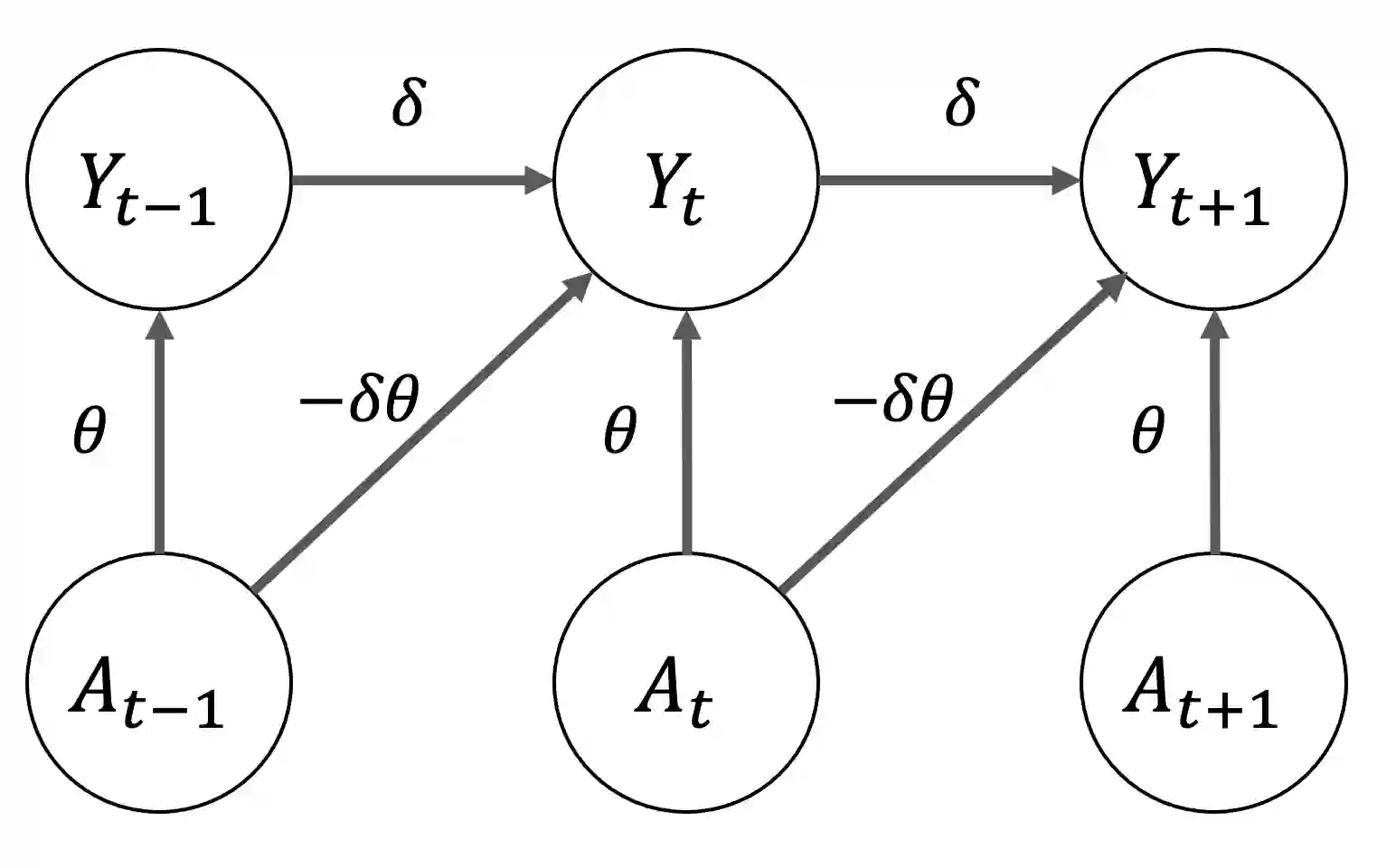
Autoregressive models are widely used for the analysis of time-series data, but they remain underutilized when estimating effects of interventions. This is in part due to endogeneity of the lagged outcome with any intervention of interest, which creates difficulty interpreting model coefficients. These problems are only exacerbated in nonlinear or nonadditive models that are common when studying crime, mortality, or disease. In this paper, we explore the use of negative binomial autoregressive models when estimating the effects of interventions on count data. We derive a simple approximation that facilitates direct interpretation of model parameters under any order autoregressive model. We illustrate the approach using an empirical simulation study using 36 years of state-level firearm mortality data from the United States and use the approach to estimate the effect of child access prevention laws on firearm mortality.


