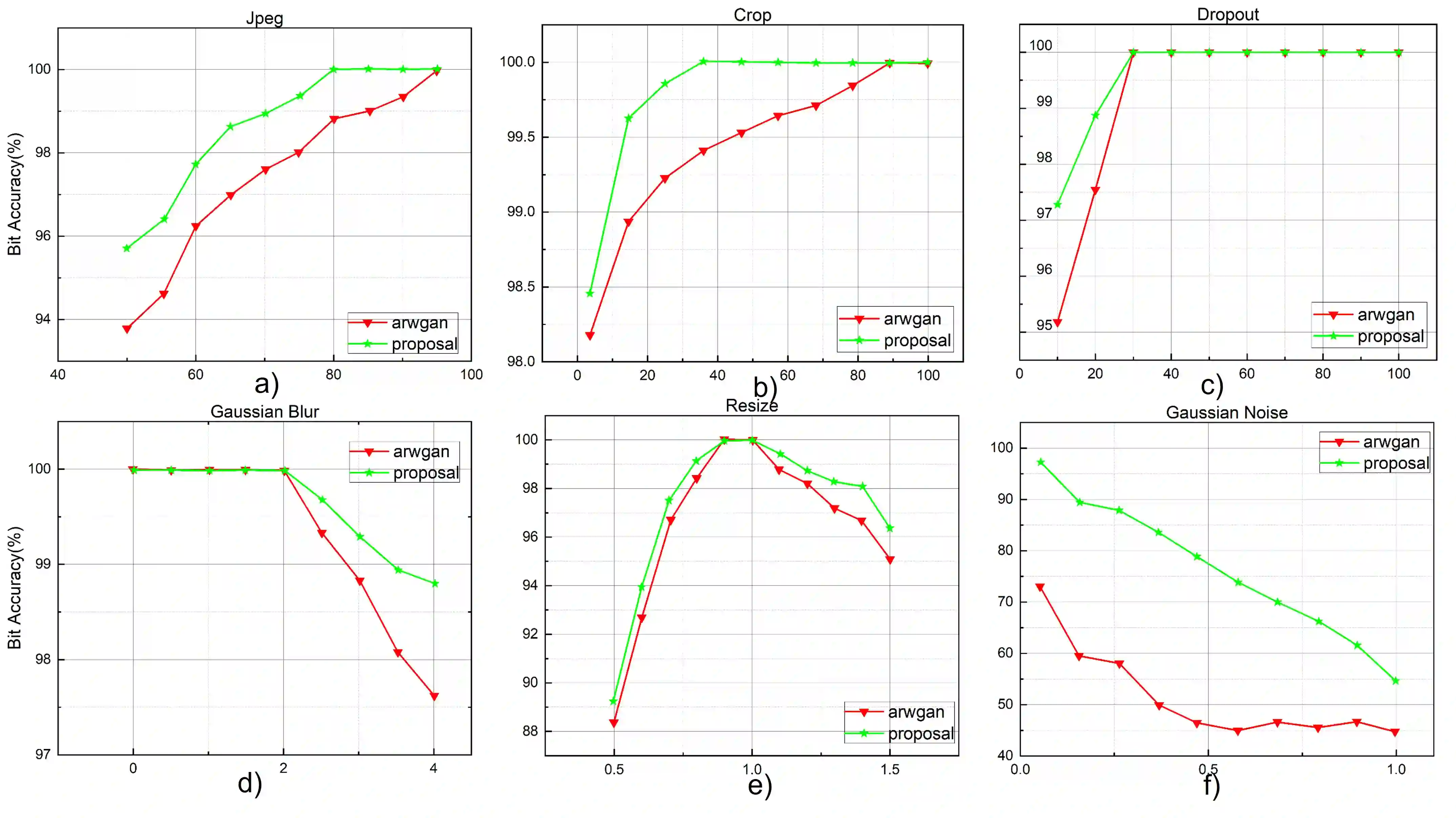
Digital watermarking is the process of embedding secret information by altering images in a way that is undetectable to the human eye. To increase the robustness of the model, many deep learning-based watermarking methods use the encoder-decoder architecture by adding different noises to the noise layer. The decoder then extracts the watermarked information from the distorted image. However, this method can only resist weak noise attacks. To improve the robustness of the algorithm against stronger noise, this paper proposes to introduce a denoise module between the noise layer and the decoder. The module is aimed at reducing noise and recovering some of the information lost during an attack. Additionally, the paper introduces the SE module to fuse the watermarking information pixel-wise and channel dimensions-wise, improving the encoder's efficiency. Experimental results show that our proposed method is comparable to existing models and outperforms state-of-the-art under different noise intensities. In addition, ablation experiments show the superiority of our proposed module.


