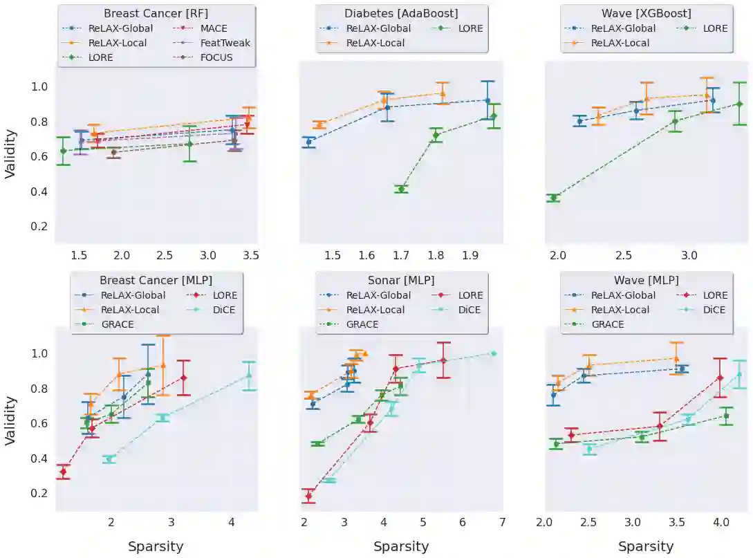
Counterfactual examples (CFs) are one of the most popular methods for attaching post-hoc explanations to machine learning (ML) models. However, existing CF generation methods either exploit the internals of specific models or depend on each sample's neighborhood, thus they are hard to generalize for complex models and inefficient for large datasets. This work aims to overcome these limitations and introduces ReLAX, a model-agnostic algorithm to generate optimal counterfactual explanations. Specifically, we formulate the problem of crafting CFs as a sequential decision-making task and then find the optimal CFs via deep reinforcement learning (DRL) with discrete-continuous hybrid action space. Extensive experiments conducted on several tabular datasets have shown that ReLAX outperforms existing CF generation baselines, as it produces sparser counterfactuals, is more scalable to complex target models to explain, and generalizes to both classification and regression tasks. Finally, to demonstrate the usefulness of our method in a real-world use case, we leverage CFs generated by ReLAX to suggest actions that a country should take to reduce the risk of mortality due to COVID-19. Interestingly enough, the actions recommended by our method correspond to the strategies that many countries have actually implemented to counter the COVID-19 pandemic.


翻译:反事实实例(CFS)是将后热解解析作为机器学习(ML)模型的最流行方法之一,然而,现有的CF生成方法要么利用具体模型的内部,要么取决于每个样本的周围环境,因此很难对复杂的模型加以概括,对大型数据集来说效率低下。这项工作旨在克服这些限制并引入ReLAX,这是一个模型-不可知的算法,以产生最佳反事实解释。具体地说,我们将CF的编译问题作为一种顺序决策任务,然后通过深度强化学习(DRL)找到最佳的CF(DRL)和不连续的混合行动空间。在几个表格数据集上进行的广泛实验表明,RELAX超越了现有的CF生成基准,因为它产生较稀薄的反事实,因此对于复杂的目标模型来说,解释、概括和概括既能产生最佳反事实解释,又能产生最佳反事实解释。最后,为了证明我们的方法在现实使用的情况下有用,我们利用ReLAX产生的CFS(D)来找到最佳的FCFCFS,以便建议一个国家能够真正降低CVI风险的行动。

