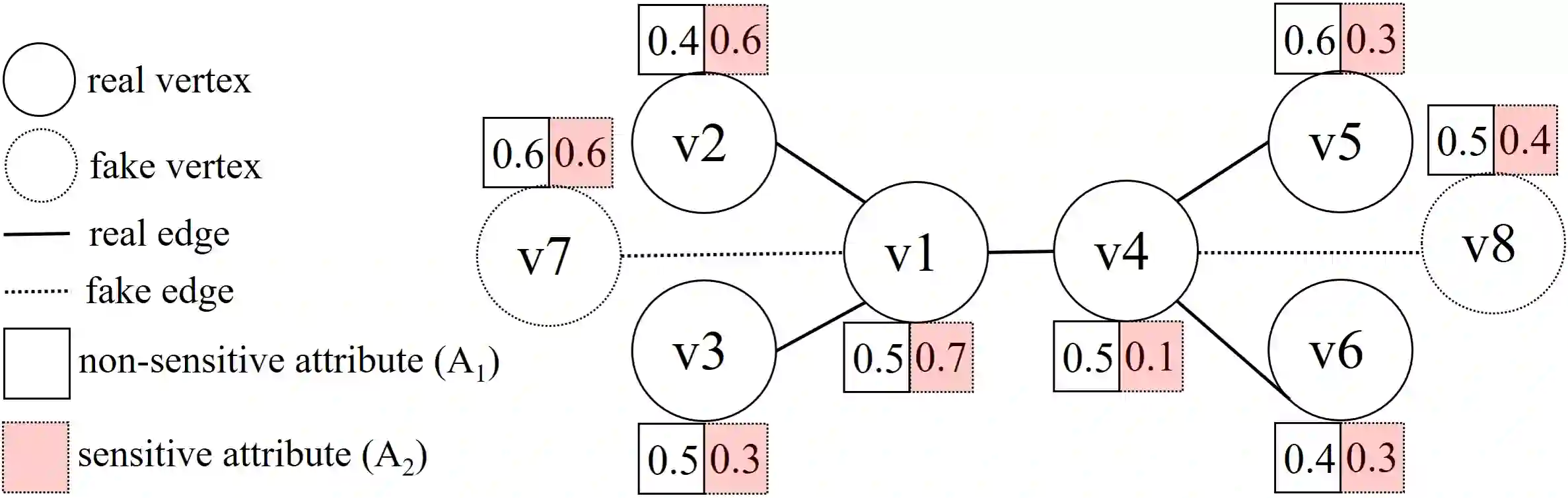
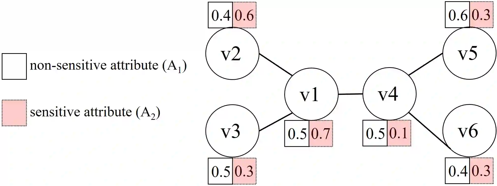
In a wide spectrum of real-world applications, it is very important to analyze and mine graph data such as social networks, communication networks, citation networks, and so on. However, the release of such graph data often raises privacy issue, and the graph privacy preservation has recently drawn much attention from the database community. While prior works on graph privacy preservation mainly focused on protecting the privacy of either the graph structure only or vertex attributes only, in this paper, we propose a novel mechanism for graph privacy preservation by considering attacks from both graph structures and vertex attributes, which transforms the original graph to a so-called kt-safe graph, via k-anonymity and t-closeness. We prove that the generation of a kt-safe graph is NP-hard, therefore, we propose a feasible framework for effectively and efficiently anonymizing a graph with low anonymization cost. In particular, we design a cost-model-based graph partitioning approach to enable our proposed divide-and-conquer strategy for the graph anonymization, and propose effective optimization techniques such as pruning method and a tree synopsis to improve the anonymization efficiency over large-scale graphs. Extensive experiments have been conducted to verify the efficiency and effectiveness of our proposed kt-safe graph generation approach on both real and synthetic data sets.


翻译:在一系列广泛的现实世界应用中,分析和采集图表数据非常重要,如社交网络、通信网络、引用网络等。然而,此类图表数据的发布往往引起隐私问题,而图表隐私保护最近引起了数据库界的极大关注。虽然先前的图形隐私保护工作主要侧重于仅保护图形结构的隐私或仅保护顶点属性的隐私,但在本文件中,我们提出了一个基于成本模型的图形分化方法,以便从图形结构和顶点属性两方面考虑攻击,从而将原始图表转换成所谓的 kt 安全图形,通过k- 匿名和T- 关闭。我们证明,生成Kt 安全图表是硬的,因此,我们提出了一个可行的框架,以便以低匿名成本对图表进行高效和高效的同声调。我们特别设计了一个基于成本模型的图形分化方法,以便我们提议的图形本地化分化分化分化战略能够将原始图表转换成所谓的 kt- 安全图形,通过k- 匿名性和 T- closeality 图形化等有效优化技术。我们提出的模型生成模型和合成数据系统效率的大规模测试方法已经改进了我们的模型生成系统化效率。