翻译:数字水印是通过以人眼不可察觉的方式修改图像来嵌入秘密信息的过程。为了增强模型的鲁棒性,许多基于深度学习的水印方法采用编码器-解码器架构,并在噪声层中添加不同类型的噪声。解码器随后从失真图像中提取水印信息。然而,此类方法仅能抵抗弱噪声攻击。为提升算法对强噪声的鲁棒性,本文提出在噪声层与解码器之间引入去噪模块。该模块旨在降低噪声并恢复攻击过程中丢失的部分信息。此外,本文引入SE模块以在像素维度和通道维度上融合水印信息,从而提高编码器的效率。实验结果表明,所提方法在性能上与现有模型相当,且在不同噪声强度下均优于当前最优方法。消融实验进一步证明了所提模块的优越性。

0
下载
关闭预览

相关内容

专知会员服务
55+阅读 · 2020年3月16日
FlowQA: Grasping Flow in History for Conversational Machine Comprehension
专知会员服务
34+阅读 · 2019年10月18日
Keras François Chollet 《Deep Learning with Python 》, 386页pdf
专知会员服务
164+阅读 · 2019年10月12日
【SIGGRAPH2019】TensorFlow 2.0深度学习计算机图形学应用
专知会员服务
41+阅读 · 2019年10月9日
强化学习的Unsupervised Meta-Learning
CreateAMind
18+阅读 · 2019年1月7日
meta learning 17年:MAML SNAIL
CreateAMind
11+阅读 · 2019年1月2日
disentangled-representation-papers
CreateAMind
26+阅读 · 2018年9月12日
STRCF for Visual Object Tracking
统计学习与视觉计算组
15+阅读 · 2018年5月29日
论文浅尝 | 利用 RNN 和 CNN 构建基于 FreeBase 的问答系统
开放知识图谱
11+阅读 · 2018年4月25日
Focal Loss for Dense Object Detection
统计学习与视觉计算组
12+阅读 · 2018年3月15日
IJCAI | Cascade Dynamics Modeling with Attention-based RNN
KingsGarden
13+阅读 · 2017年7月16日
Layer Normalization原理及其TensorFlow实现
深度学习每日摘要
32+阅读 · 2017年6月17日
国家自然科学基金
2+阅读 · 2015年12月31日
国家自然科学基金
3+阅读 · 2015年12月31日
国家自然科学基金
1+阅读 · 2015年12月31日
国家自然科学基金
0+阅读 · 2015年12月31日
国家自然科学基金
0+阅读 · 2015年12月31日
国家自然科学基金
0+阅读 · 2015年12月31日
国家自然科学基金
2+阅读 · 2015年12月31日
国家自然科学基金
0+阅读 · 2014年12月31日
国家自然科学基金
6+阅读 · 2014年12月31日
A survey on deep hashing for image retrieval
Arxiv
15+阅读 · 2020年6月10日
Arxiv
11+阅读 · 2018年7月31日
VIP会员
最新内容
探秘Palantir:驱动美情报的科技巨头
专知会员服务
1+阅读 · 今天3:14
《美国海军军事海运司令部 2026年手册》
专知会员服务
1+阅读 · 今天3:05
《人工智能使能系统可靠性框架》
专知会员服务
3+阅读 · 今天2:28
2026“人工智能+”行业发展蓝皮书(附下载)
专知会员服务
10+阅读 · 4月26日
《强化学习数学基础》
专知会员服务
7+阅读 · 4月26日
“Maven计划”的发展演变之“Maven智能系统”应用
相关VIP内容
专知会员服务
55+阅读 · 2020年3月16日
FlowQA: Grasping Flow in History for Conversational Machine Comprehension
专知会员服务
34+阅读 · 2019年10月18日
Keras François Chollet 《Deep Learning with Python 》, 386页pdf
专知会员服务
164+阅读 · 2019年10月12日
【SIGGRAPH2019】TensorFlow 2.0深度学习计算机图形学应用
专知会员服务
41+阅读 · 2019年10月9日
相关资讯
强化学习的Unsupervised Meta-Learning
CreateAMind
18+阅读 · 2019年1月7日
meta learning 17年:MAML SNAIL
CreateAMind
11+阅读 · 2019年1月2日
disentangled-representation-papers
CreateAMind
26+阅读 · 2018年9月12日
STRCF for Visual Object Tracking
统计学习与视觉计算组
15+阅读 · 2018年5月29日
论文浅尝 | 利用 RNN 和 CNN 构建基于 FreeBase 的问答系统
开放知识图谱
11+阅读 · 2018年4月25日
Focal Loss for Dense Object Detection
统计学习与视觉计算组
12+阅读 · 2018年3月15日
IJCAI | Cascade Dynamics Modeling with Attention-based RNN
KingsGarden
13+阅读 · 2017年7月16日
Layer Normalization原理及其TensorFlow实现
深度学习每日摘要
32+阅读 · 2017年6月17日
相关基金
国家自然科学基金
2+阅读 · 2015年12月31日
国家自然科学基金
3+阅读 · 2015年12月31日
国家自然科学基金
1+阅读 · 2015年12月31日
国家自然科学基金
0+阅读 · 2015年12月31日
国家自然科学基金
0+阅读 · 2015年12月31日
国家自然科学基金
0+阅读 · 2015年12月31日
国家自然科学基金
2+阅读 · 2015年12月31日
国家自然科学基金
0+阅读 · 2014年12月31日
国家自然科学基金
6+阅读 · 2014年12月31日
Top
微信扫码咨询专知VIP会员