最近由国际海洋安全中心(CIMSEC)发布的一些列文章——该系列的第一篇——出色地描述和解释了海军的“核心作战概念”——分布式海上作战(DMO)。简而言之,DMO要求“...从分布式力量中集结并汇聚火力,使敌方的定位和决策复杂化,并在不同的平台和领域之间实现网络效应。”

DMO作战概念的打击有效性需要进一步研究。在此过程中,重要的是要记住,一个舰队主要做四件事——它侦查、它筛选、它打击、和它基地。至少在公开来源的定义中,DMO在舰队的侦查、筛选和基地功能中尚未得到很好的发展。相反,DMO似乎主要集中在舰队的进攻功能上,即打击功能。

分析的第一步是使用齐射方程式分析传统的集中式兵力与另一支集中式兵力的对比。第二步将研究一支能够对一支集中式兵力进行大规模火力攻击的分布式兵力。最后一步是分析一支集中式兵力与分布式兵力的一部分交战的情况。我们还将研究 "首先有效开火 "在实践中的含义,以及如果敌军采取分布式作战会发生什么情况。

齐射方程式

齐射方程式由已故的韦恩-休斯(Wayne Hughes)上尉开发,在《舰队作战:作战艺术与现代舰队战斗》一书的第 1 章和附录 A 中有详细论述。通过齐射方程式,休斯上校展示了:"现代海战如何遵循齐射模式:对手在瞬时齐射交换中向对方施加战斗力脉冲。齐射交换是进攻战斗力(如水雷、鱼雷、炸弹或导弹)和防御战斗力(如地对空导弹[SAM]、干扰、箔条、诱饵)的相互作用。这些相互作用产生的剩余战斗力将用于抵消目标的持久力(目标可承受的特定武器命中次数,且仍可用于战斗)"。

在此提出齐射方程供参考:

集中式兵力与集中式兵力的对比

我们分析的第一步将是两支集中式兵力相互交战的情况。为了简化分析,我们假定两支兵力的实力完全相等,每支兵力都由相同数量的配备导弹的水面舰艇组成,具有相同的攻击和防御能力。其中包括

  • 每支兵力由六艘水面舰艇组成(A = B = 6)。
  • 每艘水面舰艇的排水量为 8000 吨。根据 "立方根法则",这意味着需要两枚 "千磅炸弹当量"(TPBE)才能使一艘战舰失去战斗力。考虑到现代炸药的破坏兵力,这相当于 2 x 660 磅,即 1320 磅现代弹头炸药。假设弹头大小为 500 磅,则需要 2.64 枚弹头才能使一艘 8000 吨级的舰船失去动力。(a1=b1=2.64)。
  • 每艘水面舰艇的装备如下
    • 八枚配备 500 磅弹头的反舰巡航导弹 (ASCM)。所有反舰巡航导弹均被视为 "瞄准良好"(即除非被摧毁、诱骗或击落,否则反舰巡航导弹将命中预定目标;但这并不总是正确的,《舰队作战》第 1 章对此进行了讨论。)
    • 地对空导弹 (SAM) 系统,能够在涉及多枚来袭导弹的一般交战中摧毁两枚来袭的 ASCM。
    • 能够摧毁两枚来袭反舰导弹的近程武器系统 (CIWS)。
    • 可击毁一枚反舰导弹的电子对抗系统(ECM)。
    • 能够摧毁一枚反舰导弹的诱饵系统。
  • 因此,考虑到 SAM、CIWS、ECM 和诱饵系统摧毁或击落来袭反舰导弹的综合能力,a3 = b3 = 6。
  • 每支兵力都具有同等的有机和无机侦察能力,能够在反舰导弹的最大射程内探测到对方兵力并确定其位置。

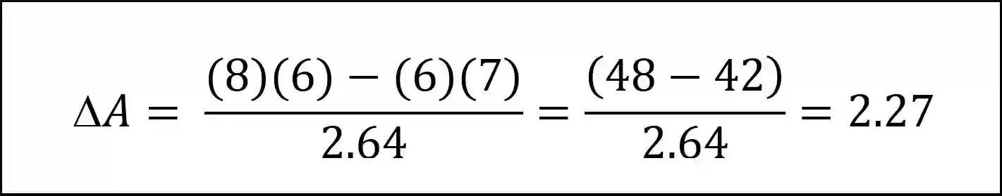
基于这些假设,两支集中式兵力交战的齐射方程式如图 1 所示:

图1

预测战舰在战斗中的受损情况总是很困难,但兵力 A 和兵力 B 的单位数变化为 4.55,表明命中率足以使每个兵力中的 4.55 艘战舰失去行动能力。当然,这在很大程度上取决于命中率的分布,如果命中率在兵力中平均分布,则意味着每个兵力中的每艘舰船都受到了一些伤害,但并没有失去战斗力。此外,这种设想假设每支兵力都能 "同时 "发起攻击,这里的 "同时 "是指每支兵力都能在被另一支兵力的反舰导弹击中之前向对方发射反舰导弹。

