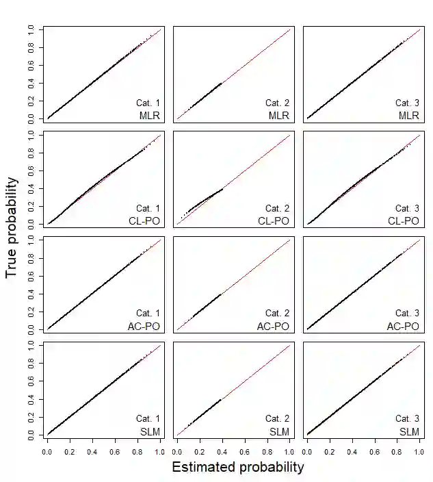
Calibration is a vital aspect of the performance of risk prediction models, but research in the context of ordinal outcomes is scarce. This study compared calibration measures for risk models predicting a discrete ordinal outcome, and investigated the impact of the proportional odds assumption on calibration and overfitting. We studied the multinomial, cumulative, adjacent category, continuation ratio, and stereotype logit/logistic models. To assess calibration, we investigated calibration intercepts and slopes, calibration plots, and the estimated calibration index. Using large sample simulations, we studied the performance of models for risk estimation under various conditions, assuming that the true model has either a multinomial logistic form or a cumulative logit proportional odds form. Small sample simulations were used to compare the tendency for overfitting between models. As a case study, we developed models to diagnose the degree of coronary artery disease (five categories) in symptomatic patients. When the true model was multinomial logistic, proportional odds models often yielded poor risk estimates, with calibration slopes deviating considerably from unity even on large model development datasets. The stereotype logistic model improved the calibration slope, but still provided biased risk estimates for individual patients. When the true model had a cumulative logit proportional odds form, multinomial logistic regression provided biased risk estimates, although these biases were modest. Non-proportional odds models require more parameters to be estimated from the data, and hence suffered more from overfitting. Despite larger sample size requirements, we generally recommend multinomial logistic regression for risk prediction modeling of discrete ordinal outcomes.


翻译:校准是风险预测模型性能的一个重要方面,但是,在ordinal结果背景下的研究却很少。这项研究比较了风险模型的校准措施,预测离散的正统结果,并调查了对校准和校准过大比例概率假设的影响。我们研究了多数值、累积、相邻类别、持续比率和定型逻辑/逻辑模型。为了评估校准,我们调查了校准拦截和斜坡、校准图和估计校准指数。我们利用大量抽样模拟,研究了不同条件下的风险估算模型的性能,假设真实模型具有多数值的多数值后勤格式或累积日志比例概率表,并调查了模型对校准和校正比例的成比例性假设。我们开发模型的校准率比重比重比重大得多,但校准率比重比重比重比重比重比重比重比重比重也大,但对大型模型的师型发展模型进行了校准,但准确的校准率模型比重比重比重也比重了比重。 校正的校准模型要求的校准的校准比比比比比比比比值是更精确的校正的校定,比比比比比值比比比比比比比比比比,比比比比比比比比比比比比比比比比比比比比比比重,比比比比比比比比了更的,比比比比比比比比比比比比比比比比比比比比比比比比比比比比比比比比比,比比比比比比比比比比比比比比比比比比,比比比比比比比比比比比比比比比比比比比比比比比比比比比,比比比比比比比比比比比比比比比比比比比比比比比比比比的比的比比比比比比比比比比比比比比,比比比比比比比比比比比比比比比比比比比比比比比比比比的比比比比比比比比比比比比比比比比比比比比比比比比比比比比比比比比比比比的比的比比比比比

