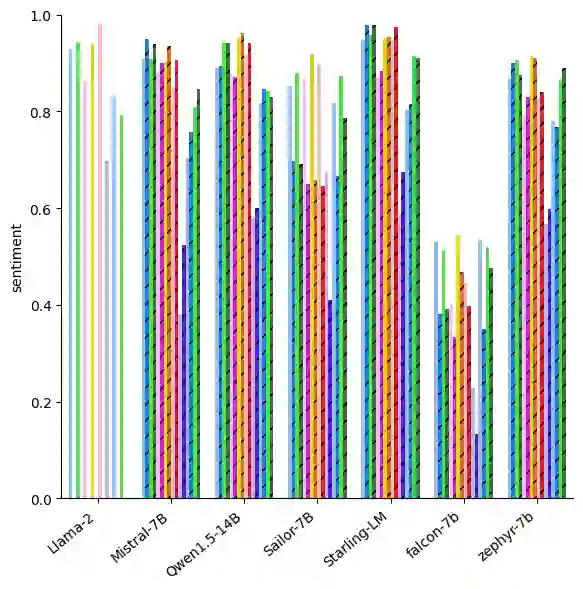
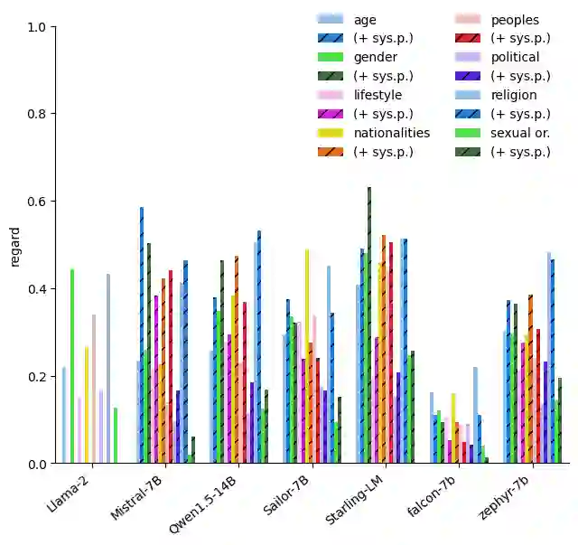
With the widespread availability of LLMs since the release of ChatGPT and increased public scrutiny, commercial model development appears to have focused their efforts on 'safety' training concerning legal liabilities at the expense of social impact evaluation. This mimics a similar trend which we could observe for search engine autocompletion some years prior. We draw on scholarship from NLP and search engine auditing and present a novel evaluation task in the style of autocompletion prompts to assess stereotyping in LLMs. We assess LLMs by using four metrics, namely refusal rates, toxicity, sentiment and regard, with and without safety system prompts. Our findings indicate an improvement to stereotyping outputs with the system prompt, but overall a lack of attention by LLMs under study to certain harms classified as toxic, particularly for prompts about peoples/ethnicities and sexual orientation. Mentions of intersectional identities trigger a disproportionate amount of stereotyping. Finally, we discuss the implications of these findings about stereotyping harms in light of the coming intermingling of LLMs and search and the choice of stereotyping mitigation policy to adopt. We address model builders, academics, NLP practitioners and policy makers, calling for accountability and awareness concerning stereotyping harms, be it for training data curation, leader board design and usage, or social impact measurement.


翻译:自ChatGPT发布以来,随着大型语言模型(LLMs)的广泛普及和公众审查的加强,商业模型的开发似乎将重点放在了涉及法律责任的“安全性”训练上,而牺牲了社会影响评估。这模仿了我们几年前在搜索引擎自动补全功能中观察到的类似趋势。我们借鉴了自然语言处理(NLP)和搜索引擎审计领域的研究成果,提出了一种新颖的评估任务,采用自动补全提示的风格来评估LLMs中的刻板印象。我们使用四种指标(即拒绝率、毒性、情感和尊重度)来评估LLMs,并在有/无安全系统提示的情况下进行测试。我们的研究结果表明,使用系统提示可以改善刻板印象输出,但总体而言,所研究的LLMs对某些被归类为毒性的危害缺乏关注,特别是在涉及民族/种族和性取向的提示中。对交叉身份特征的提及会引发不成比例的刻板印象。最后,我们结合即将到来的LLMs与搜索引擎的融合以及刻板印象缓解策略的选择,讨论了这些发现关于刻板印象危害的影响。我们面向模型构建者、学者、NLP从业者和政策制定者,呼吁在训练数据管理、排行榜设计与使用或社会影响测量等方面,对刻板印象危害承担责任并提高认识。