0
下载
关闭预览

相关内容

不可错过!《机器学习100讲》课程,UBC Mark Schmidt讲授
专知会员服务
76+阅读 · 2022年6月28日
因果图,Causal Graphs,52页ppt
专知会员服务
253+阅读 · 2020年4月19日
强化学习最新教程,17页pdf
专知会员服务
182+阅读 · 2019年10月11日
【SIGGRAPH2019】TensorFlow 2.0深度学习计算机图形学应用
专知会员服务
41+阅读 · 2019年10月9日
VCIP 2022 Call for Demos
CCF多媒体专委会
1+阅读 · 2022年6月6日
VCIP 2022 Call for Special Session Proposals
CCF多媒体专委会
1+阅读 · 2022年4月1日
IEEE ICKG 2022: Call for Papers
机器学习与推荐算法
3+阅读 · 2022年3月30日
ACM MM 2022 Call for Papers
CCF多媒体专委会
5+阅读 · 2022年3月29日
AIART 2022 Call for Papers
CCF多媒体专委会
1+阅读 · 2022年2月13日
【ICIG2021】Check out the hot new trailer of ICIG2021 Symposium3
中国图象图形学学会CSIG
0+阅读 · 2021年11月9日
【ICIG2021】Check out the hot new trailer of ICIG2021 Symposium1
中国图象图形学学会CSIG
0+阅读 · 2021年11月3日
Hierarchically Structured Meta-learning
CreateAMind
27+阅读 · 2019年5月22日
Unsupervised Learning via Meta-Learning
CreateAMind
44+阅读 · 2019年1月3日
A Technical Overview of AI & ML in 2018 & Trends for 2019
待字闺中
18+阅读 · 2018年12月24日
国家自然科学基金
0+阅读 · 2014年12月31日
国家自然科学基金
0+阅读 · 2012年12月31日
国家自然科学基金
0+阅读 · 2012年12月31日
国家自然科学基金
0+阅读 · 2012年12月31日
国家自然科学基金
1+阅读 · 2011年12月31日
国家自然科学基金
0+阅读 · 2011年12月31日
国家自然科学基金
0+阅读 · 2009年12月31日
国家自然科学基金
0+阅读 · 2008年12月31日
Arxiv
13+阅读 · 2021年10月22日
Arxiv
10+阅读 · 2020年6月12日
Arxiv
14+阅读 · 2019年9月11日
VIP会员
最新内容
美国与以色列如何在攻击伊朗中使用人工智能
专知会员服务
2+阅读 · 今天16:20
《自动化战略情报管控》
专知会员服务
1+阅读 · 今天14:31
得失评估:审视对伊朗战争的轨迹(简报)
专知会员服务
2+阅读 · 今天14:19
【CMU博士论文】迈向可解释机器学习的理论基础
专知会员服务
2+阅读 · 今天12:23
基于数据优化的人机协同与机器人僚机
专知会员服务
5+阅读 · 今天2:08
相关资讯
VCIP 2022 Call for Demos
CCF多媒体专委会
1+阅读 · 2022年6月6日
VCIP 2022 Call for Special Session Proposals
CCF多媒体专委会
1+阅读 · 2022年4月1日
IEEE ICKG 2022: Call for Papers
机器学习与推荐算法
3+阅读 · 2022年3月30日
ACM MM 2022 Call for Papers
CCF多媒体专委会
5+阅读 · 2022年3月29日
AIART 2022 Call for Papers
CCF多媒体专委会
1+阅读 · 2022年2月13日
【ICIG2021】Check out the hot new trailer of ICIG2021 Symposium3
中国图象图形学学会CSIG
0+阅读 · 2021年11月9日
【ICIG2021】Check out the hot new trailer of ICIG2021 Symposium1
中国图象图形学学会CSIG
0+阅读 · 2021年11月3日
Hierarchically Structured Meta-learning
CreateAMind
27+阅读 · 2019年5月22日
Unsupervised Learning via Meta-Learning
CreateAMind
44+阅读 · 2019年1月3日
A Technical Overview of AI & ML in 2018 & Trends for 2019
待字闺中
18+阅读 · 2018年12月24日
相关基金
国家自然科学基金
0+阅读 · 2014年12月31日
国家自然科学基金
0+阅读 · 2012年12月31日
国家自然科学基金
0+阅读 · 2012年12月31日
国家自然科学基金
0+阅读 · 2012年12月31日
国家自然科学基金
1+阅读 · 2011年12月31日
国家自然科学基金
0+阅读 · 2011年12月31日
国家自然科学基金
0+阅读 · 2009年12月31日
国家自然科学基金
0+阅读 · 2008年12月31日
Top
微信扫码咨询专知VIP会员