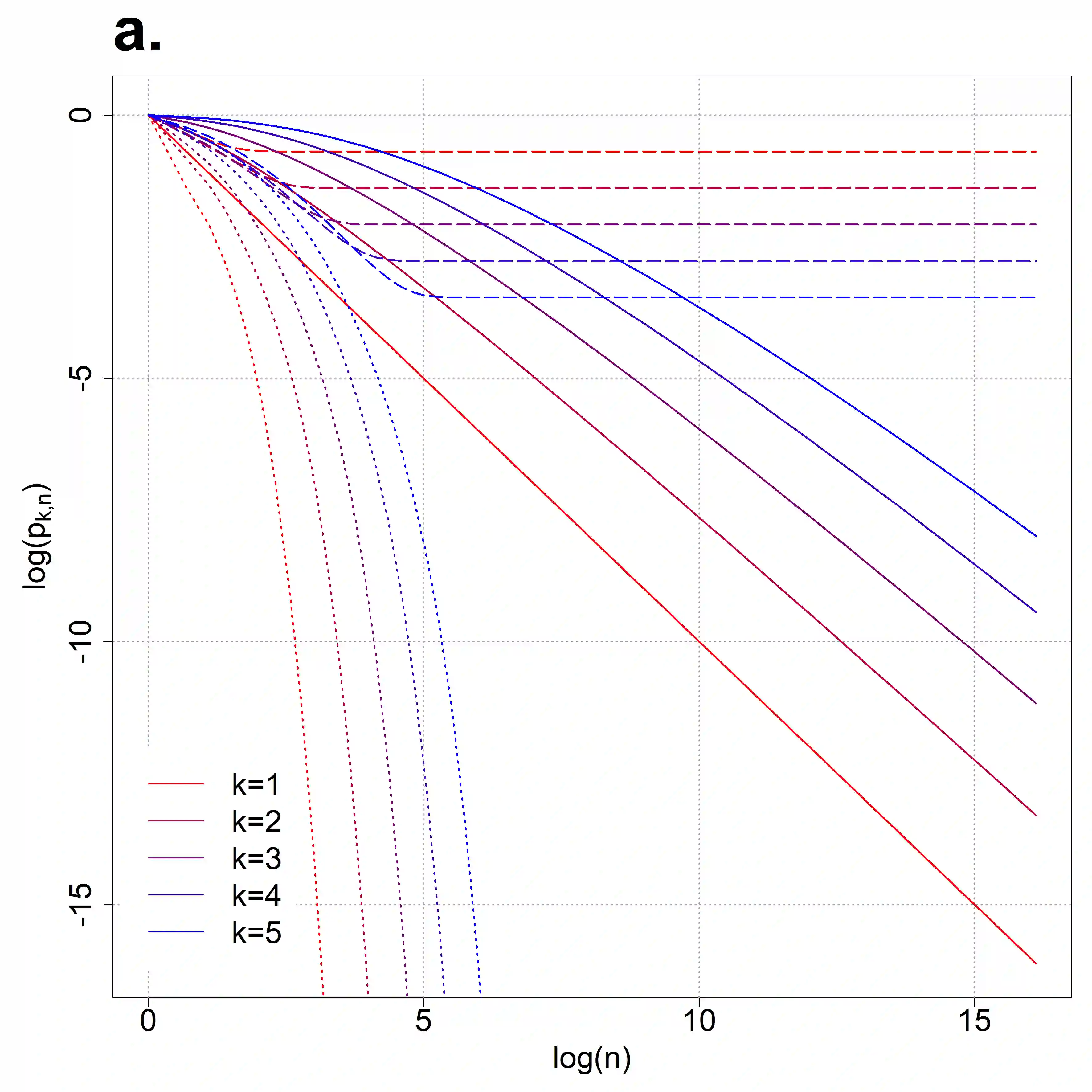
Consider $n$ iid real-valued random vectors of size $k$ having iid coordinates with a general distribution function $F$. A vector is a maximum if and only if there is no other vector in the sample which weakly dominates it in all coordinates. Let $p_{k,n}$ be the probability that the first vector is a maximum. The main result of the present paper is that if $k\equiv k_n$ is growing at a slower (faster) rate than a certain factor of $\log(n)$, then $p_{k,n} \rightarrow 0$ (resp. $p_{k,n}\rightarrow1$) as $n\to\infty$. Furthermore, the factor is fully characterized as a functional of $F$. We also study the effect of $F$ on $p_{k,n}$, showing that while $p_{k,n}$ may be highly affected by the choice of $F$, the phase transition is the same for all distribution functions up to a constant factor.


翻译:考虑美元实际价值为美元的实际随机矢量, 其大小为 $k$, 其坐标为 $(n) 。 矢量是最大值的, 如果并且只有在样本中没有其他矢量在所有坐标中微弱支配该矢量。 让 $p ⁇ k, n} 美元成为第一个矢量最大的可能性。 本文的主要结果是, 如果 $k\ equiv k_n 以较慢( 较快) 的速度增长, 而不是 $( log) 的某个系数, 美元, 然后 $p ⁇ k, n} rightrow $ 0 ( resp. $p ⁇ k, n rightrow1$), 则以 $n\\ t\ t\ t\ inty$为最大值。 此外, 该系数被完全定性为 $( $) 。 我们还研究美元对 $p ⁇ k, n} 美元的影响, 表明 美元可能因选择 $(n) 而受到极大影响,,, 而所有分配功能的阶段过渡与 向一个恒值相同 。

