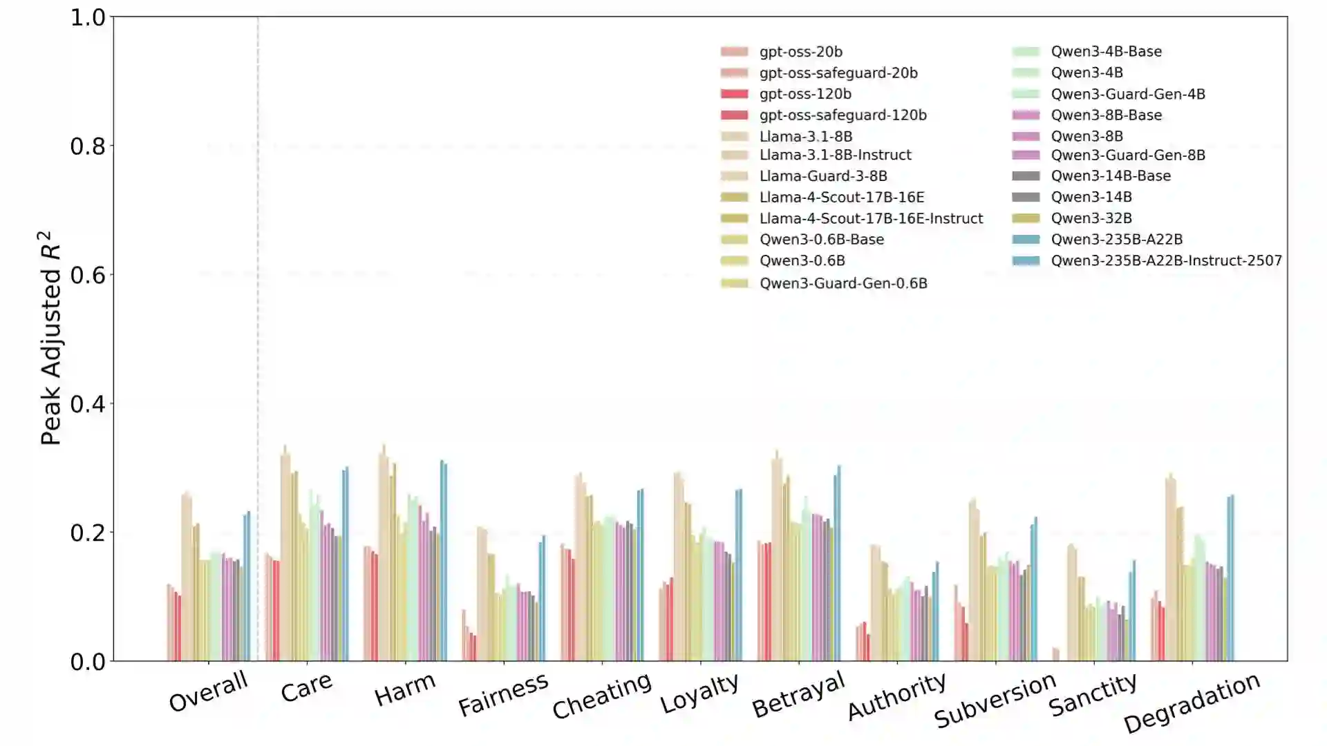
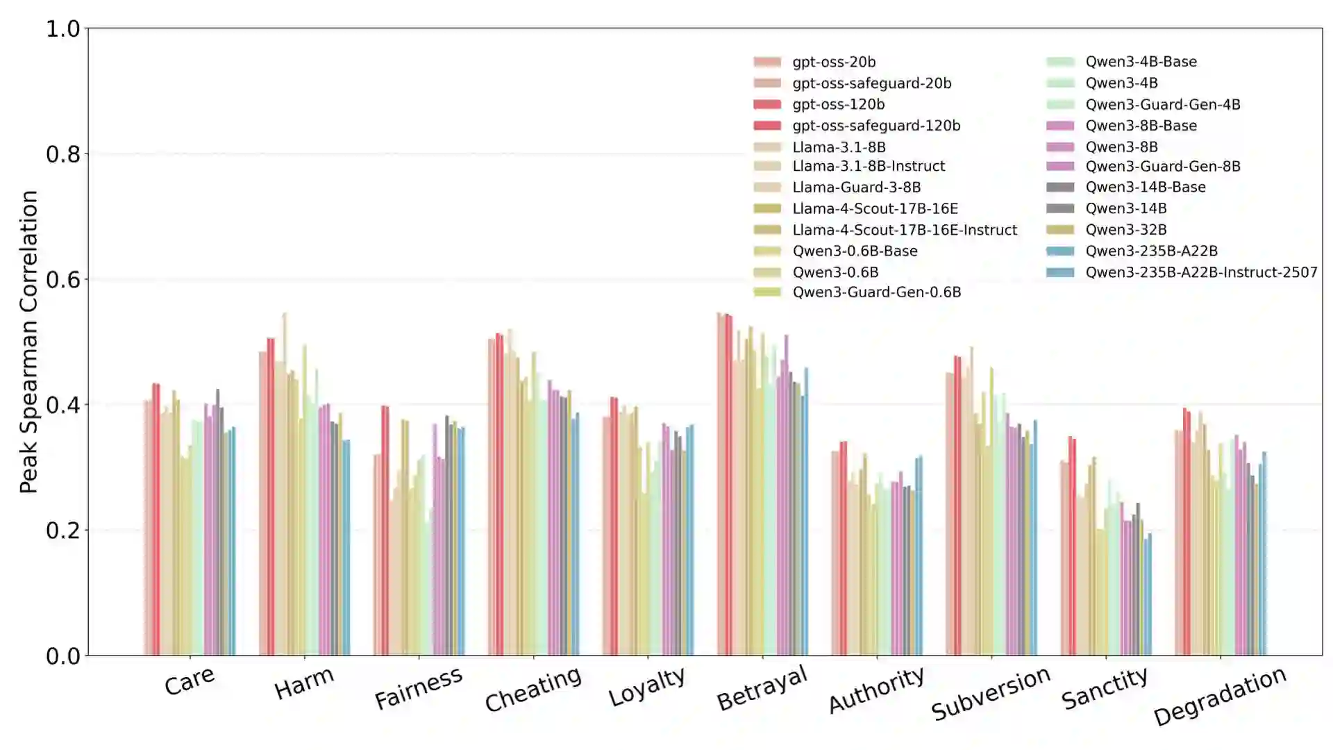
Existing behavioral alignment techniques for Large Language Models (LLMs) often neglect the discrepancy between surface compliance and internal unaligned representations, leaving LLMs vulnerable to long-tail risks. More crucially, we posit that LLMs possess an inherent state of moral indifference due to compressing distinct moral concepts into uniform probability distributions. We verify and remedy this indifference in LLMs' latent representations, utilizing 251k moral vectors constructed upon Prototype Theory and the Social-Chemistry-101 dataset. Firstly, our analysis across 23 models reveals that current LLMs fail to represent the distinction between opposed moral categories and fine-grained typicality gradients within these categories; notably, neither model scaling, architecture, nor explicit alignment reshapes this indifference. We then employ Sparse Autoencoders on Qwen3-8B, isolate mono-semantic moral features, and targetedly reconstruct their topological relationships to align with ground-truth moral vectors. This representational alignment naturally improves moral reasoning and granularity, achieving a 75% pairwise win-rate on the independent adversarial Flames benchmark. Finally, we elaborate on the remedial nature of current intervention methods from an experientialist philosophy, arguing that endogenously aligned AI might require a transformation from post-hoc corrections to proactive cultivation.


