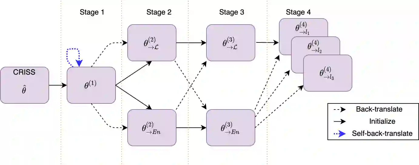
Numerous recent work on unsupervised machine translation (UMT) implies that competent unsupervised translations of low-resource and unrelated languages, such as Nepali or Sinhala, are only possible if the model is trained in a massive multilingual environment, where theses low-resource languages are mixed with high-resource counterparts. Nonetheless, while the high-resource languages greatly help kick-start the target low-resource translation tasks, the language discrepancy between them may hinder their further improvement. In this work, we propose a simple refinement procedure to disentangle languages from a pre-trained multilingual UMT model for it to focus on only the target low-resource task. Our method achieves the state of the art in the fully unsupervised translation tasks of English to Nepali, Sinhala, Gujarati, Latvian, Estonian and Kazakh, with BLEU score gains of 3.5, 3.5, 3.3, 4.1, 4.2, and 3.3, respectively. Our codebase is available at https://github.com/nxphi47/refine_unsup_multilingual_mt


翻译:最近许多关于无人监督的机器翻译(UMT)的工作表明,只有在大量多语言环境中对模型进行培训,而这些低资源语言与高资源语言混杂在一起的情况下,才能对诸如尼泊尔语或僧伽罗语等低资源语言和非相关语言进行胜任的不受监督的翻译。然而,虽然高资源语言极大地帮助启动了目标的低资源翻译任务,但它们之间的语言差异可能妨碍其进一步改进。在这项工作中,我们提议了一个简单的改进程序,将语言与预先培训的多语言的UMT模式区分开来,以便只关注目标的低资源任务。我们的方法在完全不受监督的英语翻译任务中实现了向尼泊尔语、僧伽罗语、古吉拉特语、拉脱维亚语、爱沙尼亚语和哈萨克语的艺术状态,BLEU得分分别为3.5、3.5、3.3、4.1、4.2和3.3。我们的代码库可在 https://github.com/nxphi47/refine_unsup_multol语_mt上查阅。

0
下载
关闭预览

相关内容

自然语言处理顶会NAACL2022最佳论文出炉!
专知会员服务
43+阅读 · 2022年6月30日
100+篇《自监督学习(Self-Supervised Learning)》论文最新合集
专知会员服务
167+阅读 · 2020年3月18日
Stabilizing Transformers for Reinforcement Learning
专知会员服务
60+阅读 · 2019年10月17日
强化学习最新教程,17页pdf
专知会员服务
182+阅读 · 2019年10月11日
[综述]深度学习下的场景文本检测与识别
专知会员服务
78+阅读 · 2019年10月10日
【SIGGRAPH2019】TensorFlow 2.0深度学习计算机图形学应用
专知会员服务
41+阅读 · 2019年10月9日
VCIP 2022 Call for Demos
CCF多媒体专委会
1+阅读 · 2022年6月6日
ACM MM 2022 Call for Papers
CCF多媒体专委会
5+阅读 · 2022年3月29日
会议交流 | IJCKG: International Joint Conference on Knowledge Graphs
Hierarchically Structured Meta-learning
CreateAMind
27+阅读 · 2019年5月22日
Transferring Knowledge across Learning Processes
CreateAMind
29+阅读 · 2019年5月18日
Unsupervised Learning via Meta-Learning
CreateAMind
44+阅读 · 2019年1月3日
A Technical Overview of AI & ML in 2018 & Trends for 2019
待字闺中
18+阅读 · 2018年12月24日
disentangled-representation-papers
CreateAMind
26+阅读 · 2018年9月12日
vae 相关论文 表示学习 1
CreateAMind
12+阅读 · 2018年9月6日
强化学习族谱
CreateAMind
26+阅读 · 2017年8月2日
国家自然科学基金
0+阅读 · 2015年12月31日
国家自然科学基金
0+阅读 · 2014年12月31日
国家自然科学基金
0+阅读 · 2014年12月31日
国家自然科学基金
0+阅读 · 2012年12月31日
国家自然科学基金
0+阅读 · 2012年12月31日
国家自然科学基金
1+阅读 · 2012年12月31日
国家自然科学基金
0+阅读 · 2011年12月31日
国家自然科学基金
1+阅读 · 2011年12月31日
Arxiv
0+阅读 · 2022年10月24日
Arxiv
0+阅读 · 2022年10月21日
VIP会员
最新内容
《美陆军条例:陆军指挥政策(2026版)》
专知会员服务
4+阅读 · 今天8:10
《军用自主人工智能系统的治理与安全》
专知会员服务
4+阅读 · 今天8:02
《系统簇式多域作战规划范畴论框架》
专知会员服务
7+阅读 · 4月20日
高效视频扩散模型:进展与挑战
专知会员服务
3+阅读 · 4月20日
乌克兰前线的五项创新
专知会员服务
7+阅读 · 4月20日
 军事通信系统与设备的技术演进综述
专知会员服务
6+阅读 · 4月20日
《北约标准:医疗评估手册》174页
专知会员服务
5+阅读 · 4月20日
相关资讯
VCIP 2022 Call for Demos
CCF多媒体专委会
1+阅读 · 2022年6月6日
ACM MM 2022 Call for Papers
CCF多媒体专委会
5+阅读 · 2022年3月29日
会议交流 | IJCKG: International Joint Conference on Knowledge Graphs
Hierarchically Structured Meta-learning
CreateAMind
27+阅读 · 2019年5月22日
Transferring Knowledge across Learning Processes
CreateAMind
29+阅读 · 2019年5月18日
Unsupervised Learning via Meta-Learning
CreateAMind
44+阅读 · 2019年1月3日
A Technical Overview of AI & ML in 2018 & Trends for 2019
待字闺中
18+阅读 · 2018年12月24日
disentangled-representation-papers
CreateAMind
26+阅读 · 2018年9月12日
vae 相关论文 表示学习 1
CreateAMind
12+阅读 · 2018年9月6日
强化学习族谱
CreateAMind
26+阅读 · 2017年8月2日
相关基金
国家自然科学基金
0+阅读 · 2015年12月31日
国家自然科学基金
0+阅读 · 2014年12月31日
国家自然科学基金
0+阅读 · 2014年12月31日
国家自然科学基金
0+阅读 · 2012年12月31日
国家自然科学基金
0+阅读 · 2012年12月31日
国家自然科学基金
1+阅读 · 2012年12月31日
国家自然科学基金
0+阅读 · 2011年12月31日
国家自然科学基金
1+阅读 · 2011年12月31日
Top
微信扫码咨询专知VIP会员