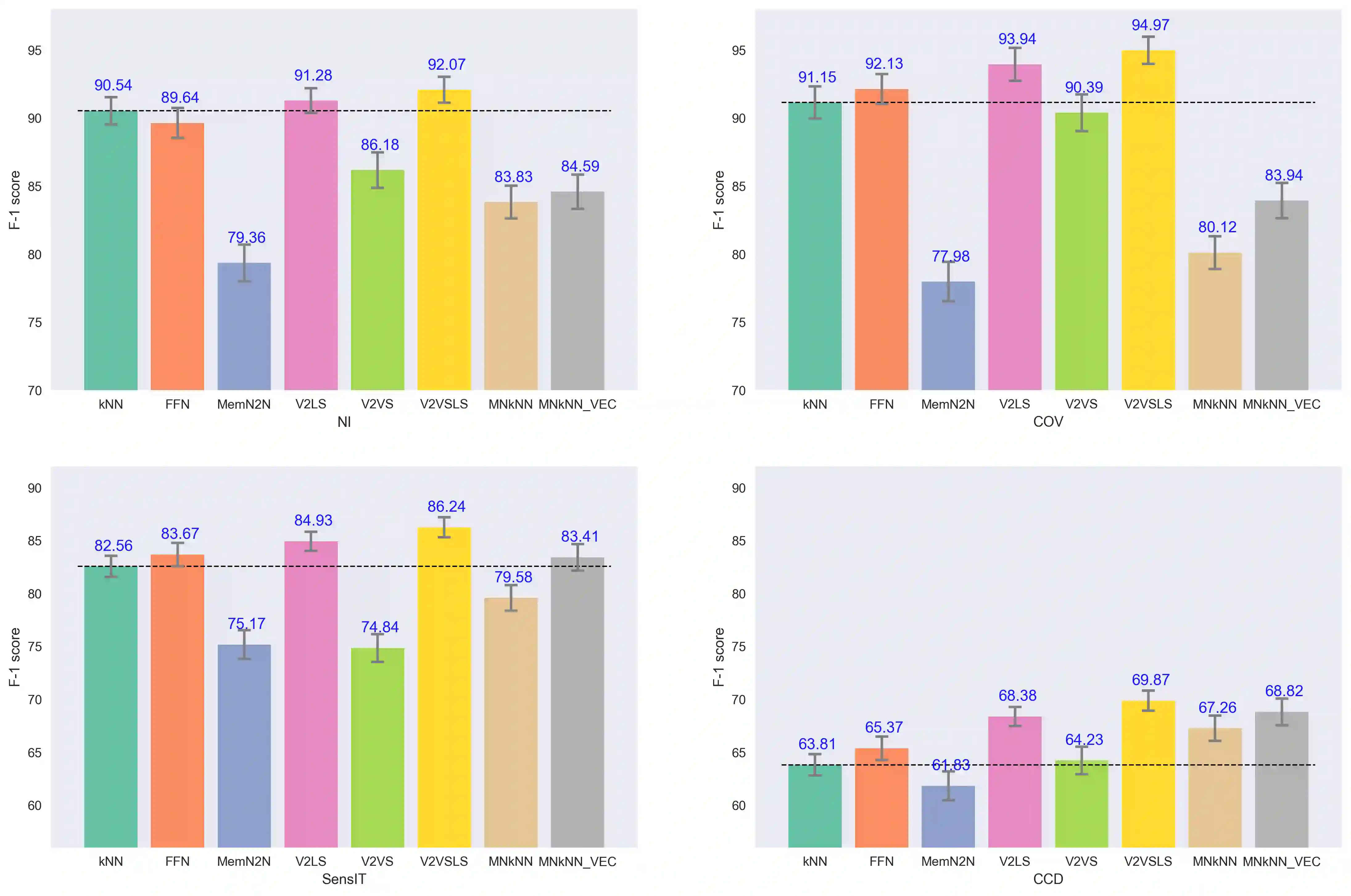
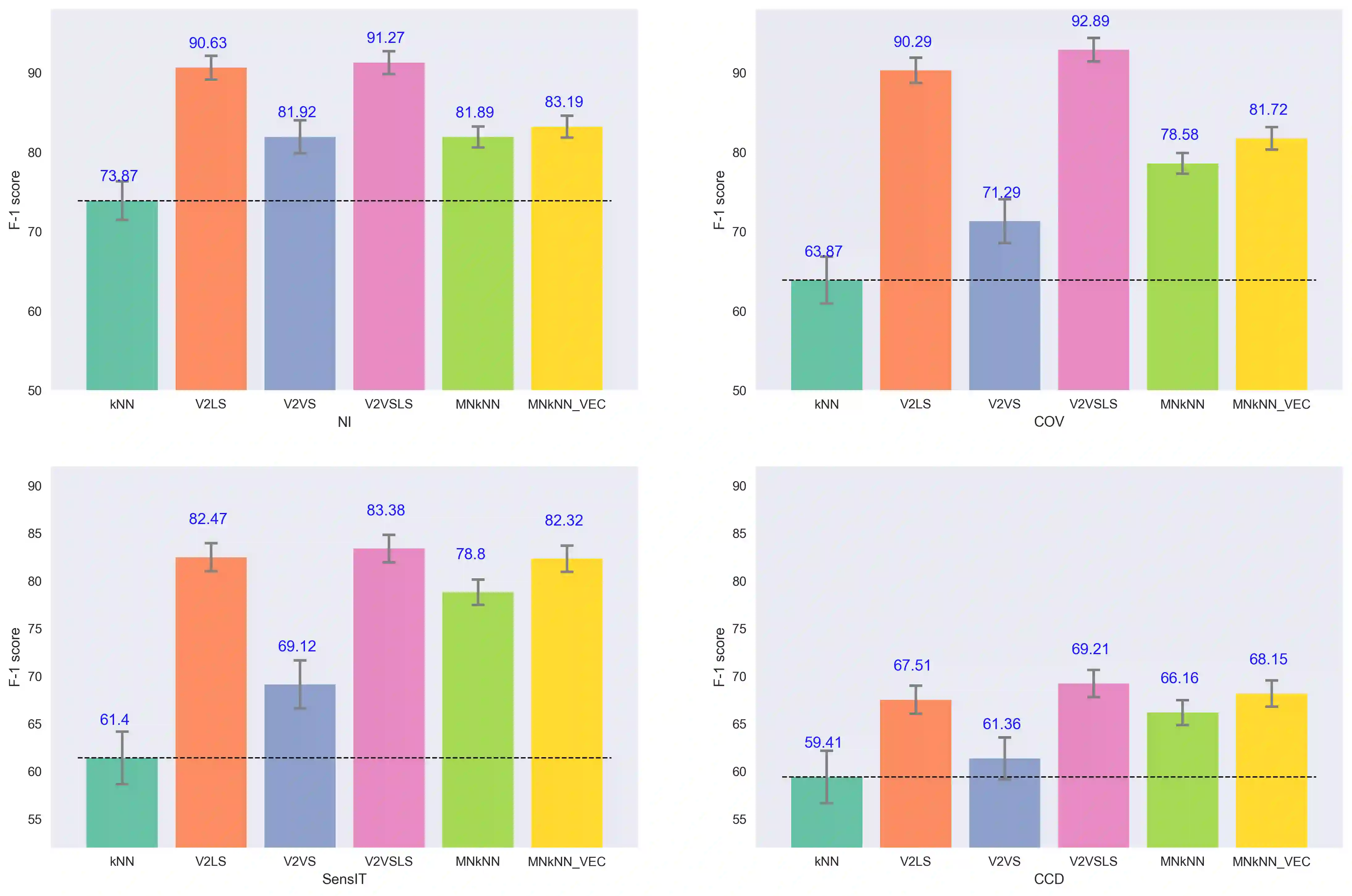
k-Nearest Neighbors is one of the most fundamental but effective classification models. In this paper, we propose two families of models built on a sequence to sequence model and a memory network model to mimic the k-Nearest Neighbors model, which generate a sequence of labels, a sequence of out-of-sample feature vectors and a final label for classification, and thus they could also function as oversamplers. We also propose 'out-of-core' versions of our models which assume that only a small portion of data can be loaded into memory. Computational experiments show that our models outperform k-Nearest Neighbors, a feed-forward neural network and a memory network, due to the fact that our models must produce additional output and not just the label. As an oversample on imbalanced datasets, the sequence to sequence kNN model often outperforms Synthetic Minority Over-sampling Technique and Adaptive Synthetic Sampling.