0
下载
关闭预览

相关内容

【硬核书】矩阵代数基础,248页pdf
专知会员服务
88+阅读 · 2021年12月9日
专知会员服务
87+阅读 · 2020年12月5日
【干货书】机器学习速查手册,135页pdf
专知会员服务
127+阅读 · 2020年11月20日
Linux导论,Introduction to Linux,96页ppt
专知会员服务
82+阅读 · 2020年7月26日
Stabilizing Transformers for Reinforcement Learning
专知会员服务
60+阅读 · 2019年10月17日
强化学习最新教程,17页pdf
专知会员服务
182+阅读 · 2019年10月11日
VCIP 2022 Call for Special Session Proposals
CCF多媒体专委会
1+阅读 · 2022年4月1日
IEEE ICKG 2022: Call for Papers
机器学习与推荐算法
3+阅读 · 2022年3月30日
ACM MM 2022 Call for Papers
CCF多媒体专委会
5+阅读 · 2022年3月29日
AIART 2022 Call for Papers
CCF多媒体专委会
1+阅读 · 2022年2月13日
【ICIG2021】Check out the hot new trailer of ICIG2021 Symposium9
中国图象图形学学会CSIG
0+阅读 · 2021年12月17日
【ICIG2021】Check out the hot new trailer of ICIG2021 Symposium8
中国图象图形学学会CSIG
0+阅读 · 2021年11月16日
【ICIG2021】Check out the hot new trailer of ICIG2021 Symposium6
中国图象图形学学会CSIG
2+阅读 · 2021年11月12日
【ICIG2021】Check out the hot new trailer of ICIG2021 Symposium4
中国图象图形学学会CSIG
0+阅读 · 2021年11月10日
Hierarchically Structured Meta-learning
CreateAMind
27+阅读 · 2019年5月22日
A Technical Overview of AI & ML in 2018 & Trends for 2019
待字闺中
18+阅读 · 2018年12月24日
国家自然科学基金
0+阅读 · 2015年12月31日
国家自然科学基金
0+阅读 · 2015年12月31日
国家自然科学基金
0+阅读 · 2013年12月31日
国家自然科学基金
0+阅读 · 2012年12月31日
国家自然科学基金
0+阅读 · 2012年12月31日
国家自然科学基金
0+阅读 · 2012年12月31日
国家自然科学基金
0+阅读 · 2011年12月31日
Arxiv
0+阅读 · 2022年4月18日
Arxiv
0+阅读 · 2022年4月14日
VIP会员
最新内容
《压缩式分布式交互仿真标准》120页
专知会员服务
0+阅读 · 15分钟前
《电子战数据交换模型研究报告》
专知会员服务
1+阅读 · 23分钟前
《基于Transformer的异常舰船导航识别与跟踪》80页
专知会员服务
1+阅读 · 51分钟前
《低数据领域军事目标检测模型研究》
专知会员服务
1+阅读 · 59分钟前
【CMU博士论文】物理世界的视觉感知与深度理解
伊朗战争停火期间美军关键弹药状况分析
专知会员服务
8+阅读 · 4月22日
电子战革命:塑造战场的十年突破(2015–2025)
人工智能即服务与未来战争(印度视角)
专知会员服务
4+阅读 · 4月22日
相关VIP内容
【硬核书】矩阵代数基础,248页pdf
专知会员服务
88+阅读 · 2021年12月9日
专知会员服务
87+阅读 · 2020年12月5日
【干货书】机器学习速查手册,135页pdf
专知会员服务
127+阅读 · 2020年11月20日
Linux导论,Introduction to Linux,96页ppt
专知会员服务
82+阅读 · 2020年7月26日
Stabilizing Transformers for Reinforcement Learning
专知会员服务
60+阅读 · 2019年10月17日
强化学习最新教程,17页pdf
专知会员服务
182+阅读 · 2019年10月11日
相关资讯
VCIP 2022 Call for Special Session Proposals
CCF多媒体专委会
1+阅读 · 2022年4月1日
IEEE ICKG 2022: Call for Papers
机器学习与推荐算法
3+阅读 · 2022年3月30日
ACM MM 2022 Call for Papers
CCF多媒体专委会
5+阅读 · 2022年3月29日
AIART 2022 Call for Papers
CCF多媒体专委会
1+阅读 · 2022年2月13日
【ICIG2021】Check out the hot new trailer of ICIG2021 Symposium9
中国图象图形学学会CSIG
0+阅读 · 2021年12月17日
【ICIG2021】Check out the hot new trailer of ICIG2021 Symposium8
中国图象图形学学会CSIG
0+阅读 · 2021年11月16日
【ICIG2021】Check out the hot new trailer of ICIG2021 Symposium6
中国图象图形学学会CSIG
2+阅读 · 2021年11月12日
【ICIG2021】Check out the hot new trailer of ICIG2021 Symposium4
中国图象图形学学会CSIG
0+阅读 · 2021年11月10日
Hierarchically Structured Meta-learning
CreateAMind
27+阅读 · 2019年5月22日
A Technical Overview of AI & ML in 2018 & Trends for 2019
待字闺中
18+阅读 · 2018年12月24日
相关基金
国家自然科学基金
0+阅读 · 2015年12月31日
国家自然科学基金
0+阅读 · 2015年12月31日
国家自然科学基金
0+阅读 · 2013年12月31日
国家自然科学基金
0+阅读 · 2012年12月31日
国家自然科学基金
0+阅读 · 2012年12月31日
国家自然科学基金
0+阅读 · 2012年12月31日
国家自然科学基金
0+阅读 · 2011年12月31日
Top
微信扫码咨询专知VIP会员