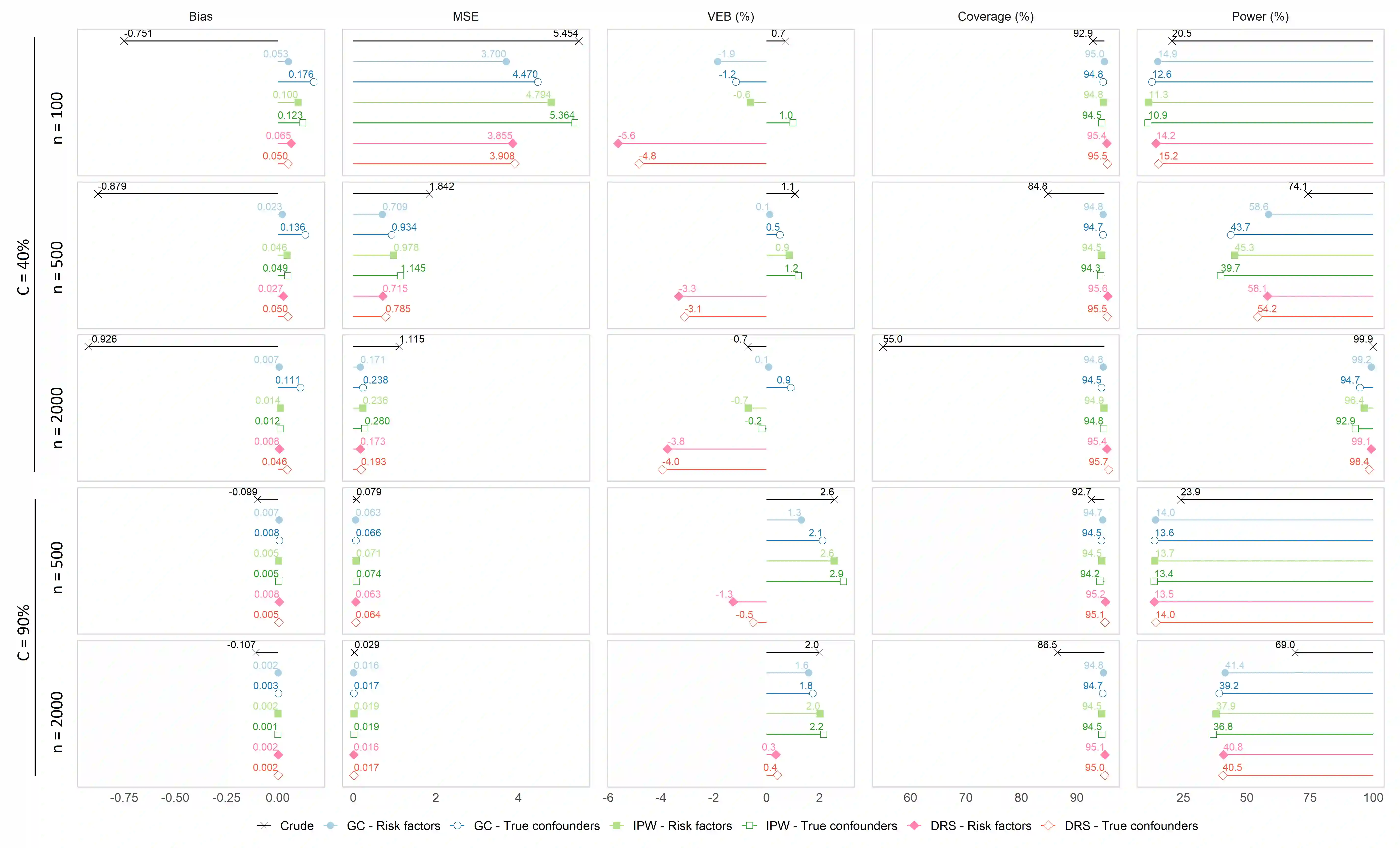
In time-to-event settings, g-computation and doubly robust estimators are based on discrete-time data. However, many biological processes are evolving continuously over time. In this paper, we extend the g-computation and the doubly robust standardisation procedures to a continuous-time context. We compare their performance to the well-known inverse-probability-weighting (IPW) estimator for the estimation of the hazard ratio and restricted mean survival times difference, using a simulation study. Under a correct model specification, all methods are unbiased, but g-computation and the doubly robust standardisation are more efficient than inverse probability weighting. We also analyse two real-world datasets to illustrate the practical implementation of these approaches. We have updated the R package RISCA to facilitate the use of these methods and their dissemination.


