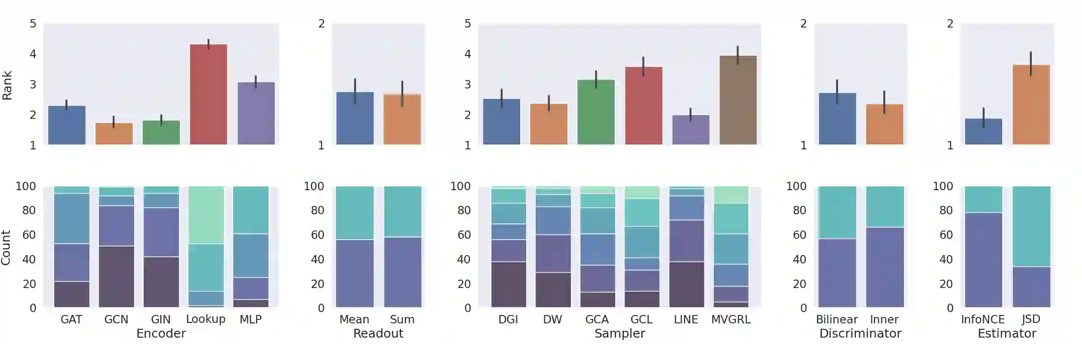
The recent emergence of contrastive learning approaches facilitates the application on graph representation learning (GRL), introducing graph contrastive learning (GCL) into the literature. These methods contrast semantically similar and dissimilar sample pairs to encode the semantics into node or graph embeddings. However, most existing works only performed \textbf{model-level} evaluation, and did not explore the combination space of modules for more comprehensive and systematic studies. For effective \textbf{module-level} evaluation, we propose a framework that decomposes GCL models into four modules: (1) a \textbf{sampler} to generate anchor, positive and negative data samples (nodes or graphs); (2) an \textbf{encoder} and a \textbf{readout} function to get sample embeddings; (3) a \textbf{discriminator} to score each sample pair (anchor-positive and anchor-negative); and (4) an \textbf{estimator} to define the loss function. Based on this framework, we conduct controlled experiments over a wide range of architectural designs and hyperparameter settings on node and graph classification tasks. Specifically, we manage to quantify the impact of a single module, investigate the interaction between modules, and compare the overall performance with current model architectures. Our key findings include a set of module-level guidelines for GCL, e.g., simple samplers from LINE and DeepWalk are strong and robust; an MLP encoder associated with Sum readout could achieve competitive performance on graph classification. Finally, we release our implementations and results as OpenGCL, a modularized toolkit that allows convenient reproduction, standard model and module evaluation, and easy extension. OpenGCL is available at \url{https://github.com/thunlp/OpenGCL}.


翻译:最近出现了对比式学习方法,这有利于在图形演示学习(GRL)上的应用,在文献中引入图形对比学习(GCL) 。这些方法在词义上比较了相似和不同的样本配对, 将语义输入到节点或图形嵌入中。 然而, 大部分现有作品只进行了\ textbf{ 模版级的评审, 并且没有探索模块的组合空间, 以便进行更全面和系统的研究。 对于有效的图形演示学习( GRL), 我们提议了一个框架, 将 GCL 模型转换成四个模块:(1) 一种 文本/ 对比性学习 (GC) 。 这些方法在语义上比较相似, 以生成恒定、 正反的数据样本样本样本样本样本样本样本样本样本样本样本样本( anockor- sick- national) 。 我们从这个框架开始, 以正反向和反偏差的样本样本样本样本样本模型模型, 将我们用直径直径L 进行测试, 和直径直径的模型分析, 我们用直径直到直径的模型操作的模型操作的模型, 分析模型的模型, 分析到直到直径直径直到直到直到直径的模型的模型的模的模型的模的模的模型, 。

