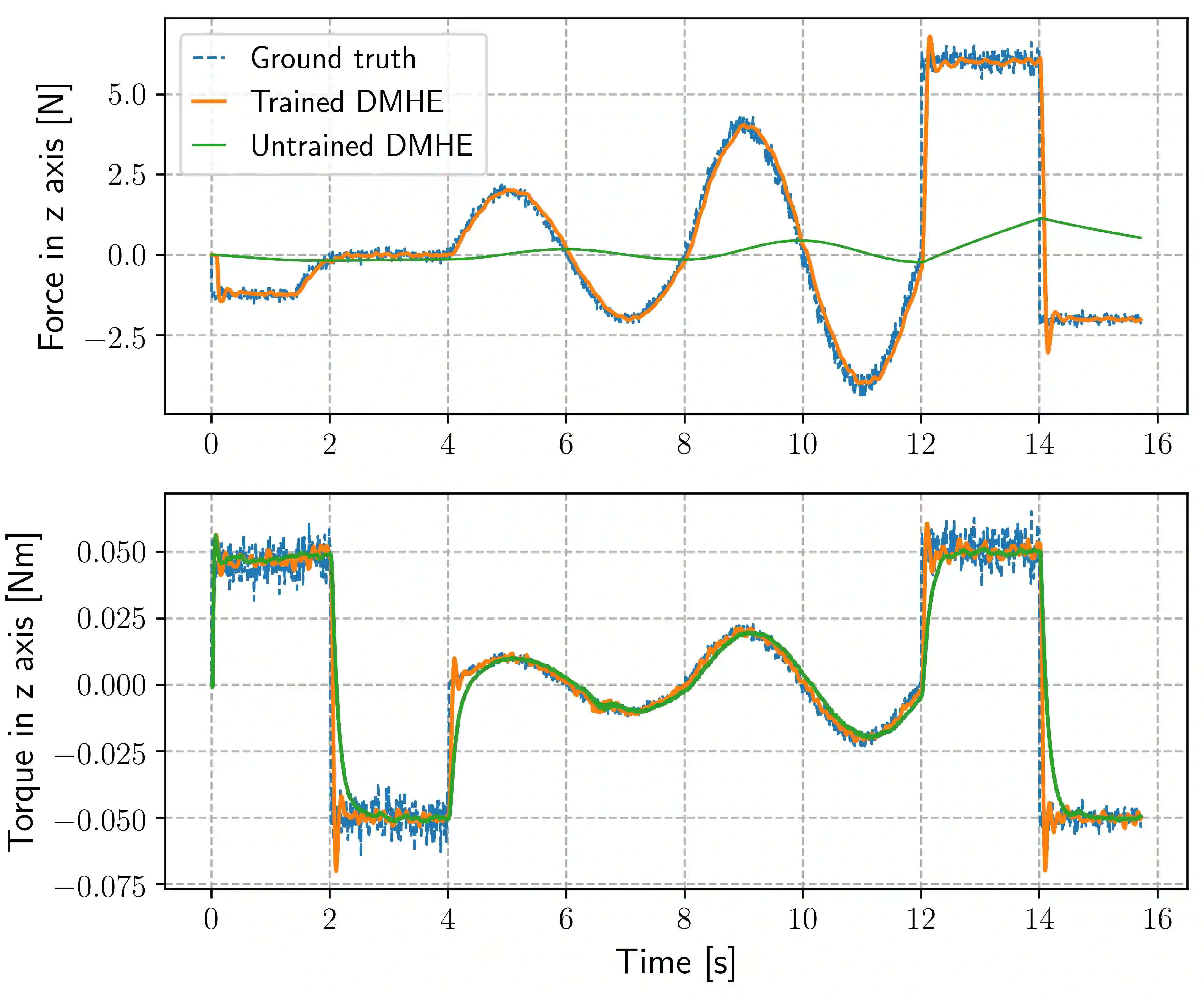
Estimating and reacting to external disturbances is of fundamental importance for robust control of quadrotors. Existing estimators typically require significant tuning or training with a large amount of data, including the ground truth, to achieve satisfactory performance. This paper proposes a data-efficient differentiable moving horizon estimation (DMHE) algorithm that can automatically tune the MHE parameters online and also adapt to different scenarios. We achieve this by deriving the analytical gradient of the estimated trajectory from MHE with respect to the tuning parameters, enabling end-to-end learning for auto-tuning. Most interestingly, we show that the gradient can be calculated efficiently from a Kalman filter in a recursive form. Moreover, we develop a model-based policy gradient algorithm to learn the parameters directly from the trajectory tracking errors without the need for the ground truth. The proposed DMHE can be further embedded as a layer with other neural networks for joint optimization. Finally, we demonstrate the effectiveness of the proposed method via both simulation and experiments on quadrotors, where challenging scenarios such as sudden payload change and flying in downwash are examined.