翻译:在时间到活动的环境中,G-计算和双倍强势估计基于离散时间数据,但许多生物过程随着时间的推移而不断演变。在本文中,我们将G-计算和双倍强的标准化程序推广到一个连续的时间范围内。我们用模拟研究将其性能与众所周知的反概率加权估计危险比率和有限平均生存时间差异的估计标准进行比较。在正确的模型规格下,所有方法都是不带偏见的,但G-计算和双倍强的标准化比反概率加权效率更高。我们还分析了两个真实世界数据集,以说明这些方法的实际执行情况。我们更新了R组合的RISCA,以便利这些方法的使用和传播。

0
下载
关闭预览

相关内容

专知会员服务
52+阅读 · 2020年12月14日
【干货书】机器学习速查手册,135页pdf
专知会员服务
127+阅读 · 2020年11月20日
【干货书】真实机器学习,264页pdf,Real-World Machine Learning
专知会员服务
63+阅读 · 2020年3月4日
Hierarchically Structured Meta-learning
CreateAMind
27+阅读 · 2019年5月22日
逆强化学习-学习人先验的动机
CreateAMind
16+阅读 · 2019年1月18日
强化学习的Unsupervised Meta-Learning
CreateAMind
18+阅读 · 2019年1月7日
Unsupervised Learning via Meta-Learning
CreateAMind
44+阅读 · 2019年1月3日
A Technical Overview of AI & ML in 2018 & Trends for 2019
待字闺中
18+阅读 · 2018年12月24日
vae 相关论文 表示学习 1
CreateAMind
12+阅读 · 2018年9月6日
Hierarchical Imitation - Reinforcement Learning
CreateAMind
19+阅读 · 2018年5月25日
【学习】Hierarchical Softmax
机器学习研究会
4+阅读 · 2017年8月6日
Auto-Encoding GAN
CreateAMind
7+阅读 · 2017年8月4日
强化学习族谱
CreateAMind
26+阅读 · 2017年8月2日
Arxiv
4+阅读 · 2018年10月5日
Arxiv
3+阅读 · 2018年2月24日
Arxiv
5+阅读 · 2017年12月14日
VIP会员
最新内容
《系统簇式多域作战规划范畴论框架》
专知会员服务
1+阅读 · 27分钟前
高效视频扩散模型:进展与挑战
专知会员服务
0+阅读 · 今天13:34
乌克兰前线的五项创新
专知会员服务
5+阅读 · 今天6:14
 军事通信系统与设备的技术演进综述
专知会员服务
3+阅读 · 今天5:59
《北约标准:医疗评估手册》174页
专知会员服务
3+阅读 · 今天5:51
《提升生成模型的安全性与保障》博士论文
专知会员服务
3+阅读 · 今天5:47
美国当前高超音速导弹发展概述
专知会员服务
4+阅读 · 4月19日
无人机蜂群建模与仿真方法
专知会员服务
12+阅读 · 4月19日
相关资讯
Hierarchically Structured Meta-learning
CreateAMind
27+阅读 · 2019年5月22日
逆强化学习-学习人先验的动机
CreateAMind
16+阅读 · 2019年1月18日
强化学习的Unsupervised Meta-Learning
CreateAMind
18+阅读 · 2019年1月7日
Unsupervised Learning via Meta-Learning
CreateAMind
44+阅读 · 2019年1月3日
A Technical Overview of AI & ML in 2018 & Trends for 2019
待字闺中
18+阅读 · 2018年12月24日
vae 相关论文 表示学习 1
CreateAMind
12+阅读 · 2018年9月6日
Hierarchical Imitation - Reinforcement Learning
CreateAMind
19+阅读 · 2018年5月25日
【学习】Hierarchical Softmax
机器学习研究会
4+阅读 · 2017年8月6日
Auto-Encoding GAN
CreateAMind
7+阅读 · 2017年8月4日
强化学习族谱
CreateAMind
26+阅读 · 2017年8月2日
Top
微信扫码咨询专知VIP会员