翻译:k- Nearest 邻居是最为基本但有效的分类模型之一。 在本文中, 我们提出两个模型的组, 建在序列序列序列模型上的模型和模拟 k- Nearest 邻居模型的记忆网络模型, 产生一个标签序列, 一个标本序列, 一个标本外特质矢量序列和一个最终分类标签, 因此它们也可以发挥过度标本的作用 。 我们还提议了我们的模型的“ 核心外” 版本, 其中假设只有一小部分数据可以装入记忆中。 计算实验显示, 我们的模型超过了 k- Nearest 邻居模型, 一个饲料前神经网络和一个记忆网络, 因为事实上我们的模型必须产生额外的输出, 而不仅仅是标签 。 作为不平衡数据集的过度标本, kNN 模型的序列往往超越合成的合成少数群体过量测试和适应性合成合成合成合成同步抽样抽样的序列 。

0
下载
关闭预览

相关内容

seq2seq 是一个Encoder–Decoder 结构的网络,它的输入是一个序列,输出也是一个序列, Encoder 中将一个可变长度的信号序列变为固定长度的向量表达,Decoder 将这个固定长度的向量变成可变长度的目标的信号序列
【清华大学】图随机神经网络,Graph Random Neural Networks
专知会员服务
156+阅读 · 2020年5月26日
神经网络的拓扑结构,TOPOLOGY OF DEEP NEURAL NETWORKS
专知会员服务
35+阅读 · 2020年4月15日
《DeepGCNs: Making GCNs Go as Deep as CNNs》
专知会员服务
32+阅读 · 2019年10月17日
Keras François Chollet 《Deep Learning with Python 》, 386页pdf
专知会员服务
164+阅读 · 2019年10月12日
【新书】Python编程基础,669页pdf
专知会员服务
197+阅读 · 2019年10月10日
图机器学习 2.2-2.4 Properties of Networks, Random Graph
图与推荐
10+阅读 · 2020年3月28日
Transferring Knowledge across Learning Processes
CreateAMind
29+阅读 · 2019年5月18日
meta learning 17年:MAML SNAIL
CreateAMind
11+阅读 · 2019年1月2日
【推荐】用TensorFlow实现LSTM社交对话股市情感分析
机器学习研究会
11+阅读 · 2018年1月14日
【学习】(Python)SVM数据分类
机器学习研究会
6+阅读 · 2017年10月15日
Adversarial Variational Bayes: Unifying VAE and GAN 代码
CreateAMind
7+阅读 · 2017年10月4日
【推荐】RNN/LSTM时序预测
机器学习研究会
25+阅读 · 2017年9月8日
Auto-Encoding GAN
CreateAMind
7+阅读 · 2017年8月4日
强化学习 cartpole_a3c
CreateAMind
9+阅读 · 2017年7月21日
Arxiv
12+阅读 · 2018年9月15日
Arxiv
19+阅读 · 2018年6月27日
Arxiv
3+阅读 · 2018年6月18日
VIP会员
最新内容
2026“人工智能+”行业发展蓝皮书(附下载)
专知会员服务
7+阅读 · 今天12:11
《强化学习数学基础》
专知会员服务
4+阅读 · 今天12:07
“Maven计划”的发展演变之“Maven智能系统”应用
《无人机革命:来自俄乌战场的启示》(报告)
专知会员服务
9+阅读 · 今天6:48
《实现联合作战能力所需的技术》58页报告
专知会员服务
5+阅读 · 今天6:30
以色列运用人工智能优化空袭警报系统
专知会员服务
5+阅读 · 今天6:20
以色列在多条战线部署AI智能体
专知会员服务
7+阅读 · 今天6:12
相关资讯
图机器学习 2.2-2.4 Properties of Networks, Random Graph
图与推荐
10+阅读 · 2020年3月28日
Transferring Knowledge across Learning Processes
CreateAMind
29+阅读 · 2019年5月18日
meta learning 17年:MAML SNAIL
CreateAMind
11+阅读 · 2019年1月2日
【推荐】用TensorFlow实现LSTM社交对话股市情感分析
机器学习研究会
11+阅读 · 2018年1月14日
【学习】(Python)SVM数据分类
机器学习研究会
6+阅读 · 2017年10月15日
Adversarial Variational Bayes: Unifying VAE and GAN 代码
CreateAMind
7+阅读 · 2017年10月4日
【推荐】RNN/LSTM时序预测
机器学习研究会
25+阅读 · 2017年9月8日
Auto-Encoding GAN
CreateAMind
7+阅读 · 2017年8月4日
强化学习 cartpole_a3c
CreateAMind
9+阅读 · 2017年7月21日
Top
微信扫码咨询专知VIP会员