翻译:在分析时间序列数据时,广泛使用自动递减模型,但在估计干预效果时,这些模型仍然没有得到充分利用,部分原因是滞后结果与任何感兴趣的干预的内在性,这在解释模型系数方面造成了困难。这些问题仅在研究犯罪、死亡或疾病时常见的非线性或非补充模型中更加严重。在本文件中,我们探讨在估计干预对统计数据的影响时使用负二进制自动递减模型。我们得出一个简单的近似法,便于根据任何顺序自动递减模型直接解释模型参数。我们用美国36年的州一级火器死亡率数据进行经验模拟研究,并使用这一方法估计防止儿童接触法律对枪支死亡率的影响。

0
下载
关闭预览

相关内容

专知会员服务
124+阅读 · 2020年9月8日
Linux导论,Introduction to Linux,96页ppt
专知会员服务
82+阅读 · 2020年7月26日
因果图,Causal Graphs,52页ppt
专知会员服务
253+阅读 · 2020年4月19日
专知会员服务
61+阅读 · 2020年3月19日
专知会员服务
119+阅读 · 2019年12月24日
最新BERT相关论文清单,BERT-related Papers
专知会员服务
53+阅读 · 2019年9月29日
利用动态深度学习预测金融时间序列基于Python
量化投资与机器学习
18+阅读 · 2018年10月30日
已删除
清华大学研究生教育
3+阅读 · 2018年6月30日
Hierarchical Disentangled Representations
CreateAMind
4+阅读 · 2018年4月15日
A Probe into Understanding GAN and VAE models
Arxiv
9+阅读 · 2018年12月13日
VIP会员
最新内容
《美陆军条例:陆军指挥政策(2026版)》
专知会员服务
6+阅读 · 今天8:10
《军用自主人工智能系统的治理与安全》
专知会员服务
5+阅读 · 今天8:02
《系统簇式多域作战规划范畴论框架》
专知会员服务
8+阅读 · 4月20日
高效视频扩散模型:进展与挑战
专知会员服务
4+阅读 · 4月20日
乌克兰前线的五项创新
专知会员服务
8+阅读 · 4月20日
 军事通信系统与设备的技术演进综述
专知会员服务
7+阅读 · 4月20日
《北约标准:医疗评估手册》174页
专知会员服务
6+阅读 · 4月20日
相关VIP内容
专知会员服务
124+阅读 · 2020年9月8日
Linux导论,Introduction to Linux,96页ppt
专知会员服务
82+阅读 · 2020年7月26日
因果图,Causal Graphs,52页ppt
专知会员服务
253+阅读 · 2020年4月19日
专知会员服务
61+阅读 · 2020年3月19日
专知会员服务
119+阅读 · 2019年12月24日
最新BERT相关论文清单,BERT-related Papers
专知会员服务
53+阅读 · 2019年9月29日
相关资讯
利用动态深度学习预测金融时间序列基于Python
量化投资与机器学习
18+阅读 · 2018年10月30日
已删除
清华大学研究生教育
3+阅读 · 2018年6月30日
Hierarchical Disentangled Representations
CreateAMind
4+阅读 · 2018年4月15日
Top
微信扫码咨询专知VIP会员