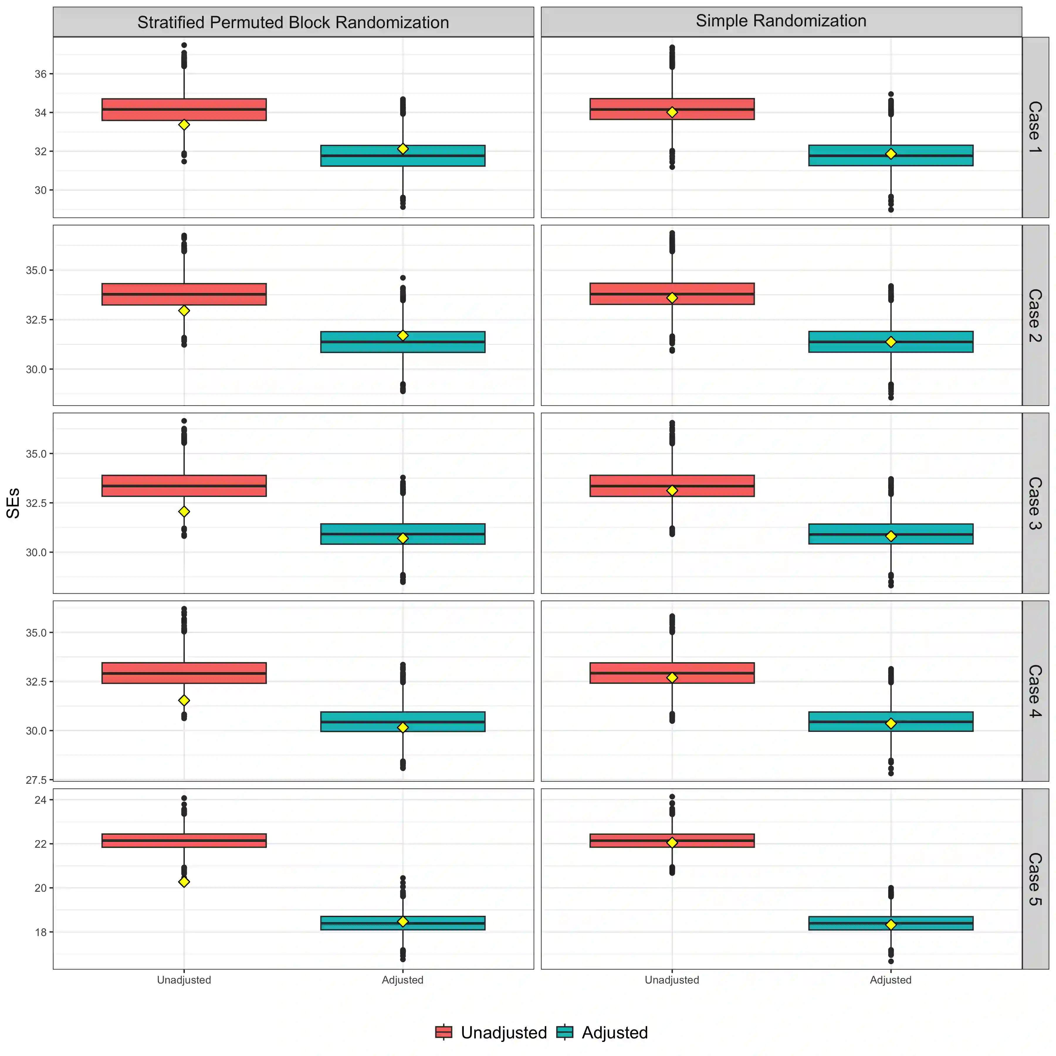
The area under the curve (AUC) of the mean cumulative function (MCF) has recently been introduced as a novel estimand for evaluating treatment effects in recurrent event settings, capturing a totality of evidence in relation to disease progression. While the Lin-Wei-Yang-Ying (LWYY) model is commonly used for analyzing recurrent events, it relies on the proportional rate assumption between treatment arms, which is often violated in practice. In contrast, the AUC under MCFs does not depend on such proportionality assumptions and offers a clinically interpretable measure of treatment effect. To improve the precision of the AUC estimation while preserving its unconditional interpretability, we propose a nonparametric covariate adjustment approach. This approach guarantees efficiency gain compared to unadjusted analysis, as demonstrated by theoretical asymptotic distributions, and is universally applicable to various randomization schemes, including both simple and covariate-adaptive designs. Extensive simulations across different scenarios further support its advantage in increasing statistical power. Our findings highlight the importance of covariate adjustment for the analysis of AUC in recurrent event settings, offering practical guidance for its application in randomized clinical trials.


