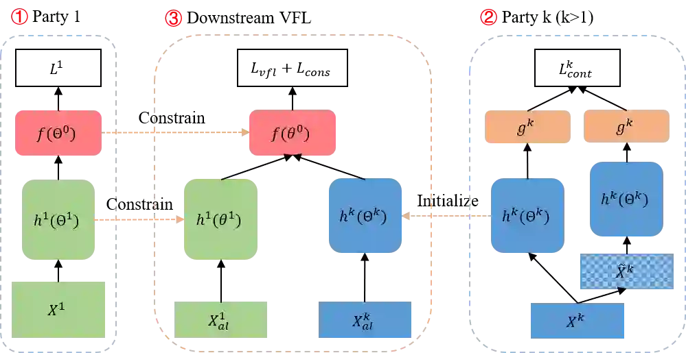
Vertical Federated Learning (VFL), which has a broad range of real-world applications, has received much attention in both academia and industry. Enterprises aspire to exploit more valuable features of the same users from diverse departments to boost their model prediction skills. VFL addresses this demand and concurrently secures individual parties from exposing their raw data. However, conventional VFL encounters a bottleneck as it only leverages aligned samples, whose size shrinks with more parties involved, resulting in data scarcity and the waste of unaligned data. To address this problem, we propose a novel VFL Hybrid Local Pre-training (VFLHLP) approach. VFLHLP first pre-trains local networks on the local data of participating parties. Then it utilizes these pre-trained networks to adjust the sub-model for the labeled party or enhance representation learning for other parties during downstream federated learning on aligned data, boosting the performance of federated models. The experimental results on real-world advertising datasets, demonstrate that our approach achieves the best performance over baseline methods by large margins. The ablation study further illustrates the contribution of each technique in VFLHLP to its overall performance.


翻译:纵向联邦学习(VFL)在现实世界中具有广泛的应用场景,近年来受到学术界和工业界的广泛关注。企业渴望利用不同部门中同一用户的更多有价值特征来提升模型预测能力。VFL满足了这一需求,同时保护各参与方免于暴露原始数据。然而,传统VFL面临瓶颈:它仅利用对齐样本,随着参与方增加,对齐样本规模逐渐缩小,导致数据稀缺和未对齐数据的浪费。为解决这一问题,我们提出了一种新颖的纵向联邦学习混合局部预训练(VFLHLP)方法。VFLHLP首先在参与方的本地数据上预训练局部网络,随后利用这些预训练网络调整带标签方的子模型,或增强其他参与方在对齐数据上的下游联邦学习过程中的表示学习,从而提升联邦模型的性能。在真实广告数据集上的实验结果表明,我们的方法在基线方法上取得了显著更优的性能。消融研究进一步阐明了VFLHLP中各技术对整体性能的贡献。

