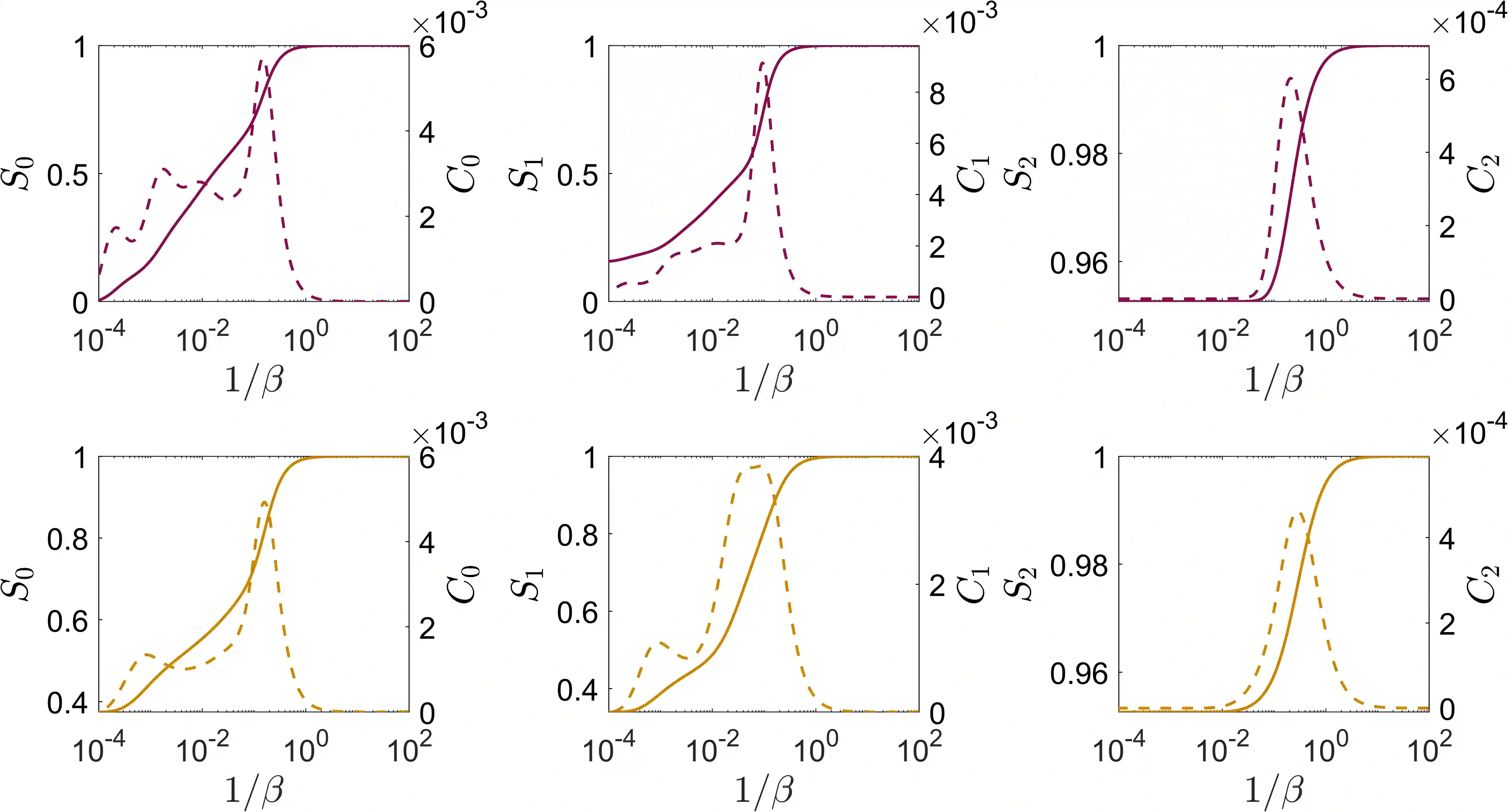
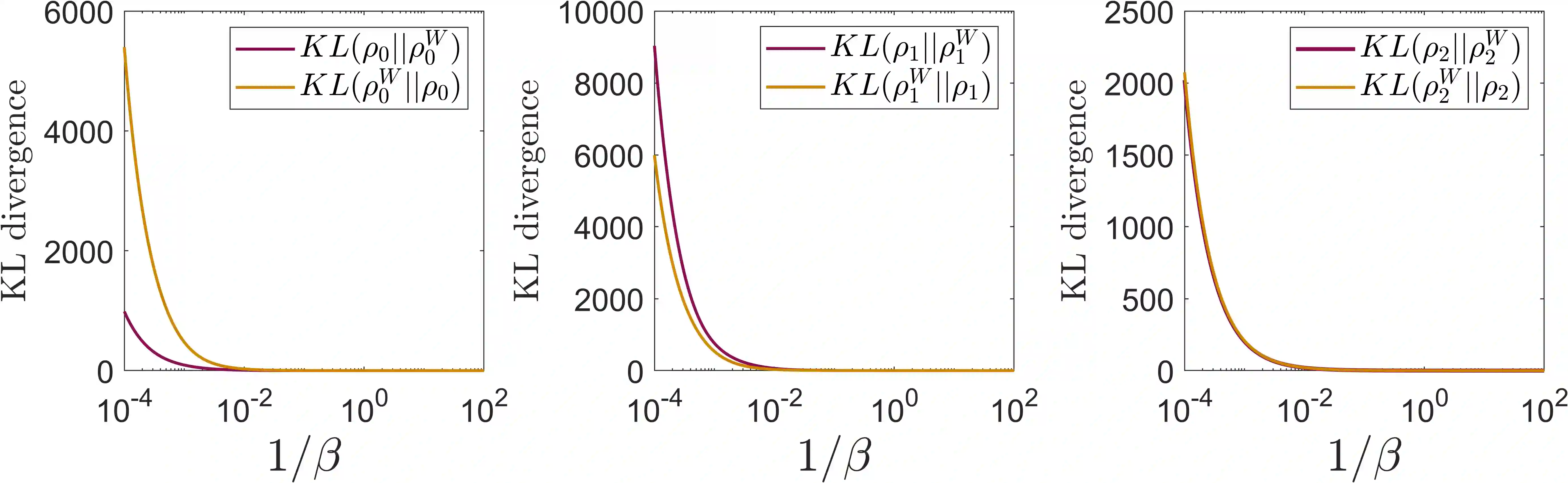
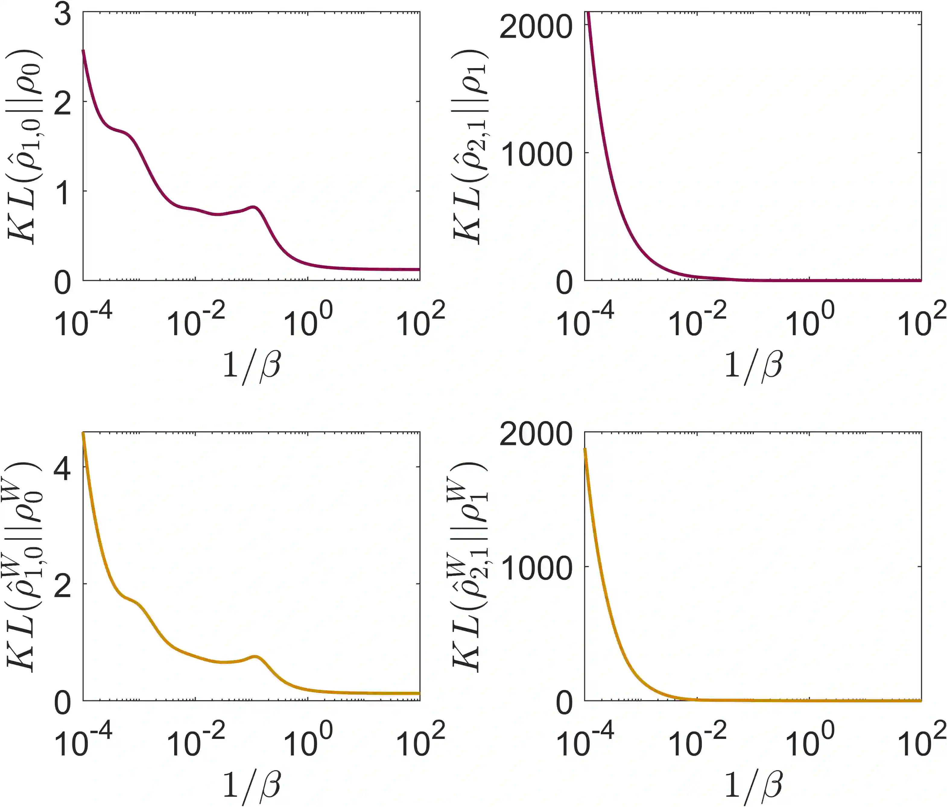
Hypergraphs and simplical complexes both capture the higher-order interactions of complex systems, ranging from higher-order collaboration networks to brain networks. One open problem in the field is what should drive the choice of the adopted mathematical framework to describe higher-order networks starting from data of higher-order interactions. Unweighted simplicial complexes typically involve a loss of information of the data, though having the benefit to capture the higher-order topology of the data. In this work we show that weighted simplicial complexes allow to circumvent all the limitations of unweighted simplicial complexes to represent higher-order interactions. In particular, weighted simplicial complexes can represent higher-order networks without loss of information, allowing at the same time to capture the weighted topology of the data. The higher-order topology is probed by studying the spectral properties of suitably defined weighted Hodge Laplacians displaying a normalized spectrum. The higher-order spectrum of (weighted) normalized Hodge Laplacians is here studied