0
下载
关闭预览

相关内容

【干货书】真实机器学习,264页pdf,Real-World Machine Learning
100+篇《自监督学习(Self-Supervised Learning)》论文最新合集
专知会员服务
167+阅读 · 2020年3月18日
《DeepGCNs: Making GCNs Go as Deep as CNNs》
专知会员服务
32+阅读 · 2019年10月17日
强化学习最新教程,17页pdf
专知会员服务
182+阅读 · 2019年10月11日
【SIGGRAPH2019】TensorFlow 2.0深度学习计算机图形学应用
专知会员服务
41+阅读 · 2019年10月9日
ACM MM 2022 Call for Papers
CCF多媒体专委会
5+阅读 · 2022年3月29日
【ICIG2021】Check out the hot new trailer of ICIG2021 Symposium9
中国图象图形学学会CSIG
0+阅读 · 2021年12月17日
【ICIG2021】Check out the hot new trailer of ICIG2021 Symposium4
中国图象图形学学会CSIG
0+阅读 · 2021年11月10日
【ICIG2021】Check out the hot new trailer of ICIG2021 Symposium3
中国图象图形学学会CSIG
0+阅读 · 2021年11月9日
【ICIG2021】Check out the hot new trailer of ICIG2021 Symposium2
中国图象图形学学会CSIG
0+阅读 · 2021年11月8日
【ICIG2021】Latest News & Announcements of the Industry Talk1
中国图象图形学学会CSIG
0+阅读 · 2021年7月28日
Hierarchically Structured Meta-learning
CreateAMind
27+阅读 · 2019年5月22日
Transferring Knowledge across Learning Processes
CreateAMind
29+阅读 · 2019年5月18日
Unsupervised Learning via Meta-Learning
CreateAMind
44+阅读 · 2019年1月3日
A Technical Overview of AI & ML in 2018 & Trends for 2019
待字闺中
18+阅读 · 2018年12月24日
国家自然科学基金
0+阅读 · 2015年12月31日
国家自然科学基金
0+阅读 · 2015年12月31日
国家自然科学基金
2+阅读 · 2015年12月31日
国家自然科学基金
0+阅读 · 2015年12月31日
国家自然科学基金
0+阅读 · 2013年12月31日
国家自然科学基金
0+阅读 · 2012年12月31日
国家自然科学基金
0+阅读 · 2009年12月31日
国家自然科学基金
1+阅读 · 2008年12月31日
国家自然科学基金
0+阅读 · 2008年12月31日
Arxiv
13+阅读 · 2021年10月22日
Arxiv
14+阅读 · 2021年3月10日
Arxiv
38+阅读 · 2020年12月2日
Arxiv
31+阅读 · 2020年9月21日
Attentive Graph Neural Networks for Few-Shot Learning
Arxiv
40+阅读 · 2020年7月14日
VIP会员
最新内容
《系统簇式多域作战规划范畴论框架》
专知会员服务
2+阅读 · 今天14:54
高效视频扩散模型:进展与挑战
专知会员服务
0+阅读 · 今天13:34
乌克兰前线的五项创新
专知会员服务
6+阅读 · 今天6:14
 军事通信系统与设备的技术演进综述
专知会员服务
4+阅读 · 今天5:59
《北约标准:医疗评估手册》174页
专知会员服务
4+阅读 · 今天5:51
《提升生成模型的安全性与保障》博士论文
专知会员服务
4+阅读 · 今天5:47
美国当前高超音速导弹发展概述
专知会员服务
4+阅读 · 4月19日
无人机蜂群建模与仿真方法
专知会员服务
13+阅读 · 4月19日
相关资讯
ACM MM 2022 Call for Papers
CCF多媒体专委会
5+阅读 · 2022年3月29日
【ICIG2021】Check out the hot new trailer of ICIG2021 Symposium9
中国图象图形学学会CSIG
0+阅读 · 2021年12月17日
【ICIG2021】Check out the hot new trailer of ICIG2021 Symposium4
中国图象图形学学会CSIG
0+阅读 · 2021年11月10日
【ICIG2021】Check out the hot new trailer of ICIG2021 Symposium3
中国图象图形学学会CSIG
0+阅读 · 2021年11月9日
【ICIG2021】Check out the hot new trailer of ICIG2021 Symposium2
中国图象图形学学会CSIG
0+阅读 · 2021年11月8日
【ICIG2021】Latest News & Announcements of the Industry Talk1
中国图象图形学学会CSIG
0+阅读 · 2021年7月28日
Hierarchically Structured Meta-learning
CreateAMind
27+阅读 · 2019年5月22日
Transferring Knowledge across Learning Processes
CreateAMind
29+阅读 · 2019年5月18日
Unsupervised Learning via Meta-Learning
CreateAMind
44+阅读 · 2019年1月3日
A Technical Overview of AI & ML in 2018 & Trends for 2019
待字闺中
18+阅读 · 2018年12月24日
相关论文
相关基金
国家自然科学基金
0+阅读 · 2015年12月31日
国家自然科学基金
0+阅读 · 2015年12月31日
国家自然科学基金
2+阅读 · 2015年12月31日
国家自然科学基金
0+阅读 · 2015年12月31日
国家自然科学基金
0+阅读 · 2013年12月31日
国家自然科学基金
0+阅读 · 2012年12月31日
国家自然科学基金
0+阅读 · 2009年12月31日
国家自然科学基金
1+阅读 · 2008年12月31日
国家自然科学基金
0+阅读 · 2008年12月31日
Top
微信扫码咨询专知VIP会员