那么,韦恩-休斯上尉告诫 "先有效射击 "的实质就是发动攻击,并在对方兵力发射导弹之前让导弹击中对方兵力。假设 B 兵力能够 "先发制人",那么根据上述齐射等式,A 兵力将总共减少 4.55 艘战舰,因此 A 兵力随后对 B 兵力的攻击结果如下:

图2

DB 的负数表示 B 兵力很可能能够击溃 A 兵力的所有来袭导弹;而数字越大,则越有可能击溃来袭打击。这就是 "先发制人 "的优势。

这突出了攻防火力的另外两个方面。首先,点防御导弹等近程防御火力往往可以在另一次齐射攻击前得到补充。虽然它们击败来袭齐射的能力可能有限,但通常可以重新装填并准备防御未来的齐射,而不会降低能力。其次,反舰导弹并不总是如此,许多反舰导弹安装在专用发射器中,数量有限,无法快速或在海上重新装填。读者可以从这个例子中看到,为未来可能的交战保留进攻火力的动机可以说是微乎其微,因为要克服对手的防御能力,往往需要所有可用的进攻火力。

分布式兵力与集中式兵力的对比

本分析的第二步是研究一支能够对一支集中式兵力进行集中火力射击的分布式兵力。然而,此时读者应该能够看到,假设集中式兵力能够对分布式兵力的所有要素发起攻击,其结果很可能与上述情况类似。与分布式兵力相关的一个问题是,分布式兵力针对共同目标集火所需的协调。有关目标位置、航向和速度的侦察信息需要传达给分布式兵力的所有部队,而且分布式部队需要进行某种协调和沟通,才能对目标集火。这在本质上比集中式兵力攻击更为复杂,也更容易出现通信和协调失败。

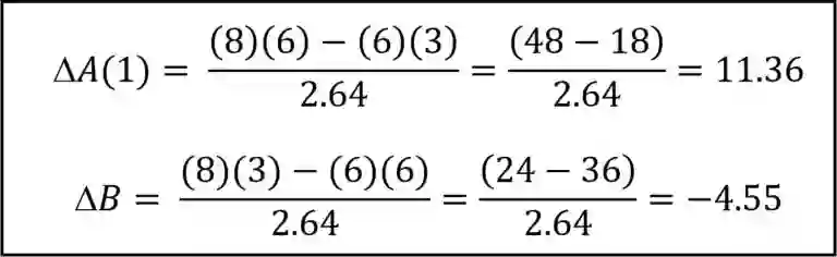
分析的第三步是看一支集中式兵力与分布式兵力的一部分交战的情况。在有能力--或幸运--的对手面前,分散自己兵力的危险在于,对方兵力会在 "细节上 "击败自己兵力的一部分;也就是说,整个对方兵力只与自己兵力的一部分交战,并能摧毁它。假定兵力 A 将自身分为两个相等的部分,即 A(1)和 A(2),并假定兵力 B 在 A(2)参战之前就与 A(1)交战,这种交战的特征在齐射方程中如图 3 所示:

图3

在这里,我们看到兵力 B 的进攻火力优势压倒了兵力 A(1)的防御能力,兵力 B 的防御能力能够击败兵力 A(1)不足的进攻火力。如果 A(2)部队对 B 部队发起攻击,其结果将与 A(1)部队完全相同,如图 4 所示:

图4

在分布式的情况下,A 兵力所受损害的净结果很可能是三艘 A(1) 战舰全部被毁,而对方的 A(2) 战舰没有受损。回想一下,在集中式情况下,A 兵力战舰受到的损害(即 4.55 艘战舰丧失战斗力)将分布在该兵力的 6 艘战舰上。而在这里,B 兵力足以使 11.36 艘战舰失去战斗力的攻击力只分布在 A(1)兵力的三艘战舰上,这实际上确保了所有三艘战舰都将完全失去战斗力。兵力 B 不会受到任何损害。与集中式或分布式 A 兵力能够集火的情况相比(图 1),B 兵力将遭受同等程度的损失。

如果兵力 B 只探测到兵力 A 的分布式部分之一(兵力 A(1)),但分布式兵力 A 能够对兵力 B 进行大规模射击,会发生什么情况?