combining cohomology theory with information theory. In the proposed framework, we quantify and compare the information content of higher-order spectra of different dimension using higher-order spectral entropies and spectral relative entropies. The proposed methodology is tested on real higher-order collaboration networks and on the weighted version of the simplicial complex model "Network Geometry with Flavor".


翻译:超光速和简单化复杂综合体都捕捉了复杂系统的更高层次相互作用,从高层次协作网络到大脑网络。 实地的一个公开问题是,如何促使人们选择采纳的数学框架来描述从高层次互动数据开始的高层次网络。 超重简单复杂体通常涉及数据信息丢失, 尽管具有获取数据较高层次地形图学的好处。 在这项工作中, 我们显示, 加权简单复杂体可以绕过从高层次协作网络到代表更高层次互动的不重量级小型复杂复合体的所有限制。 特别是, 加权简易复杂体可以代表更高层次网络,而不会丢失信息,同时允许捕捉数据的加权表层学。 较高层次的地形学通常涉及数据信息的丢失, 研究适当定义的加权Hodge Laplacecian 的光谱学的光谱特性。 加权( 加权) 常规化的更高层次的网络拉普拉皮人在此研究高层次理论与高层次信息理论的结合。 在拟议的框架中, 我们量化和比较了不同层次的系统 。 在拟议的框架中,我们用比较的系统测试了不同层次的系统 。

0
下载
关闭预览

相关内容

【2021新书】高阶网络,150页pdf,Higher-Order Networks
专知会员服务
90+阅读 · 2021年11月26日
Linux导论,Introduction to Linux,96页ppt
专知会员服务
82+阅读 · 2020年7月26日
Keras François Chollet 《Deep Learning with Python 》, 386页pdf
专知会员服务
164+阅读 · 2019年10月12日
强化学习最新教程,17页pdf
专知会员服务
182+阅读 · 2019年10月11日
机器学习入门的经验与建议
专知会员服务
94+阅读 · 2019年10月10日
【SIGGRAPH2019】TensorFlow 2.0深度学习计算机图形学应用
专知会员服务
41+阅读 · 2019年10月9日