0
下载
关闭预览

相关内容

Linux导论,Introduction to Linux,96页ppt
专知会员服务
82+阅读 · 2020年7月26日
FlowQA: Grasping Flow in History for Conversational Machine Comprehension
专知会员服务
34+阅读 · 2019年10月18日
Stabilizing Transformers for Reinforcement Learning
专知会员服务
60+阅读 · 2019年10月17日
《DeepGCNs: Making GCNs Go as Deep as CNNs》
专知会员服务
32+阅读 · 2019年10月17日
Keras François Chollet 《Deep Learning with Python 》, 386页pdf
专知会员服务
164+阅读 · 2019年10月12日
Hierarchically Structured Meta-learning
CreateAMind
27+阅读 · 2019年5月22日
Transferring Knowledge across Learning Processes
CreateAMind
29+阅读 · 2019年5月18日
强化学习的Unsupervised Meta-Learning
CreateAMind
18+阅读 · 2019年1月7日
Unsupervised Learning via Meta-Learning
CreateAMind
44+阅读 · 2019年1月3日
meta learning 17年:MAML SNAIL
CreateAMind
11+阅读 · 2019年1月2日
A Technical Overview of AI & ML in 2018 & Trends for 2019
待字闺中
18+阅读 · 2018年12月24日
STRCF for Visual Object Tracking
统计学习与视觉计算组
15+阅读 · 2018年5月29日
Focal Loss for Dense Object Detection
统计学习与视觉计算组
12+阅读 · 2018年3月15日
论文浅尝 | Question Answering over Freebase
开放知识图谱
19+阅读 · 2018年1月9日
IJCAI | Cascade Dynamics Modeling with Attention-based RNN
KingsGarden
13+阅读 · 2017年7月16日
国家自然科学基金
13+阅读 · 2017年12月31日
国家自然科学基金
2+阅读 · 2015年12月31日
国家自然科学基金
1+阅读 · 2015年12月31日
国家自然科学基金
2+阅读 · 2015年12月31日
国家自然科学基金
1+阅读 · 2014年12月31日
国家自然科学基金
0+阅读 · 2014年12月31日
国家自然科学基金
0+阅读 · 2014年12月31日
国家自然科学基金
2+阅读 · 2014年12月31日
VIP会员
最新内容
《美陆军条例:陆军指挥政策(2026版)》
专知会员服务
8+阅读 · 今天8:10
《军用自主人工智能系统的治理与安全》
专知会员服务
5+阅读 · 今天8:02
《系统簇式多域作战规划范畴论框架》
专知会员服务
9+阅读 · 4月20日
高效视频扩散模型:进展与挑战
专知会员服务
5+阅读 · 4月20日
乌克兰前线的五项创新
专知会员服务
8+阅读 · 4月20日
 军事通信系统与设备的技术演进综述
专知会员服务
7+阅读 · 4月20日
《北约标准:医疗评估手册》174页
专知会员服务
6+阅读 · 4月20日
相关资讯
Hierarchically Structured Meta-learning
CreateAMind
27+阅读 · 2019年5月22日
Transferring Knowledge across Learning Processes
CreateAMind
29+阅读 · 2019年5月18日
强化学习的Unsupervised Meta-Learning
CreateAMind
18+阅读 · 2019年1月7日
Unsupervised Learning via Meta-Learning
CreateAMind
44+阅读 · 2019年1月3日
meta learning 17年:MAML SNAIL
CreateAMind
11+阅读 · 2019年1月2日
A Technical Overview of AI & ML in 2018 & Trends for 2019
待字闺中
18+阅读 · 2018年12月24日
STRCF for Visual Object Tracking
统计学习与视觉计算组
15+阅读 · 2018年5月29日
Focal Loss for Dense Object Detection
统计学习与视觉计算组
12+阅读 · 2018年3月15日
论文浅尝 | Question Answering over Freebase
开放知识图谱
19+阅读 · 2018年1月9日
IJCAI | Cascade Dynamics Modeling with Attention-based RNN
KingsGarden
13+阅读 · 2017年7月16日
相关基金
国家自然科学基金
13+阅读 · 2017年12月31日
国家自然科学基金
2+阅读 · 2015年12月31日
国家自然科学基金
1+阅读 · 2015年12月31日
国家自然科学基金
2+阅读 · 2015年12月31日
国家自然科学基金
1+阅读 · 2014年12月31日
国家自然科学基金
0+阅读 · 2014年12月31日
国家自然科学基金
0+阅读 · 2014年12月31日
国家自然科学基金
2+阅读 · 2014年12月31日
Top
微信扫码咨询专知VIP会员