翻译:现有的大型语言模型(LLM)行为对齐技术常忽视表层合规性与内部未对齐表征之间的差异,使LLM易受长尾风险影响。更重要的是,我们认为LLM由于将不同的道德概念压缩为统一的概率分布,从而具有内在的道德漠然状态。我们基于原型理论和社会化学-101数据集构建的251k个道德向量,在LLM的潜在表征中验证并矫正了这种漠然性。首先,我们对23个模型的分析表明,当前LLM无法表征对立道德类别之间的区别以及这些类别内部的细粒度典型性梯度;值得注意的是,无论是模型缩放、架构还是显式对齐都无法改变这种漠然性。随后,我们在Qwen3-8B上采用稀疏自编码器,分离出单义道德特征,并有针对性地重构其拓扑关系以对齐真实道德向量。这种表征对齐自然提升了道德推理的精细度,在独立的对抗性Flames基准测试中实现了75%的成对胜率。最后,我们从经验主义哲学的角度阐述了当前干预方法的矫正性质,认为内生对齐的人工智能可能需要从事后修正转变为主动培育。

0
下载
关闭预览

相关内容

稀疏自编码器综述:解释大语言模型的内部机制
专知会员服务
17+阅读 · 2025年12月27日
大型语言模型中隐性与显性偏见的综合研究
专知会员服务
17+阅读 · 2025年11月25日
大型语言模型的规模效应局限
专知会员服务
14+阅读 · 2025年11月18日
大语言模型机器遗忘综述
专知会员服务
18+阅读 · 2025年11月2日
基于大型语言模型的人机系统综述
专知会员服务
26+阅读 · 2025年5月12日
大型语言模型中的人格综述
专知会员服务
42+阅读 · 2024年6月30日
大模型道德价值观对齐问题剖析
专知会员服务
79+阅读 · 2023年10月3日
大型语言模型对齐
专知会员服务
120+阅读 · 2023年9月27日
大型语言模型公平性
专知会员服务
41+阅读 · 2023年8月31日
【深度语义匹配模型】原理篇二:交互篇
AINLP
16+阅读 · 2020年5月18日
自然语言处理中的语言模型预训练方法
PaperWeekly
14+阅读 · 2018年10月21日
语料库构建——自然语言理解的基础
计算机研究与发展
11+阅读 · 2017年8月21日
自然语言处理(二)机器翻译 篇 (NLP: machine translation)
DeepLearning中文论坛
12+阅读 · 2015年7月1日
国家自然科学基金
2+阅读 · 2015年12月31日
国家自然科学基金
0+阅读 · 2015年12月31日
国家自然科学基金
0+阅读 · 2015年12月31日
国家自然科学基金
0+阅读 · 2015年12月31日
国家自然科学基金
0+阅读 · 2015年12月31日
国家自然科学基金
2+阅读 · 2015年12月31日
国家自然科学基金
2+阅读 · 2015年12月31日
国家自然科学基金
0+阅读 · 2015年12月31日
国家自然科学基金
0+阅读 · 2014年12月31日
VIP会员
最新内容
BES:让语言模型通过双向进化搜索自我改进
专知会员服务
0+阅读 · 37分钟前
以色列-美国-伊朗战争中的无人机:关键要点
专知会员服务
3+阅读 · 今天14:04
《Palantir任务保障性软件安全标准(MA-S2)》
专知会员服务
6+阅读 · 今天13:49
基于声学的无人机检测技术综述
专知会员服务
5+阅读 · 今天13:37
《当代混合战争分析框架:俄乌战争经验教训》
专知会员服务
5+阅读 · 今天13:11
战略前沿人工智能的再思考(中文)
专知会员服务
7+阅读 · 5月29日
《量化地基防空系统间接效应的博弈论方法》
专知会员服务
5+阅读 · 5月29日
相关VIP内容
稀疏自编码器综述:解释大语言模型的内部机制
专知会员服务
17+阅读 · 2025年12月27日
大型语言模型中隐性与显性偏见的综合研究
专知会员服务
17+阅读 · 2025年11月25日
大型语言模型的规模效应局限
专知会员服务
14+阅读 · 2025年11月18日
大语言模型机器遗忘综述
专知会员服务
18+阅读 · 2025年11月2日
基于大型语言模型的人机系统综述
专知会员服务
26+阅读 · 2025年5月12日
大型语言模型中的人格综述
专知会员服务
42+阅读 · 2024年6月30日
大模型道德价值观对齐问题剖析
专知会员服务
79+阅读 · 2023年10月3日
大型语言模型对齐
专知会员服务
120+阅读 · 2023年9月27日
大型语言模型公平性
专知会员服务
41+阅读 · 2023年8月31日
相关基金
国家自然科学基金
2+阅读 · 2015年12月31日
国家自然科学基金
0+阅读 · 2015年12月31日
国家自然科学基金
0+阅读 · 2015年12月31日
国家自然科学基金
0+阅读 · 2015年12月31日
国家自然科学基金
0+阅读 · 2015年12月31日
国家自然科学基金
2+阅读 · 2015年12月31日
国家自然科学基金
2+阅读 · 2015年12月31日
国家自然科学基金
0+阅读 · 2015年12月31日
国家自然科学基金
0+阅读 · 2014年12月31日
Top
微信扫码咨询专知VIP会员