VCIP 2022 Call for Special Session Proposals
CCF多媒体专委会
1+阅读 · 2022年4月1日
IEEE TII Call For Papers
CCF多媒体专委会
3+阅读 · 2022年3月24日
AIART 2022 Call for Papers
CCF多媒体专委会
1+阅读 · 2022年2月13日
【ICIG2021】Check out the hot new trailer of ICIG2021 Symposium4
中国图象图形学学会CSIG
0+阅读 · 2021年11月10日
【ICIG2021】Check out the hot new trailer of ICIG2021 Symposium3
中国图象图形学学会CSIG
0+阅读 · 2021年11月9日
【ICIG2021】Check out the hot new trailer of ICIG2021 Symposium2
中国图象图形学学会CSIG
0+阅读 · 2021年11月8日
Hierarchically Structured Meta-learning
CreateAMind
27+阅读 · 2019年5月22日
Transferring Knowledge across Learning Processes
CreateAMind
29+阅读 · 2019年5月18日
A Technical Overview of AI & ML in 2018 & Trends for 2019
待字闺中
18+阅读 · 2018年12月24日
disentangled-representation-papers
CreateAMind
26+阅读 · 2018年9月12日
国家自然科学基金
0+阅读 · 2014年12月31日
国家自然科学基金
0+阅读 · 2014年12月31日
国家自然科学基金
0+阅读 · 2012年12月31日
国家自然科学基金
0+阅读 · 2012年12月31日
国家自然科学基金
0+阅读 · 2012年12月31日
国家自然科学基金
0+阅读 · 2011年12月31日
国家自然科学基金
1+阅读 · 2011年12月31日
国家自然科学基金
0+阅读 · 2011年12月31日
国家自然科学基金
0+阅读 · 2009年12月31日
Arxiv
0+阅读 · 2022年10月17日
Arxiv
0+阅读 · 2022年10月17日
VIP会员
最新内容
人工智能赋能无人机:俄乌战争(万字长文)
专知会员服务
5+阅读 · 今天6:56
国外海军作战管理系统与作战训练系统
专知会员服务
2+阅读 · 今天4:16
美军条令《海军陆战队规划流程(2026版)》
专知会员服务
10+阅读 · 今天3:36
《压缩式分布式交互仿真标准》120页
