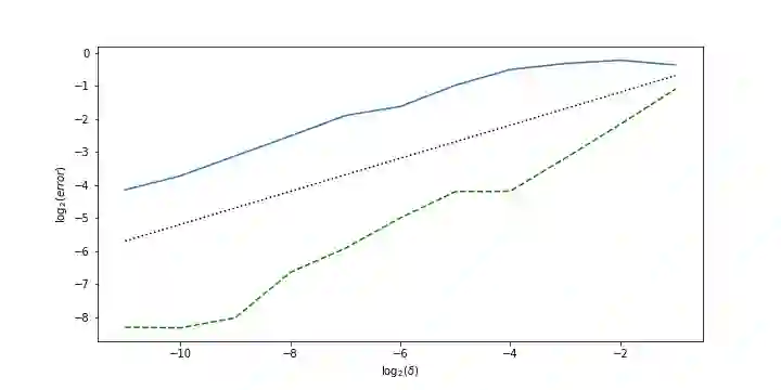
In this paper we study jump-diffusion stochastic differential equations (SDEs) with a discontinuous drift coefficient and a possibly degenerate diffusion coefficient. Such SDEs appear in applications such as optimal control problems in energy markets. We prove existence and uniqueness of strong solutions. In addition we study the strong convergence order of the Euler-Maruyama scheme and recover the optimal rate $1/2$.


翻译:在本文中,我们用不连续漂移系数和可能退化的传播系数研究跳跃-扩散随机差异方程式(SDEs),这些SDEs出现在能源市场的最佳控制问题等应用中,我们证明了强有力的解决办法的存在和独特性,此外,我们还研究了欧勒-马鲁山方案强有力的趋同顺序,并恢复了1/2美元的最佳比率。

0
下载
关闭预览

相关内容

一份简单《图神经网络》教程,28页ppt
专知会员服务
127+阅读 · 2020年8月2日
Fariz Darari简明《博弈论Game Theory》介绍,35页ppt
专知会员服务
112+阅读 · 2020年5月15日
因果图,Causal Graphs,52页ppt
专知会员服务
253+阅读 · 2020年4月19日
MIT新书《强化学习与最优控制》
专知会员服务
282+阅读 · 2019年10月9日
无监督元学习表示学习
CreateAMind
27+阅读 · 2019年1月4日
Disentangled的假设的探讨
CreateAMind
9+阅读 · 2018年12月10日
246 页《统计机器学习与凸优化》教程 PPT 下载
新智元
25+阅读 · 2018年9月21日
Hierarchical Disentangled Representations
CreateAMind
4+阅读 · 2018年4月15日
【论文】变分推断(Variational inference)的总结
机器学习研究会
39+阅读 · 2017年11月16日
Auto-Encoding GAN
CreateAMind
7+阅读 · 2017年8月4日
VIP会员
最新内容
《美陆军条例:陆军指挥政策(2026版)》
专知会员服务
5+阅读 · 今天8:10
《军用自主人工智能系统的治理与安全》
专知会员服务
4+阅读 · 今天8:02
《系统簇式多域作战规划范畴论框架》
专知会员服务
7+阅读 · 4月20日
高效视频扩散模型:进展与挑战
专知会员服务
3+阅读 · 4月20日
乌克兰前线的五项创新
专知会员服务
7+阅读 · 4月20日
 军事通信系统与设备的技术演进综述
专知会员服务
6+阅读 · 4月20日
《北约标准:医疗评估手册》174页
专知会员服务
5+阅读 · 4月20日
Top
微信扫码咨询专知VIP会员