0
下载
关闭预览

相关内容

【ACL2020】多模态信息抽取,365页ppt
专知会员服务
151+阅读 · 2020年7月6日
FlowQA: Grasping Flow in History for Conversational Machine Comprehension
专知会员服务
34+阅读 · 2019年10月18日
Stabilizing Transformers for Reinforcement Learning
专知会员服务
60+阅读 · 2019年10月17日
《DeepGCNs: Making GCNs Go as Deep as CNNs》
专知会员服务
32+阅读 · 2019年10月17日
Keras François Chollet 《Deep Learning with Python 》, 386页pdf
专知会员服务
164+阅读 · 2019年10月12日
强化学习最新教程,17页pdf
专知会员服务
182+阅读 · 2019年10月11日
【SIGGRAPH2019】TensorFlow 2.0深度学习计算机图形学应用
专知会员服务
41+阅读 · 2019年10月9日
Hierarchically Structured Meta-learning
CreateAMind
27+阅读 · 2019年5月22日
Transferring Knowledge across Learning Processes
CreateAMind
29+阅读 · 2019年5月18日
Unsupervised Learning via Meta-Learning
CreateAMind
44+阅读 · 2019年1月3日
meta learning 17年:MAML SNAIL
CreateAMind
11+阅读 · 2019年1月2日
A Technical Overview of AI & ML in 2018 & Trends for 2019
待字闺中
18+阅读 · 2018年12月24日
disentangled-representation-papers
CreateAMind
26+阅读 · 2018年9月12日
STRCF for Visual Object Tracking
统计学习与视觉计算组
15+阅读 · 2018年5月29日
Focal Loss for Dense Object Detection
统计学习与视觉计算组
12+阅读 · 2018年3月15日
IJCAI | Cascade Dynamics Modeling with Attention-based RNN
KingsGarden
13+阅读 · 2017年7月16日
From Softmax to Sparsemax-ICML16(1)
KingsGarden
74+阅读 · 2016年11月26日
国家自然科学基金
13+阅读 · 2017年12月31日
国家自然科学基金
2+阅读 · 2015年12月31日
国家自然科学基金
0+阅读 · 2015年12月31日
国家自然科学基金
47+阅读 · 2015年12月31日
国家自然科学基金
2+阅读 · 2015年12月31日
国家自然科学基金
3+阅读 · 2015年12月31日
国家自然科学基金
0+阅读 · 2014年12月31日
国家自然科学基金
0+阅读 · 2014年12月31日
国家自然科学基金
2+阅读 · 2014年12月31日
VLP: A Survey on Vision-Language Pre-training
Arxiv
11+阅读 · 2022年2月21日
Arxiv
19+阅读 · 2021年2月4日
Attentive Graph Neural Networks for Few-Shot Learning
Arxiv
40+阅读 · 2020年7月14日
VIP会员
最新内容
2026“人工智能+”行业发展蓝皮书(附下载)
专知会员服务
9+阅读 · 4月26日
《强化学习数学基础》
专知会员服务
5+阅读 · 4月26日
“Maven计划”的发展演变之“Maven智能系统”应用
《无人机革命:来自俄乌战场的启示》(报告)
《实现联合作战能力所需的技术》58页报告
专知会员服务
7+阅读 · 4月26日
以色列运用人工智能优化空袭警报系统
专知会员服务
5+阅读 · 4月26日
以色列在多条战线部署AI智能体
专知会员服务
7+阅读 · 4月26日
相关VIP内容
【ACL2020】多模态信息抽取,365页ppt
专知会员服务
151+阅读 · 2020年7月6日
FlowQA: Grasping Flow in History for Conversational Machine Comprehension
专知会员服务
34+阅读 · 2019年10月18日
Stabilizing Transformers for Reinforcement Learning
专知会员服务
60+阅读 · 2019年10月17日
《DeepGCNs: Making GCNs Go as Deep as CNNs》
专知会员服务
32+阅读 · 2019年10月17日
Keras François Chollet 《Deep Learning with Python 》, 386页pdf
专知会员服务
164+阅读 · 2019年10月12日
强化学习最新教程,17页pdf
专知会员服务
182+阅读 · 2019年10月11日
【SIGGRAPH2019】TensorFlow 2.0深度学习计算机图形学应用
专知会员服务
41+阅读 · 2019年10月9日
相关资讯
Hierarchically Structured Meta-learning
CreateAMind
27+阅读 · 2019年5月22日
Transferring Knowledge across Learning Processes
CreateAMind
29+阅读 · 2019年5月18日
Unsupervised Learning via Meta-Learning
CreateAMind
44+阅读 · 2019年1月3日
meta learning 17年:MAML SNAIL
CreateAMind
11+阅读 · 2019年1月2日
A Technical Overview of AI & ML in 2018 & Trends for 2019
待字闺中
18+阅读 · 2018年12月24日
disentangled-representation-papers
CreateAMind
26+阅读 · 2018年9月12日
STRCF for Visual Object Tracking
统计学习与视觉计算组
15+阅读 · 2018年5月29日
Focal Loss for Dense Object Detection
统计学习与视觉计算组
12+阅读 · 2018年3月15日
IJCAI | Cascade Dynamics Modeling with Attention-based RNN
KingsGarden
13+阅读 · 2017年7月16日
From Softmax to Sparsemax-ICML16(1)
KingsGarden
74+阅读 · 2016年11月26日
相关基金
国家自然科学基金
13+阅读 · 2017年12月31日
国家自然科学基金
2+阅读 · 2015年12月31日
国家自然科学基金
0+阅读 · 2015年12月31日
国家自然科学基金
47+阅读 · 2015年12月31日
国家自然科学基金
2+阅读 · 2015年12月31日
国家自然科学基金
3+阅读 · 2015年12月31日
国家自然科学基金
0+阅读 · 2014年12月31日
国家自然科学基金
0+阅读 · 2014年12月31日
国家自然科学基金
2+阅读 · 2014年12月31日
Top
微信扫码咨询专知VIP会员