专知会员服务
4+阅读 · 今天3:21
《电子战数据交换模型研究报告》
专知会员服务
6+阅读 · 今天3:13
《基于Transformer的异常舰船导航识别与跟踪》80页
《低数据领域军事目标检测模型研究》
专知会员服务
6+阅读 · 今天2:37
【CMU博士论文】物理世界的视觉感知与深度理解
专知会员服务
10+阅读 · 4月22日
相关资讯
VCIP 2022 Call for Special Session Proposals
CCF多媒体专委会
1+阅读 · 2022年4月1日
IEEE TII Call For Papers
CCF多媒体专委会
3+阅读 · 2022年3月24日
AIART 2022 Call for Papers
CCF多媒体专委会
1+阅读 · 2022年2月13日
【ICIG2021】Check out the hot new trailer of ICIG2021 Symposium4
中国图象图形学学会CSIG
0+阅读 · 2021年11月10日
【ICIG2021】Check out the hot new trailer of ICIG2021 Symposium3
中国图象图形学学会CSIG
0+阅读 · 2021年11月9日
【ICIG2021】Check out the hot new trailer of ICIG2021 Symposium2
中国图象图形学学会CSIG
0+阅读 · 2021年11月8日
Hierarchically Structured Meta-learning
CreateAMind
27+阅读 · 2019年5月22日
Transferring Knowledge across Learning Processes
CreateAMind
29+阅读 · 2019年5月18日
A Technical Overview of AI & ML in 2018 & Trends for 2019
待字闺中
18+阅读 · 2018年12月24日
disentangled-representation-papers
CreateAMind
26+阅读 · 2018年9月12日
相关基金
国家自然科学基金
0+阅读 · 2014年12月31日
国家自然科学基金
0+阅读 · 2014年12月31日
国家自然科学基金
0+阅读 · 2012年12月31日
国家自然科学基金
0+阅读 · 2012年12月31日
国家自然科学基金
0+阅读 · 2012年12月31日
国家自然科学基金
0+阅读 · 2011年12月31日
国家自然科学基金
1+阅读 · 2011年12月31日
国家自然科学基金
0+阅读 · 2011年12月31日
国家自然科学基金
0+阅读 · 2009年12月31日
Top
微信扫码咨询专知VIP会员