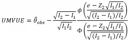
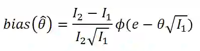
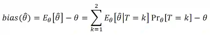
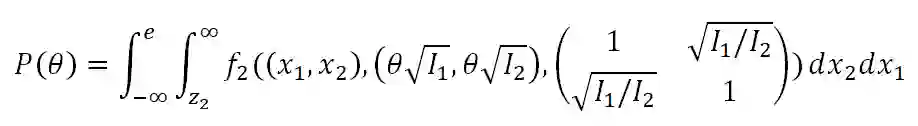
In adaptive clinical trials, the conventional end-of-trial point estimate of a treatment effect is prone to bias, that is, a systematic tendency to deviate from its true value. As stated in recent FDA guidance on adaptive designs, it is desirable to report estimates of treatment effects that reduce or remove this bias. However, it may be unclear which of the available estimators are preferable, and their use remains rare in practice. This paper is the second in a two-part series that studies the issue of bias in point estimation for adaptive trials. Part I provided a methodological review of approaches to remove or reduce the potential bias in point estimation for adaptive designs. In part II, we discuss how bias can affect standard estimators and assess the negative impact this can have. We review current practice for reporting point estimates and illustrate the computation of different estimators using a real adaptive trial example (including code), which we use as a basis for a simulation study. We show that while on average the values of these estimators can be similar, for a particular trial realisation they can give noticeably different values for the estimated treatment effect. Finally, we propose guidelines for researchers around the choice of estimators and the reporting of estimates following an adaptive design. The issue of bias should be considered throughout the whole lifecycle of an adaptive design, with the estimation strategy pre-specified in the statistical analysis plan. When available, unbiased or bias-reduced estimates are to be preferred.


翻译:在适应性临床试验中,传统的审终点对治疗效果的估计容易产生偏差,即有偏离其真正价值的系统性趋势。正如林业发展局最近的适应性设计指南所述,最好报告对减少或消除这种偏差的治疗作用的估计,然而,可能不清楚现有估算者中哪一种更可取,实际中仍然很少使用。本文是研究对适应性试验进行点估测的偏差问题的两部分系列中的第二份文件。第一部分对消除或减少对适应性设计进行点估测的潜在偏差的方法进行了方法审查。在第二部分中,我们讨论了偏见如何影响标准估测员并评估其可能产生的负面影响。我们审查报告点估算的现行做法,并用实际的适应性试验实例(包括代码)说明不同估算者的计算方法。我们用这个实例作为模拟研究的基础。我们表明,平均而言,这些估算者的价值可以相似,在特定试验中,它们可以明显地给估计的治疗效果带来不同的价值。最后,我们为研究人员提出了有关标准估测算结果的指南。我们审查了目前的报告点估计点估计点估计值,应该在整个统计周期中选择一种统计性估算方法。我们考虑采用整个评估周期前的估价方法。

0
下载
关闭预览

相关内容

100+篇《自监督学习(Self-Supervised Learning)》论文最新合集
专知会员服务
167+阅读 · 2020年3月18日
强化学习最新教程,17页pdf
专知会员服务
182+阅读 · 2019年10月11日
[综述]深度学习下的场景文本检测与识别
专知会员服务
78+阅读 · 2019年10月10日
【哈佛大学商学院课程Fall 2019】机器学习可解释性
专知会员服务
105+阅读 · 2019年10月9日
VCIP 2022 Call for Special Session Proposals
CCF多媒体专委会
1+阅读 · 2022年4月1日
IEEE ICKG 2022: Call for Papers
机器学习与推荐算法
3+阅读 · 2022年3月30日
ACM MM 2022 Call for Papers
CCF多媒体专委会
5+阅读 · 2022年3月29日
AIART 2022 Call for Papers
CCF多媒体专委会
1+阅读 · 2022年2月13日
【ICIG2021】Check out the hot new trailer of ICIG2021 Symposium9
中国图象图形学学会CSIG
0+阅读 · 2021年12月17日
【ICIG2021】Latest News & Announcements of the Industry Talk1
中国图象图形学学会CSIG
0+阅读 · 2021年7月28日
Hierarchically Structured Meta-learning
CreateAMind
27+阅读 · 2019年5月22日
Transferring Knowledge across Learning Processes
CreateAMind
29+阅读 · 2019年5月18日
Unsupervised Learning via Meta-Learning
CreateAMind
44+阅读 · 2019年1月3日
A Technical Overview of AI & ML in 2018 & Trends for 2019
待字闺中
18+阅读 · 2018年12月24日
国家自然科学基金
0+阅读 · 2015年12月31日
国家自然科学基金
0+阅读 · 2015年12月31日
国家自然科学基金
0+阅读 · 2014年12月31日
国家自然科学基金
0+阅读 · 2013年12月31日
国家自然科学基金
0+阅读 · 2012年12月31日
国家自然科学基金
0+阅读 · 2009年12月31日
VIP会员
最新内容
BES:让语言模型通过双向进化搜索自我改进
专知会员服务
3+阅读 · 5月30日
以色列-美国-伊朗战争中的无人机:关键要点
专知会员服务
4+阅读 · 5月30日
《Palantir任务保障性软件安全标准(MA-S2)》
专知会员服务
14+阅读 · 5月30日
基于声学的无人机检测技术综述
专知会员服务
8+阅读 · 5月30日
《当代混合战争分析框架:俄乌战争经验教训》
战略前沿人工智能的再思考(中文)
专知会员服务
8+阅读 · 5月29日
《量化地基防空系统间接效应的博弈论方法》
专知会员服务
6+阅读 · 5月29日
相关资讯
VCIP 2022 Call for Special Session Proposals
CCF多媒体专委会
1+阅读 · 2022年4月1日
IEEE ICKG 2022: Call for Papers
机器学习与推荐算法
3+阅读 · 2022年3月30日
ACM MM 2022 Call for Papers
CCF多媒体专委会
5+阅读 · 2022年3月29日
AIART 2022 Call for Papers
CCF多媒体专委会
1+阅读 · 2022年2月13日
【ICIG2021】Check out the hot new trailer of ICIG2021 Symposium9
中国图象图形学学会CSIG
0+阅读 · 2021年12月17日
【ICIG2021】Latest News & Announcements of the Industry Talk1
中国图象图形学学会CSIG
0+阅读 · 2021年7月28日
Hierarchically Structured Meta-learning
CreateAMind
27+阅读 · 2019年5月22日
Transferring Knowledge across Learning Processes
CreateAMind
29+阅读 · 2019年5月18日
Unsupervised Learning via Meta-Learning
CreateAMind
44+阅读 · 2019年1月3日
A Technical Overview of AI & ML in 2018 & Trends for 2019
待字闺中
18+阅读 · 2018年12月24日
相关基金
国家自然科学基金
0+阅读 · 2015年12月31日
国家自然科学基金
0+阅读 · 2015年12月31日
国家自然科学基金
0+阅读 · 2014年12月31日
国家自然科学基金
0+阅读 · 2013年12月31日
国家自然科学基金
0+阅读 · 2012年12月31日
国家自然科学基金
0+阅读 · 2009年12月31日
Top
微信扫码咨询专知VIP会员