翻译:平均累积函数(MCF)的曲线下面积(AUC)最近被提出作为评估复发事件场景中治疗效果的新型估计量,其能够捕捉与疾病进展相关的整体证据。尽管林-魏-杨-英(LWYY)模型常用于分析复发事件,但其依赖于治疗组间的比例风险假设,而这一假设在实践中常被违背。相比之下,MCF下的AUC不依赖于此类比例性假设,并提供了临床可解释的治疗效果度量。为在保持其无条件可解释性的同时提升AUC估计的精度,我们提出了一种非参数协变量调整方法。理论渐近分布证明,相较于未调整的分析,该方法能保证效率提升,且普遍适用于包括简单随机化和协变量自适应设计在内的各种随机化方案。多种场景下的广泛仿真进一步支持了其在提升统计功效方面的优势。我们的研究结果凸显了协变量调整在复发事件AUC分析中的重要性,为其在随机临床试验中的应用提供了实践指导。

0
下载
关闭预览

相关内容

FlowQA: Grasping Flow in History for Conversational Machine Comprehension
专知会员服务
34+阅读 · 2019年10月18日
Stabilizing Transformers for Reinforcement Learning
专知会员服务
60+阅读 · 2019年10月17日
《DeepGCNs: Making GCNs Go as Deep as CNNs》
专知会员服务
32+阅读 · 2019年10月17日
Keras François Chollet 《Deep Learning with Python 》, 386页pdf
专知会员服务
164+阅读 · 2019年10月12日
【SIGGRAPH2019】TensorFlow 2.0深度学习计算机图形学应用
专知会员服务
41+阅读 · 2019年10月9日
Hierarchically Structured Meta-learning
CreateAMind
27+阅读 · 2019年5月22日
Transferring Knowledge across Learning Processes
CreateAMind
29+阅读 · 2019年5月18日
Unsupervised Learning via Meta-Learning
CreateAMind
44+阅读 · 2019年1月3日
meta learning 17年:MAML SNAIL
CreateAMind
11+阅读 · 2019年1月2日
A Technical Overview of AI & ML in 2018 & Trends for 2019
待字闺中
18+阅读 · 2018年12月24日
disentangled-representation-papers
CreateAMind
26+阅读 · 2018年9月12日
Single-Shot Object Detection with Enriched Semantics
统计学习与视觉计算组
14+阅读 · 2018年8月29日
STRCF for Visual Object Tracking
统计学习与视觉计算组
15+阅读 · 2018年5月29日
Focal Loss for Dense Object Detection
统计学习与视觉计算组
12+阅读 · 2018年3月15日
IJCAI | Cascade Dynamics Modeling with Attention-based RNN
KingsGarden
13+阅读 · 2017年7月16日
国家自然科学基金
1+阅读 · 2017年12月31日
国家自然科学基金
2+阅读 · 2017年12月31日
国家自然科学基金
13+阅读 · 2017年12月31日
国家自然科学基金
2+阅读 · 2015年12月31日
国家自然科学基金
0+阅读 · 2015年12月31日
国家自然科学基金
47+阅读 · 2015年12月31日
国家自然科学基金
2+阅读 · 2015年12月31日
国家自然科学基金
0+阅读 · 2015年12月31日
国家自然科学基金
1+阅读 · 2014年12月31日
国家自然科学基金
0+阅读 · 2014年12月31日
VIP会员
最新内容
《美国战争部2027财年军事人员预算》
专知会员服务
0+阅读 · 35分钟前
伊朗战争中的电子战
专知会员服务
3+阅读 · 今天7:04
大语言模型平台在国防情报应用中的对比
专知会员服务
5+阅读 · 今天3:12
美海军“超配项目”
专知会员服务
6+阅读 · 今天2:13
《美陆军条例:陆军指挥政策(2026版)》
专知会员服务
10+阅读 · 4月21日
《军用自主人工智能系统的治理与安全》
专知会员服务
7+阅读 · 4月21日
相关资讯
Hierarchically Structured Meta-learning
CreateAMind
27+阅读 · 2019年5月22日
Transferring Knowledge across Learning Processes
CreateAMind
29+阅读 · 2019年5月18日
Unsupervised Learning via Meta-Learning
CreateAMind
44+阅读 · 2019年1月3日
meta learning 17年:MAML SNAIL
CreateAMind
11+阅读 · 2019年1月2日
A Technical Overview of AI & ML in 2018 & Trends for 2019
待字闺中
18+阅读 · 2018年12月24日
disentangled-representation-papers
CreateAMind
26+阅读 · 2018年9月12日
Single-Shot Object Detection with Enriched Semantics
统计学习与视觉计算组
14+阅读 · 2018年8月29日
STRCF for Visual Object Tracking
统计学习与视觉计算组
15+阅读 · 2018年5月29日
Focal Loss for Dense Object Detection
统计学习与视觉计算组
12+阅读 · 2018年3月15日
IJCAI | Cascade Dynamics Modeling with Attention-based RNN
KingsGarden
13+阅读 · 2017年7月16日
相关基金
国家自然科学基金
1+阅读 · 2017年12月31日
国家自然科学基金
2+阅读 · 2017年12月31日
国家自然科学基金
13+阅读 · 2017年12月31日
国家自然科学基金
2+阅读 · 2015年12月31日
国家自然科学基金
0+阅读 · 2015年12月31日
国家自然科学基金
47+阅读 · 2015年12月31日
国家自然科学基金
2+阅读 · 2015年12月31日
国家自然科学基金
0+阅读 · 2015年12月31日
国家自然科学基金
1+阅读 · 2014年12月31日
国家自然科学基金
0+阅读 · 2014年12月31日
Top
微信扫码咨询专知VIP会员