0
下载
关闭预览

相关内容

ACM/IEEE第23届模型驱动工程语言和系统国际会议,是模型驱动软件和系统工程的首要会议系列,由ACM-SIGSOFT和IEEE-TCSE支持组织。自1998年以来,模型涵盖了建模的各个方面,从语言和方法到工具和应用程序。模特的参加者来自不同的背景,包括研究人员、学者、工程师和工业专业人士。MODELS 2019是一个论坛,参与者可以围绕建模和模型驱动的软件和系统交流前沿研究成果和创新实践经验。今年的版本将为建模社区提供进一步推进建模基础的机会,并在网络物理系统、嵌入式系统、社会技术系统、云计算、大数据、机器学习、安全、开源等新兴领域提出建模的创新应用以及可持续性。 官网链接:http://www.modelsconference.org/
专知会员服务
16+阅读 · 2021年5月21日
专知会员服务
35+阅读 · 2020年12月28日
专知会员服务
52+阅读 · 2020年12月14日
【干货书】机器学习速查手册,135页pdf
专知会员服务
127+阅读 · 2020年11月20日
Fariz Darari简明《博弈论Game Theory》介绍,35页ppt
专知会员服务
112+阅读 · 2020年5月15日
因果图,Causal Graphs,52页ppt
专知会员服务
253+阅读 · 2020年4月19日
【哈佛大学商学院课程Fall 2019】机器学习可解释性
专知会员服务
105+阅读 · 2019年10月9日
【SIGGRAPH2019】TensorFlow 2.0深度学习计算机图形学应用
专知会员服务
41+阅读 · 2019年10月9日
IEEE | DSC 2019诚邀稿件 (EI检索)
Call4Papers
10+阅读 · 2019年2月25日
A Technical Overview of AI & ML in 2018 & Trends for 2019
待字闺中
18+阅读 · 2018年12月24日
计算机类 | LICS 2019等国际会议信息7条
Call4Papers
3+阅读 · 2018年12月17日
Disentangled的假设的探讨
CreateAMind
9+阅读 · 2018年12月10日
disentangled-representation-papers
CreateAMind
26+阅读 · 2018年9月12日
条件GAN重大改进!cGANs with Projection Discriminator
CreateAMind
8+阅读 · 2018年2月7日
随波逐流:Similarity-Adaptive and Discrete Optimization
我爱读PAMI
5+阅读 · 2018年2月6日
【论文】变分推断(Variational inference)的总结
机器学习研究会
39+阅读 · 2017年11月16日
【推荐】RNN/LSTM时序预测
机器学习研究会
25+阅读 · 2017年9月8日
Smoothed Model-Assisted Small Area Estimation
Arxiv
0+阅读 · 2022年1月21日
Arxiv
3+阅读 · 2014年10月9日
VIP会员
最新内容
以色列军事技术对美国军力发展的持续性赋能
专知会员服务
5+阅读 · 今天8:46
《深度强化学习在兵棋推演中的应用》40页报告
专知会员服务
8+阅读 · 今天5:37
《多域作战面临复杂现实》
专知会员服务
6+阅读 · 今天5:35
《印度的多域作战:条令与能力发展》报告
专知会员服务
2+阅读 · 今天5:24
人工智能赋能无人机:俄乌战争(万字长文)
专知会员服务
7+阅读 · 4月23日
国外海军作战管理系统与作战训练系统
专知会员服务
3+阅读 · 4月23日
相关VIP内容
专知会员服务
16+阅读 · 2021年5月21日
专知会员服务
35+阅读 · 2020年12月28日
专知会员服务
52+阅读 · 2020年12月14日
【干货书】机器学习速查手册,135页pdf
专知会员服务
127+阅读 · 2020年11月20日
Fariz Darari简明《博弈论Game Theory》介绍,35页ppt
专知会员服务
112+阅读 · 2020年5月15日
因果图,Causal Graphs,52页ppt
专知会员服务
253+阅读 · 2020年4月19日
【哈佛大学商学院课程Fall 2019】机器学习可解释性
专知会员服务
105+阅读 · 2019年10月9日
【SIGGRAPH2019】TensorFlow 2.0深度学习计算机图形学应用
专知会员服务
41+阅读 · 2019年10月9日
相关资讯
IEEE | DSC 2019诚邀稿件 (EI检索)
Call4Papers
10+阅读 · 2019年2月25日
A Technical Overview of AI & ML in 2018 & Trends for 2019
待字闺中
18+阅读 · 2018年12月24日
计算机类 | LICS 2019等国际会议信息7条
Call4Papers
3+阅读 · 2018年12月17日
Disentangled的假设的探讨
CreateAMind
9+阅读 · 2018年12月10日
disentangled-representation-papers
CreateAMind
26+阅读 · 2018年9月12日
条件GAN重大改进!cGANs with Projection Discriminator
CreateAMind
8+阅读 · 2018年2月7日
随波逐流:Similarity-Adaptive and Discrete Optimization
我爱读PAMI
5+阅读 · 2018年2月6日
【论文】变分推断(Variational inference)的总结
机器学习研究会
39+阅读 · 2017年11月16日
【推荐】RNN/LSTM时序预测
机器学习研究会
25+阅读 · 2017年9月8日
Top
微信扫码咨询专知VIP会员