图5

结果如图 5 所示。兵力 A(1)的三艘战舰可能都会被击沉,兵力 A(2)不会造成任何损失,而兵力 B 造成的损失与兵力 A 集中式造成的损失相同。事实证明,这是分散兵力比集中式兵力具有打击优势的一种情况。不过,需要注意的是,这并不是分布式所带来的优势,而是有效的筛选和侦察所带来的优势。分布式兵力的一部分吸引了集中式兵力的注意力和火力,但却能将其火力与分布式兵力中未被发现的部分结合起来。

接下来,如果 B 兵力知道 A 兵力已分散,它已探测到 A(1)兵力,并假定 A(2)兵力就在附近,会发生什么情况?如果 B 兵力保留一半的反舰导弹,以备将来可能与 A(2)兵力交战,那么与 A(1)兵力的交战结果可能如图 6 所示:

图6

当然,未来与 A(2)兵力交战的情况也大致相同,注意 B 兵力没有遭受任何损失。考虑到战斗的不确定性,B 兵力对 A(1)兵力发射所有反舰导弹,很可能摧毁 A(1)兵力的全部兵力,并在其他兵力攻击它之前利用屏蔽逃回港口--这就是科贝特 "被逮捕的进攻 "的典型案例。

"先发制人!"

图 2 说明了在两支集中式兵力交战的基本情况下,首先有效开火的价值。这也适用于集中式兵力和分散式兵力同时交战的情况。下面我们来看看前面讨论过的其他两种情况下 "有效先发 "的价值:

  • 集中式兵力与分布式兵力的一部分交战(图 7)。不言而喻,如果集中式兵力 B 首先有效开火,那么分布式兵力的交战部分就会失去作用。但是,如果分布式兵力的一部分 A(1)首先对集中式兵力 B 进行有效射击,然后 B 对 A(1)发起攻击,会发生什么情况呢?从下面的等式中我们可以看到,B 能够击溃 A(1) 的齐射,由于它没有受损,如果它能够对 A(1) 发起攻击,就会压垮 A(1) 的防御。

图7

  • 集中式兵力只探测到 A 兵力的一个分布部分(图 8)。在这种情况下,兵力 B 首先对兵力 A(1)进行有效射击,兵力 A(1)被打得失去行动能力,兵力 A(2)对兵力 B 发动报复性打击,兵力 A(1)被摧毁,兵力 B 得以击败兵力 A(2)不充分的攻击。

图8

无论兵力分布与否,对胜利--以及生存--至关重要的是 "首先有效开火 "的能力,而首先有效开火是侦察的功能,而不是平台分布或集中式的功能。也就是说,即使分布式兵力首先开火,除非能有效地协调攻击,否则也无法击败甚至破坏集中式兵力。

如果敌人也是分布式兵力怎么办?

如果分布式是个好主意,那么我们就必须期待对方也会采取分布式兵力。可能的交战组合开始迅速升级,这取决于双方如何分配兵力。不过,我们可以看一些更有趣的情况,假设双方平均分配成两个大小相等的三艘战舰编队:

  • 双方兵力能够近乎同时向对方发起协同攻击。结果与图 1 所示相同。双方的分布对任何一方的打击都没有优势。
  • 一支兵力能够攻击另一支兵力的一部分,但另一支兵力的全部却能攻击第一支兵力的两部分。结果与图 5 所示相同。双方都是分布式的,在攻击方面对任何一方都没有优势。

这些动态变化产生了一系列建议,包括

  • 无论兵力如何部署--集中式、分布式或其他方式--都要赢得侦察竞赛,"先有效开火"。
  • 如果兵力分布化,但通信能力无法协调其火力,则必须重新安排兵力态势,以尊重通信的限制。如果不能及时做到这一点,那么最好脱离战场,改日再战。
  • 改进屏蔽。例如,诱饵可以很好地稀释敌人齐射的效果。图 9 显示了 A 兵力中的每艘战舰只需再诱骗一枚导弹的效果:这实际上将 A 兵力可能受到的伤害减半。

图9

结论

齐射方程式是分析工具,而不是预测工具。它们并不能得出任何一次交战结果的确切 "答案"。战斗的熵和不稳定性在《与舰队作战》一书中有详细论述,是一个值得重视的因素,例如,在中途岛,6 枚炸弹击沉了 4 艘航母,但在冲绳,5 枚神风特攻机却没有击沉 1 艘驱逐舰 "拉菲 "号。俗话说,赛跑不一定是最快的,竞赛也不一定是最强的,但这就是赌注。

需要指出的是,分布式兵力的单点故障是协调对另一支兵力实施打击的能力。如果自己的兵力分布更广,这种协调就会变得更加复杂,如果对方兵力也是分布式的,协调就会更加复杂。这可能是由于干扰或其他通信中断造成的,但也可能是由于未能有效协调打击行动造成的,这可能是简单的武器分配不当、训练不足或其他缺陷。

分布式兵力领先于集中式兵力的一种情况是,分布式兵力中只有一部分被敌方发现并吸收了敌方的攻击,但却能在阵亡前与分布式兵力的另一部分联合打击。但这并不是一种 "作战概念",它更像是一种侦察战术,在前几代中,这种战术通过 LAMPS Mk III、"鹰链 "和海军战术数据系统(NTDS)可以更好地实施。