0
下载
关闭预览

相关内容

不可错过!《机器学习100讲》课程,UBC Mark Schmidt讲授
专知会员服务
76+阅读 · 2022年6月28日
【干货书】真实机器学习,264页pdf,Real-World Machine Learning
【强化学习资源集合】Awesome Reinforcement Learning
专知会员服务
98+阅读 · 2019年12月23日
Stabilizing Transformers for Reinforcement Learning
专知会员服务
60+阅读 · 2019年10月17日
Keras François Chollet 《Deep Learning with Python 》, 386页pdf
专知会员服务
164+阅读 · 2019年10月12日
强化学习最新教程,17页pdf
专知会员服务
182+阅读 · 2019年10月11日
【哈佛大学商学院课程Fall 2019】机器学习可解释性
专知会员服务
105+阅读 · 2019年10月9日
AIART 2022 Call for Papers
CCF多媒体专委会
1+阅读 · 2022年2月13日
【ICIG2021】Latest News & Announcements of the Plenary Talk2
中国图象图形学学会CSIG
0+阅读 · 2021年11月2日
【ICIG2021】Latest News & Announcements of the Plenary Talk1
中国图象图形学学会CSIG
0+阅读 · 2021年11月1日
【ICIG2021】Latest News & Announcements of the Industry Talk1
中国图象图形学学会CSIG
0+阅读 · 2021年7月28日
Hierarchically Structured Meta-learning
CreateAMind
27+阅读 · 2019年5月22日
Transferring Knowledge across Learning Processes
CreateAMind
29+阅读 · 2019年5月18日
Unsupervised Learning via Meta-Learning
CreateAMind
44+阅读 · 2019年1月3日
A Technical Overview of AI & ML in 2018 & Trends for 2019
待字闺中
18+阅读 · 2018年12月24日
disentangled-representation-papers
CreateAMind
26+阅读 · 2018年9月12日
Hierarchical Imitation - Reinforcement Learning
CreateAMind
19+阅读 · 2018年5月25日
国家自然科学基金
0+阅读 · 2014年12月31日
国家自然科学基金
3+阅读 · 2013年12月31日
国家自然科学基金
0+阅读 · 2013年12月31日
国家自然科学基金
0+阅读 · 2012年12月31日
国家自然科学基金
0+阅读 · 2012年12月31日
国家自然科学基金
0+阅读 · 2012年12月31日
国家自然科学基金
0+阅读 · 2011年12月31日
Arxiv
0+阅读 · 2022年10月4日
Arxiv
15+阅读 · 2022年6月14日
Arxiv
38+阅读 · 2020年3月10日
VIP会员
最新内容
美国与以色列如何在攻击伊朗中使用人工智能
专知会员服务
4+阅读 · 4月16日
《自动化战略情报管控》
专知会员服务
2+阅读 · 4月16日
得失评估:审视对伊朗战争的轨迹(简报)
专知会员服务
2+阅读 · 4月16日
【CMU博士论文】迈向可解释机器学习的理论基础
基于数据优化的人机协同与机器人僚机
专知会员服务
7+阅读 · 4月16日
相关VIP内容
相关资讯
AIART 2022 Call for Papers
CCF多媒体专委会
1+阅读 · 2022年2月13日
【ICIG2021】Latest News & Announcements of the Plenary Talk2
中国图象图形学学会CSIG
0+阅读 · 2021年11月2日
【ICIG2021】Latest News & Announcements of the Plenary Talk1
中国图象图形学学会CSIG
0+阅读 · 2021年11月1日
【ICIG2021】Latest News & Announcements of the Industry Talk1
中国图象图形学学会CSIG
0+阅读 · 2021年7月28日
Hierarchically Structured Meta-learning
CreateAMind
27+阅读 · 2019年5月22日
Transferring Knowledge across Learning Processes
CreateAMind
29+阅读 · 2019年5月18日
Unsupervised Learning via Meta-Learning
CreateAMind
44+阅读 · 2019年1月3日
A Technical Overview of AI & ML in 2018 & Trends for 2019
待字闺中
18+阅读 · 2018年12月24日
disentangled-representation-papers
CreateAMind
26+阅读 · 2018年9月12日
Hierarchical Imitation - Reinforcement Learning
CreateAMind
19+阅读 · 2018年5月25日
相关基金
国家自然科学基金
0+阅读 · 2014年12月31日
国家自然科学基金
3+阅读 · 2013年12月31日
国家自然科学基金
0+阅读 · 2013年12月31日
国家自然科学基金
0+阅读 · 2012年12月31日
国家自然科学基金
0+阅读 · 2012年12月31日
国家自然科学基金
0+阅读 · 2012年12月31日
国家自然科学基金
0+阅读 · 2011年12月31日
Top
微信扫码咨询专知VIP会员