翻译:估计和应对外部扰动对于对振动器的稳健控制至关重要。现有的测算器通常需要大量的调整或培训,需要大量的数据,包括地面真相,才能取得令人满意的性能。本文件建议采用数据效率不同的移动地平线估计算法,可以在网上自动调控MHE参数,并适应不同的假设情况。我们通过从MAH得出估计轨迹在调试参数方面的分析梯度,为自动调控提供端到端的学习。最有意思的是,我们显示梯度可以从卡尔曼过滤器中以递归式的方式有效计算。此外,我们开发了基于模型的政策梯度算法,直接从轨迹跟踪错误中学习参数,而不需要地面真相。拟议的DHE可进一步作为一层,与其他神经网络一起进行联合优化。最后,我们通过模拟和对等离子体进行实验,展示了拟议方法的有效性,在其中对诸如突然有效载荷变化和在下层中飞行等具有挑战性的设想进行了研究。

0
下载
关闭预览

相关内容

专知会员服务
32+阅读 · 2021年6月12日
【哈佛大学商学院课程Fall 2019】机器学习可解释性
专知会员服务
105+阅读 · 2019年10月9日
ACM MM 2022 Call for Papers
CCF多媒体专委会
5+阅读 · 2022年3月29日
ACM TOMM Call for Papers
CCF多媒体专委会
2+阅读 · 2022年3月23日
AIART 2022 Call for Papers
CCF多媒体专委会
1+阅读 · 2022年2月13日
【ICIG2021】Check out the hot new trailer of ICIG2021 Symposium8
中国图象图形学学会CSIG
0+阅读 · 2021年11月16日
【ICIG2021】Check out the hot new trailer of ICIG2021 Symposium2
中国图象图形学学会CSIG
0+阅读 · 2021年11月8日
强化学习三篇论文 避免遗忘等
CreateAMind
20+阅读 · 2019年5月24日
Hierarchically Structured Meta-learning
CreateAMind
27+阅读 · 2019年5月22日
无监督元学习表示学习
CreateAMind
27+阅读 · 2019年1月4日
Unsupervised Learning via Meta-Learning
CreateAMind
44+阅读 · 2019年1月3日
强化学习族谱
CreateAMind
26+阅读 · 2017年8月2日
国家自然科学基金
10+阅读 · 2015年12月31日
国家自然科学基金
0+阅读 · 2014年12月31日
国家自然科学基金
0+阅读 · 2011年12月31日
国家自然科学基金
0+阅读 · 2011年12月31日
国家自然科学基金
0+阅读 · 2011年12月31日
国家自然科学基金
1+阅读 · 2011年12月31日
国家自然科学基金
0+阅读 · 2009年12月31日
Arxiv
0+阅读 · 2022年4月20日
Arxiv
0+阅读 · 2022年4月18日
Arxiv
24+阅读 · 2022年2月4日
VIP会员
最新内容
高效视频扩散模型:进展与挑战
专知会员服务
0+阅读 · 18分钟前
乌克兰前线的五项创新
专知会员服务
3+阅读 · 今天6:14
 军事通信系统与设备的技术演进综述
专知会员服务
2+阅读 · 今天5:59
《北约标准:医疗评估手册》174页
专知会员服务
3+阅读 · 今天5:51
《提升生成模型的安全性与保障》博士论文
专知会员服务
3+阅读 · 今天5:47
美国当前高超音速导弹发展概述
专知会员服务
4+阅读 · 4月19日
无人机蜂群建模与仿真方法
专知会员服务
11+阅读 · 4月19日
澳大利亚发布《国防战略(2026年)》
专知会员服务
6+阅读 · 4月19日
相关资讯
ACM MM 2022 Call for Papers
CCF多媒体专委会
5+阅读 · 2022年3月29日
ACM TOMM Call for Papers
CCF多媒体专委会
2+阅读 · 2022年3月23日
AIART 2022 Call for Papers
CCF多媒体专委会
1+阅读 · 2022年2月13日
【ICIG2021】Check out the hot new trailer of ICIG2021 Symposium8
中国图象图形学学会CSIG
0+阅读 · 2021年11月16日
【ICIG2021】Check out the hot new trailer of ICIG2021 Symposium2
中国图象图形学学会CSIG
0+阅读 · 2021年11月8日
强化学习三篇论文 避免遗忘等
CreateAMind
20+阅读 · 2019年5月24日
Hierarchically Structured Meta-learning
CreateAMind
27+阅读 · 2019年5月22日
无监督元学习表示学习
CreateAMind
27+阅读 · 2019年1月4日
Unsupervised Learning via Meta-Learning
CreateAMind
44+阅读 · 2019年1月3日
强化学习族谱
CreateAMind
26+阅读 · 2017年8月2日
相关基金
国家自然科学基金
10+阅读 · 2015年12月31日
国家自然科学基金
0+阅读 · 2014年12月31日
国家自然科学基金
0+阅读 · 2011年12月31日
国家自然科学基金
0+阅读 · 2011年12月31日
国家自然科学基金
0+阅读 · 2011年12月31日
国家自然科学基金
1+阅读 · 2011年12月31日
国家自然科学基金
0+阅读 · 2009年12月31日
Top
微信扫码咨询专知VIP会员