DMO 或许能够 "使对手的目标定位和决策复杂化",需要指出的是,如果敌方也进行了分布,这将适用于己方兵力。但当涉及舰队的打击功能时,分布式兵力最好能有效地集结进攻火力,否则就有可能在细节上被击败,充其量只能在被击毁和受损舰船数量上进行令人失望的交换。

作者:Anthony Cowden

成为VIP会员查看完整内容
103

相关内容

人工智能在军事中可用于多项任务,例如目标识别、大数据处理、作战系统、网络安全、后勤运输、战争医疗、威胁和安全监测以及战斗模拟和训练。
《分布式海战中的人机协同作战》142页报告
专知会员服务
227+阅读 · 2023年9月19日
《在战术层面整合太空战》中文版
专知会员服务
54+阅读 · 2023年9月7日
《分布式海战:决策支持》
专知会员服务
163+阅读 · 2023年8月15日
《电磁频谱战:美国海军陆战队电磁频谱竞争能力评估》
《超视距空战中计算机生成兵力的行为建模》
专知会员服务
110+阅读 · 2023年7月10日
《跨域协同:在制海权争夺战中使用火炮》35页报告
专知会员服务
91+阅读 · 2023年7月10日
《基于风险评估框架进行作战分析》
专知会员服务
63+阅读 · 2023年5月22日
《多域作战环境下的军事决策过程》
专知会员服务
200+阅读 · 2023年4月11日
《多域作战环境下的军事决策过程》
专知
113+阅读 · 2023年4月12日
国家自然科学基金
7+阅读 · 2015年12月31日
国家自然科学基金
2+阅读 · 2015年12月31日
国家自然科学基金
51+阅读 · 2014年12月31日
国家自然科学基金
3+阅读 · 2014年12月31日
国家自然科学基金
13+阅读 · 2014年12月31日
国家自然科学基金
1+阅读 · 2014年12月31日
国家自然科学基金
3+阅读 · 2014年12月31日
国家自然科学基金
17+阅读 · 2013年12月31日
国家自然科学基金
19+阅读 · 2012年12月31日
国家自然科学基金
55+阅读 · 2011年12月31日
Arxiv
176+阅读 · 2023年4月20日
A Survey of Large Language Models
Arxiv
501+阅读 · 2023年3月31日
Arxiv
83+阅读 · 2023年3月26日
Arxiv
182+阅读 · 2023年3月24日
VIP会员
最新内容
乌克兰前线的五项创新
专知会员服务
1+阅读 · 今天6:14
 军事通信系统与设备的技术演进综述
专知会员服务
2+阅读 · 今天5:59
《北约标准:医疗评估手册》174页
专知会员服务
3+阅读 · 今天5:51
《提升生成模型的安全性与保障》博士论文
专知会员服务
2+阅读 · 今天5:47
美国当前高超音速导弹发展概述
专知会员服务
4+阅读 · 4月19日
无人机蜂群建模与仿真方法
专知会员服务
11+阅读 · 4月19日
澳大利亚发布《国防战略(2026年)》
专知会员服务
6+阅读 · 4月19日
全球高超音速武器最新发展趋势
专知会员服务
5+阅读 · 4月19日
相关VIP内容
《分布式海战中的人机协同作战》142页报告
专知会员服务
227+阅读 · 2023年9月19日
《在战术层面整合太空战》中文版
专知会员服务
54+阅读 · 2023年9月7日
《分布式海战:决策支持》
专知会员服务
163+阅读 · 2023年8月15日
《电磁频谱战:美国海军陆战队电磁频谱竞争能力评估》
《超视距空战中计算机生成兵力的行为建模》
专知会员服务
110+阅读 · 2023年7月10日
《跨域协同:在制海权争夺战中使用火炮》35页报告
专知会员服务
91+阅读 · 2023年7月10日
《基于风险评估框架进行作战分析》
专知会员服务
63+阅读 · 2023年5月22日
《多域作战环境下的军事决策过程》
专知会员服务
200+阅读 · 2023年4月11日
相关基金
国家自然科学基金
7+阅读 · 2015年12月31日
国家自然科学基金
2+阅读 · 2015年12月31日
国家自然科学基金
51+阅读 · 2014年12月31日
国家自然科学基金
3+阅读 · 2014年12月31日
国家自然科学基金
13+阅读 · 2014年12月31日
国家自然科学基金
1+阅读 · 2014年12月31日
国家自然科学基金
3+阅读 · 2014年12月31日
国家自然科学基金
17+阅读 · 2013年12月31日
国家自然科学基金
19+阅读 · 2012年12月31日
国家自然科学基金
55+阅读 · 2011年12月31日
微信扫码咨询专知VIP会员